Systems of Linear Equations Row Reduction and Echelon Forms
Systems of Linear Equations
elementary row operations
Using augmented matrix
1.2 ROW REDUCTION AND ECHELON FORMS
Echelon form
Echelon form of matrix
22.91M

Week_1_Linear_Algebra

1. Systems of Linear Equations Row Reduction and Echelon Forms

2.

Astana IT University
Assessment
Period
1st attestation
2nd attestation
Final exam
Total
Linear Algebra
Assignments
Number of points
Total
Homework-1
Homework-2
Mid Term Exam (19 July)
15
15
70
100
Homework-3
Homework-4
End Term Exam (TBA)
15
15
70
100
Written Exam (TBA)
0,3 * 1st Att + 0,3 * 2nd Att + 0,4*Final
100
100
2

3.

Astana IT University
Main Book
The main goal of the book is to
help students master the basic
concepts and skills they will use
later in their careers.
Linear Algebra
3

4.

Astana IT University
Systems of Linear Equations
Linear Algebra
4

5.

Astana IT University
Systems of Linear Equations
The set of all possible solutions is called the solution set of the
linear system. Two linear systems are called equivalent if they
have the same solution set.
Linear Algebra
5

6.

Astana IT University
Systems of Linear Equations
Linear Algebra
6

7.

Astana IT University
Systems of Linear Equations
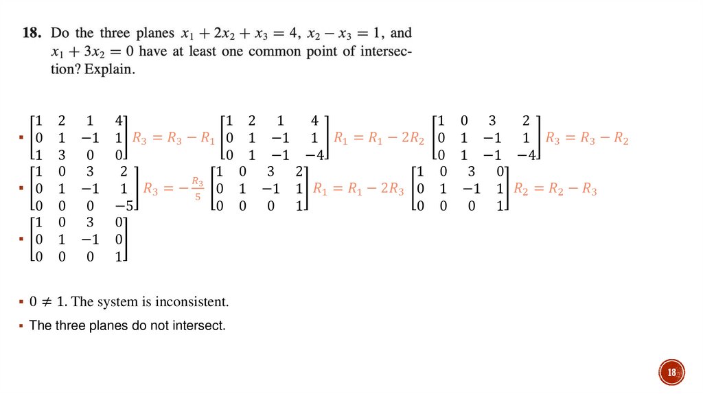
A system of linear equations is said to be consistent if it has
either one solution or infinitely many solutions; a system is
inconsistent if it has no solution.
The essential information of a linear system can be recorded
compactly in a rectangular array called a matrix. Given the
system
Linear Algebra
7

8.

Astana IT University
Systems of Linear Equations
Linear Algebra
8

9. Systems of Linear Equations

9

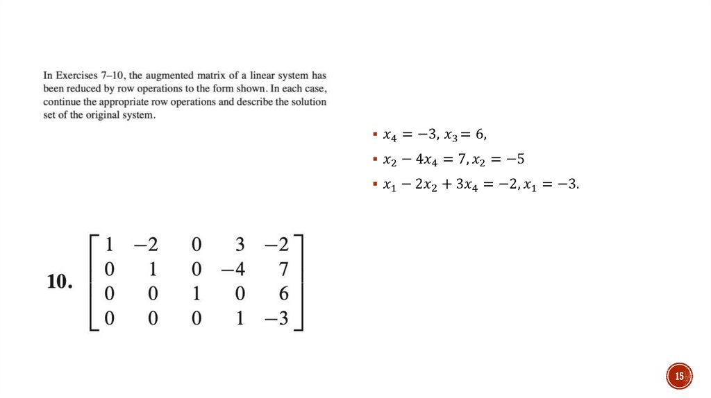
10. elementary row operations

2
English     Русский Rules