965.18K
Category: physicsphysics

Символьчный меÑ‚од расчета

1.

Символический метод
1

2.

2

3.

При токе и напряжении:
i I m sin( t )
u U m sin( t )
3

4.

a Am sin( t )
A m A m e j A m ;
A m комплексная амплитуда
4

5.

A me j( t ) A m cos( t )
jA m sin( t ) - это вращение
A Am / 2 Ae
j
A
А – комплексное действующее значение
или комплексное значение
5

6.

Символический метод
применяется для расчета
линейных
цепей с гармоническими токами
и напряжениями
и основан на изображении
синусоид
комплексными числами
6

7.

Следовательно, синусоидальная
величина может быть
изображена
вращающимся вектором на
комплексной плоскости, причем
этот вектор записывается в
показательной,
тригонометрической
и алгебраической формах
7

8.

Таким образом:
i Im sin( t ) 2 I sin( t )
I Ie
j
I cos jI sin
a jb,
где
j 1
– мнимая единица
8

9.

j 1
b
I
I
t=0
>0
a
1
комплекс действующего
значения тока
9

10.

j
t=0
b
I
0
+1
a
10

11.

j
t=t1
Ie
j t 1
+1
0
11

12.

j
t=t2
Ie
j t 2
+1
0
12

13.

j
t=t3
Ie
j t 3
+1
0
13

14.

j
t=t4
Ie
j t 4
+1
0
14

15.

j
t=t5
Ie
j t 5
+1
0
15

16.

Таким образом любой
синусоидальной величине
(току или напряжению)
соответствует комплекс ее
действующего значения и
наоборот
Например: току
i 2.82 sin( t 30 ), А
соответствует
2.82 j30
I I
e
2
16

17.

При этом, например, комплексу
действующего значения
напряжения
U U 100 e
j45

соответствует синусоидальная
функция времени
u 2 100 Sin ( t 45 ), В
17

18.

Действия
с комплексными
числами
18

19.

Где:
F F e
j
a jb - комплексное
число
F - модуль
- аргумент (фаза)
a - вещественная составляющая
b - мнимая составляющая
19

20.

1. Переход от алгебраической
формы записи
к показательной форме
20

21.

a jb Fe
2
F a b
j
2
b
(180) arctg
a
21

22.

При этом 180 градусов
учитывается при а<0
22

23.

2. Переход от показательной
формы записи
к алгебраической форме
23

24.

Fe
j
a jb
a F cos
b F sin
24

25.

3. Сложение и вычитание
25

26.

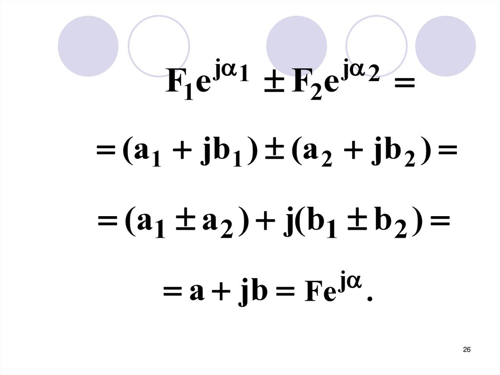
F1e
j 1
F2e
j 2
(a1 jb 1 ) (a 2 jb 2 )
(a1 a 2 ) j(b1 b 2 )
j
a jb Fe .
26

27.

4. Умножение
27

28.

(a1 jb1 )(a 2 jb 2 )
F1e
j 1
F1F2e
j 2
j( 1 2 )
F2e
j
Fe .
28

29.

5. Деление
29

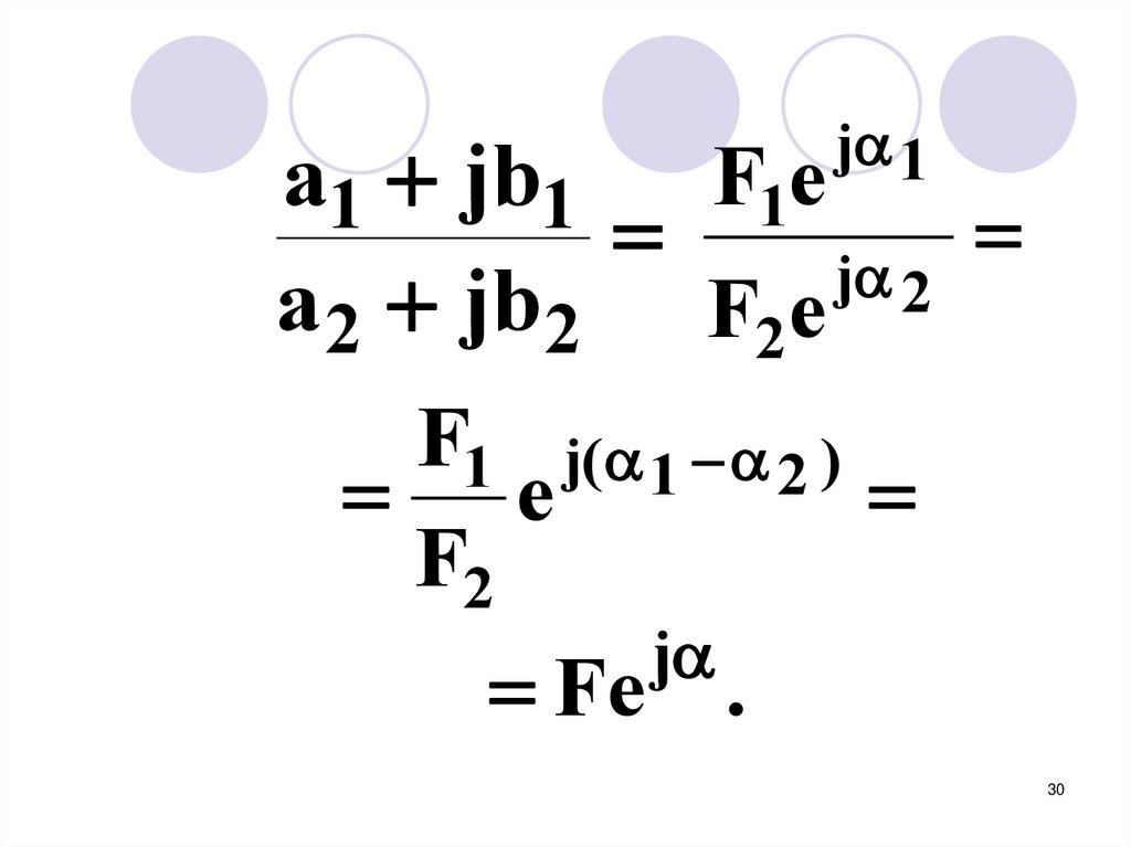
30.

j 1
a1 jb1 F1e
j 2
a 2 jb 2 F2e
F1 j( 1 2 )
e
F2
j
Fe .
30

31.

6. Возведение в степень
31

32.

m
(a1 jb1 )
(F1e
j 1 m
)
m jm 1
F1 e
j
Fe .
32

33.

7. Некоторые соотношения
33

34.

j 1
2
j 1
1 j
j
3
j j
34

35.

j e
j90
1 e
j0
j e
j90
1 e
j180
35

36.

Действия
с синусоидальными
величинами
36

37.

Рассмотрим действия
с синусоидальными
величинами, имеющими
одинаковую угловую
частоту
37

38.

1. Сложение
38

39.

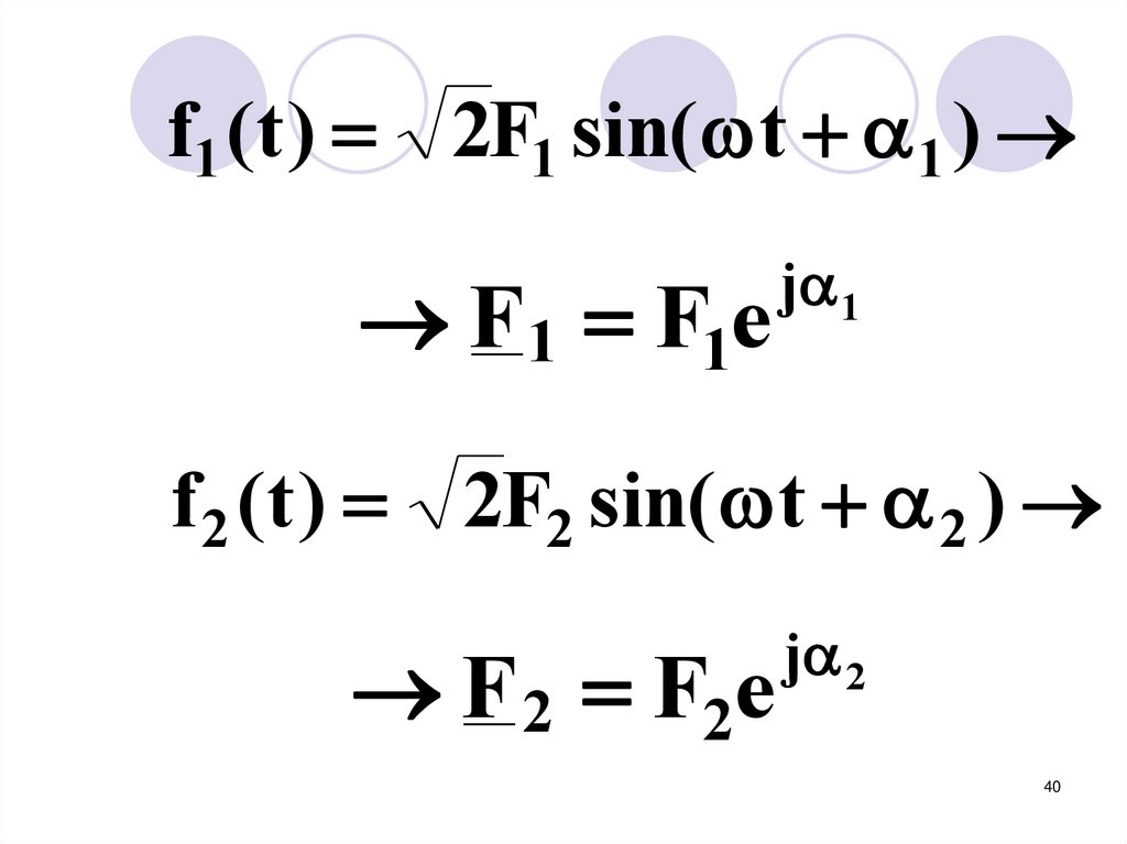
f (t ) 2F sin( t )
f1 ( t ) f 2 ( t )
39

40.

f1 (t ) 2F1 sin( t 1 )
F1 F1e
j 1
f 2 (t ) 2F2 sin( t 2 )
F 2 F2e
j 2
40

41.

Для определения
F и
используются:
41

42.

а) комплексные числа
j 2

определяются
F и
F1е
j 1
F2е
j
42

43.

б) вектора на комплексной
плоскости
j
F1
1 0
0
2 0
F2
F Fe
j
+1
графически
определяем

43

44.

2. Вычитание
44

45.

f (t ) 2F sin( t )
f1 ( t ) f 2 ( t )
45

46.

f1 ( t )
f 2 (t )
F1 F1e
j 1
F 2 F2e
j 2
46

47.

Для определения
F и
используются:
47

48.

а) комплексные числа
j 2

определяются
F и
F1е
j 1
F2е
j
48

49.

б) вектора на комплексной
плоскости
j
F1
F
Fe
0
1
0
2 0
F2
j
+1
графически
определяем

49

50.

3. Дифференцирование
50

51.

f (t ) 2F sin( t )
F Fe
j
df (t )
2 F sin( t 90 )
dt
Fe
j( 90 )
j F
51

52.

В результате при
f (t ) F
имеем
df (t )
j F
dt
52

53.

Таким образом
дифференцированию
синусоидальной функции
соответствует умножение
изображающего ее комплекса
на j
53

54.

4. Интегрирование
54

55.

f (t ) 2F sin( t )
F Fe
j
2F
f (t )dt
sin( t 90 )
F j( 90 ) F
e
j
55

56.

В результате при
f (t ) F
имеем
F
f (t )dt
j
56

57.

Таким образом интегрированию
синусоидальной функции
соответствует деление
изображающего ее комплекса
на j
57

58.

ЗАКОН ОМА
В КОМПЛЕКСНОЙ
ФОРМЕ
58

59.

Закон Ома в комплексной форме
основан на символическом методе
и справедлив для линейных цепей
с гармоническими напряжениями
и токами
Этот закон следует из
физической взаимосвязи
между током и напряжением
отдельных элементов цепи
59

60.

I
R
Резистивный
элемент
UR
Комплекс
напряжения
Вектора
напряжения и
тока
UR R I
+j
I
UR
+1
60

61.

На комплексной плоскости
вектор напряжения
резистивного элемента
совпадает по направлению
с вектором своего тока
61

62.

Индуктивный
элемент
Комплекс
напряжения
U L j LI jX L I
+j
Вектора
напряжения и
тока
UL
I
+1
62

63.

На комплексной плоскости
вектор напряжения
индуктивного элемента
опережает по направлению
вектор своего тока
на 90 градусов
63

64.

Емкостный
I
элемент
Комплекс
напряжения
jXC
UC
j
UC
I jX C I
C
+j
I
Вектора
напряжения и
тока
+1
UC
64

65.

На комплексной плоскости
вектор напряжения
емкостного элемента
отстает по направлению
от вектора своего тока
на 90 градусов
65

66.

Где:
X L L
XC 1
- индуктивное
сопротивление (Ом)
- емкостное
C
сопротивление (Ом)
66

67.

Закон Ома в комплексной форме
для отдельных элементов аналогичен
закону Ома для резистивного элемента
на постоянном токе
Для символического метода
необходимо составить комплексную
схему замещения с комплексными
сопротивлениями и с комплексами
действующих значений токов и
напряжений
67

68.

Например, комплексная схема
замещения цепи:
jX L
E
R
jX C
I
68

69.

R( jX C )
Z jX L
R jX C
E
I
Z
69

70.

Где:
j
Z RЭ jX Э Z e
– эквивалентное комплексное
сопротивление цепи (Ом)
2
2
Z RЭ X Э
- модуль сопротивления (Ом)

arctg

-аргумент (фаза)
сопротивления (Град)
70
English     Русский Rules