729.85K
Category: mathematicsmathematics

Степенная функция

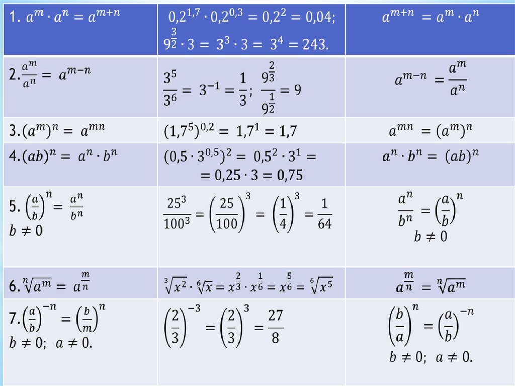
1.

Степенная функция

2.

3.

*

4.

*

5.

* Показатели корней вида n = 2k+1 используют
для обозначения любых корней.
* Показатели корней вида n = 2k используют
для обозначения арифметических корней.
* Показателем корня может быть любое
натуральное число, но показатель корня
n = 1 не рассматривается.

6.

7.

*

8.

*

9.

10.

1. Произведение корней n -ой степени.

11.

2.Частное корней n -ой степени.

12.

3. Степень корня.

13.

4. Корень из корня.

14.

5. Приведение корня к новому показателю.

15.

6. Внесение множителя под корень.

16.

7. Извлечение корня четной степени.

17.

8.Извлечение корня нечетной степени.
English     Русский Rules