9.30M
Category: mathematicsmathematics

Интегральное исчисление функций одной переменной

1.

МАТЕМАТИЧЕСКИЙ АНАЛИЗ
ИНТЕГРАЛЬНОЕ ИСЧИСЛЕНИЕ
Лекция – 2(2)
1

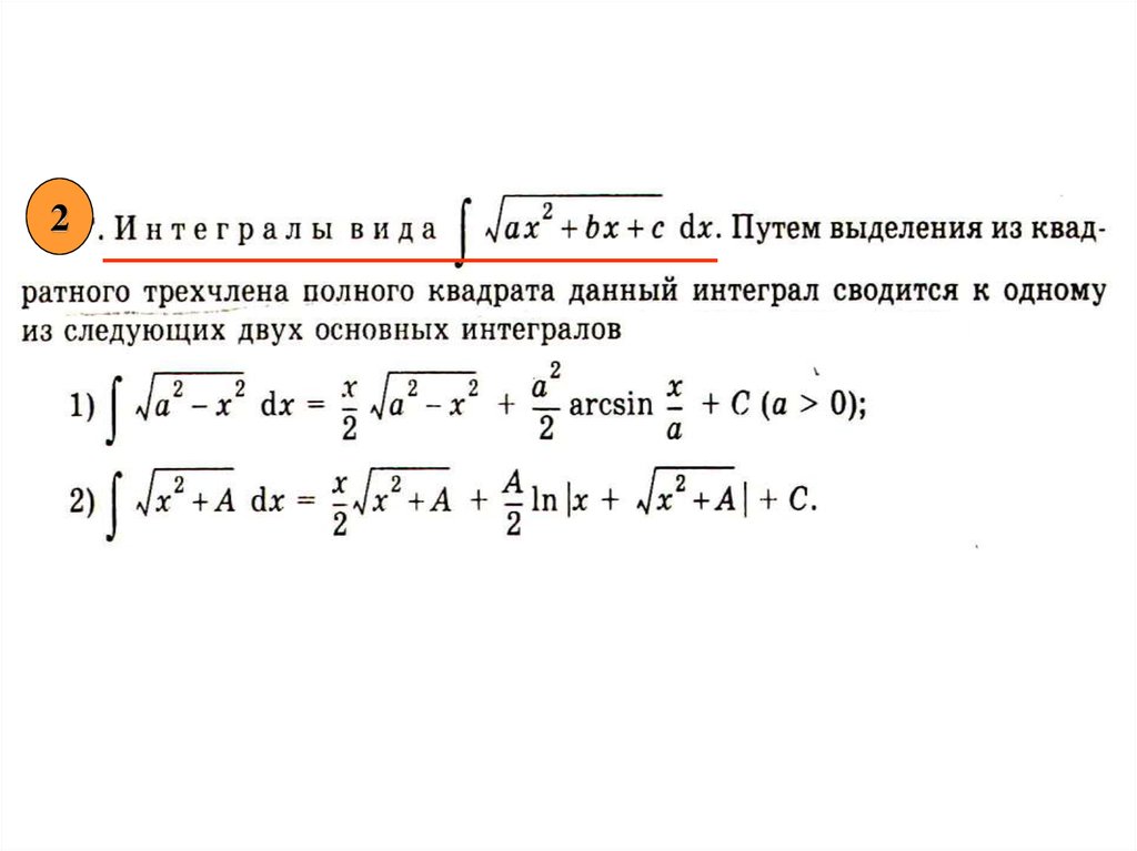
2.

ИНТЕГРАЛЬНОЕ ИСЧИСЛЕНИЕ
функций одной переменной
2

3.

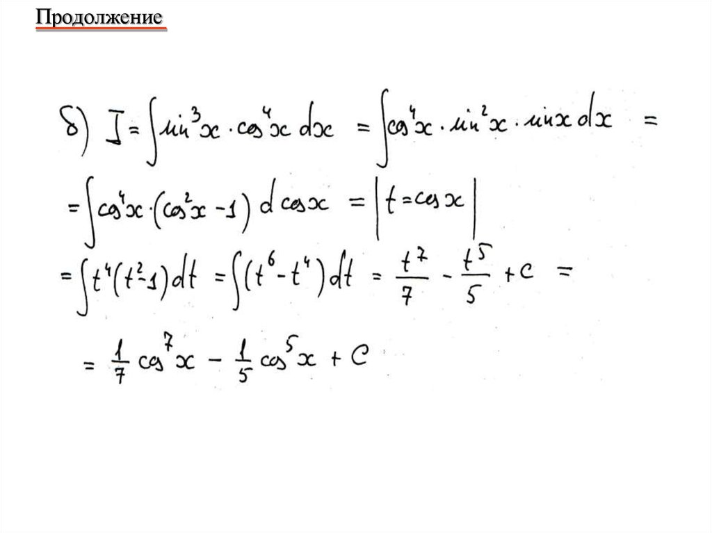
Продолжение
____________
________________________
)
3

4.

_____________________
4

5.

1
2
3
4
5

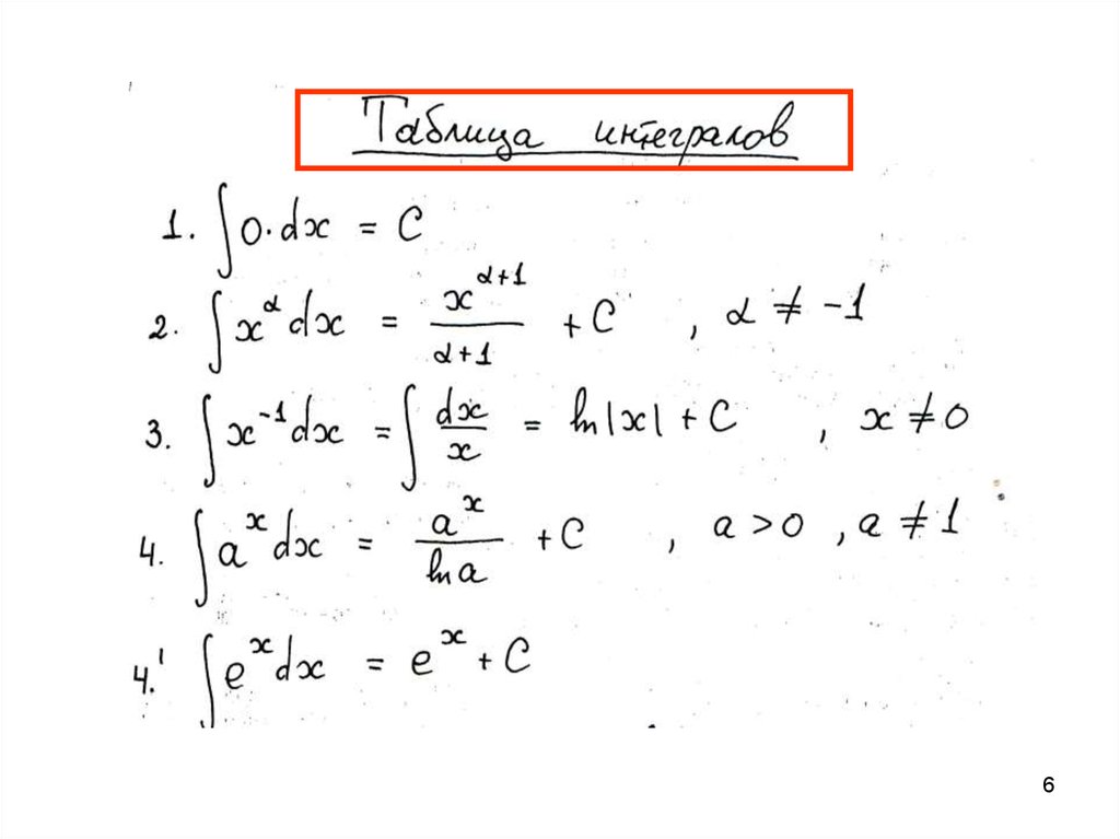
6.

6

7.

Продолжение таблицы
___________________
!
7

8.

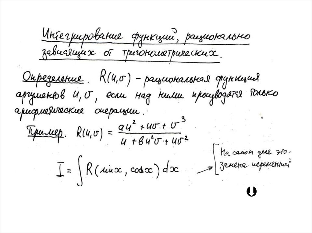
Интегрирование
подстановкой и заменой переменной
________________________________________________
(a, b)
_____________________________
________________
_____________________________
8

9.

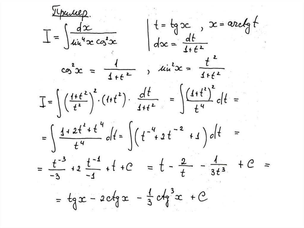
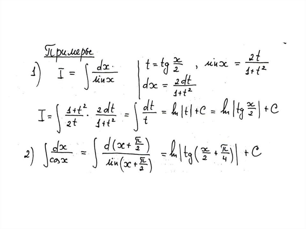
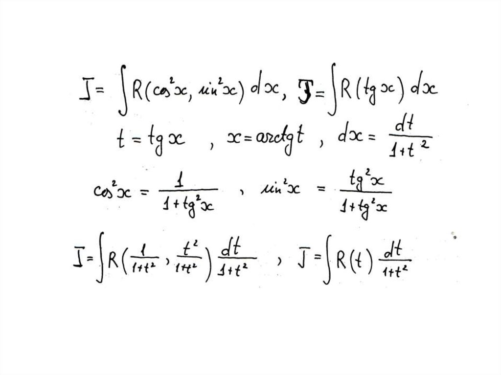
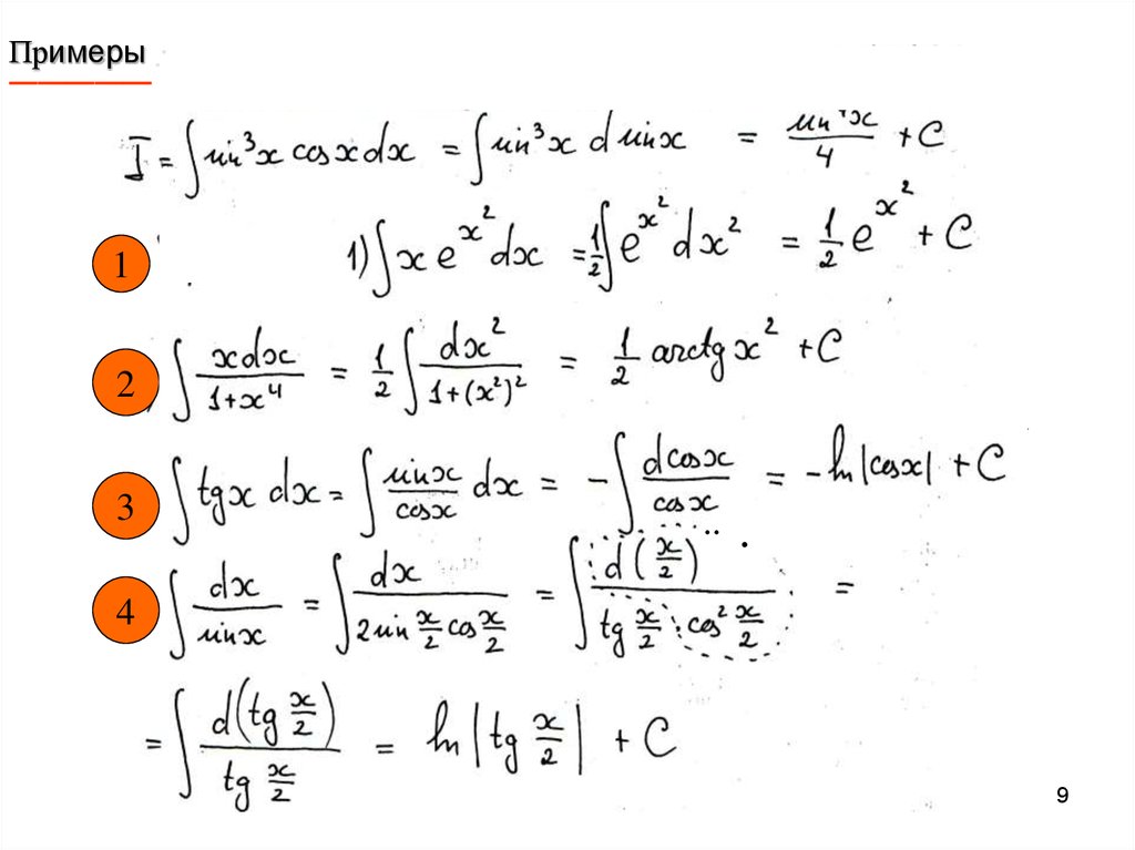
Примеры
_____
1
2
3
.. .
4
9

10.

Продолжение
____________
10

11.

Продолжение
____________
11

12.

12

13.

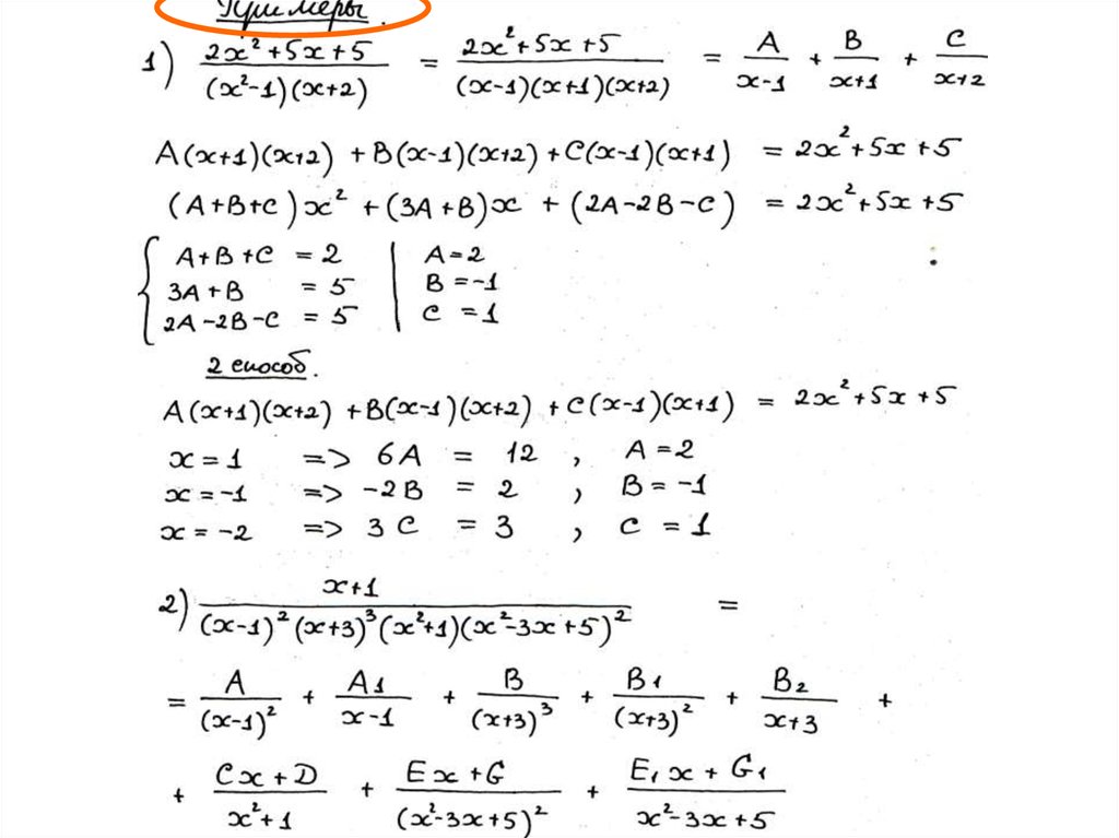
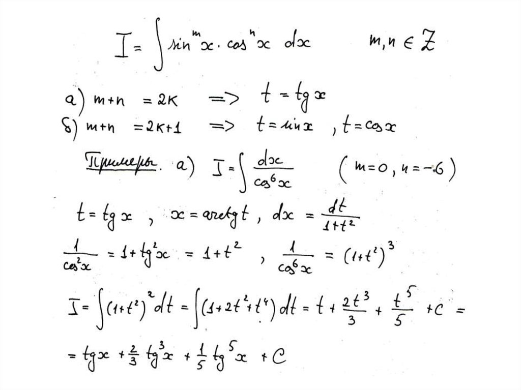
Примеры
_______
Реккурентные
соотношения
___________________
13

14.

14

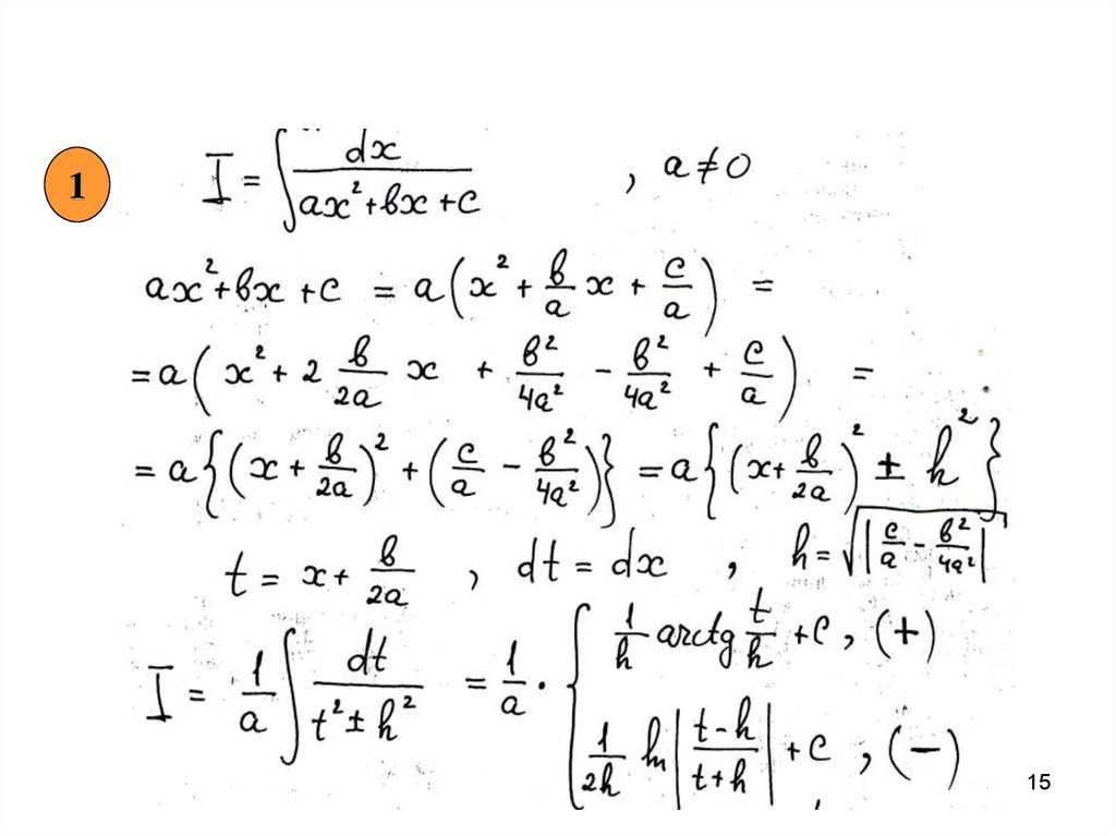
15.

1
15

16.

2
______________________

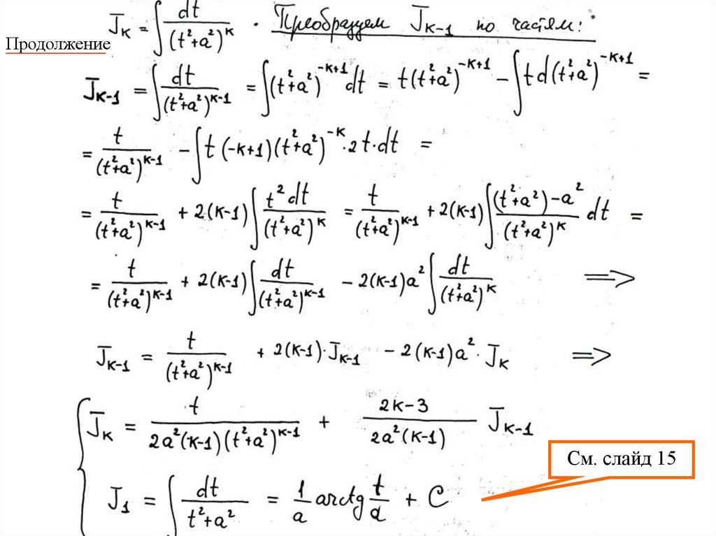
17.

См. слайд 15
3
17

18.

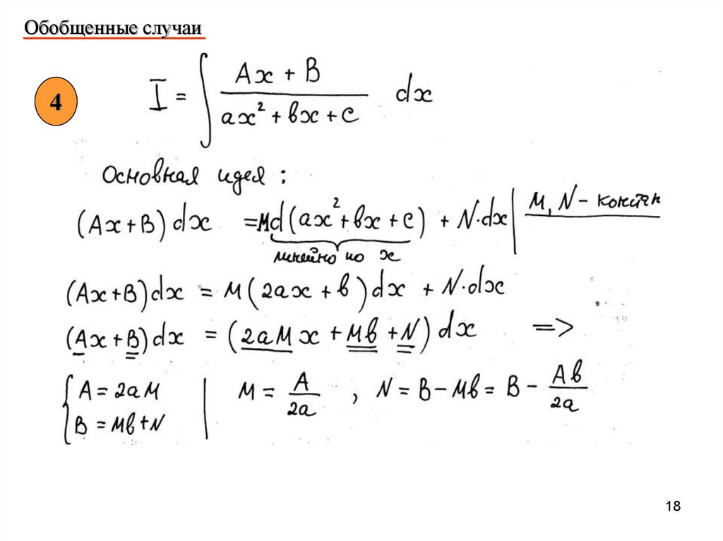
Обобщенные
случаи
_____________
4
18

19.

Продолжение
_________
5
19

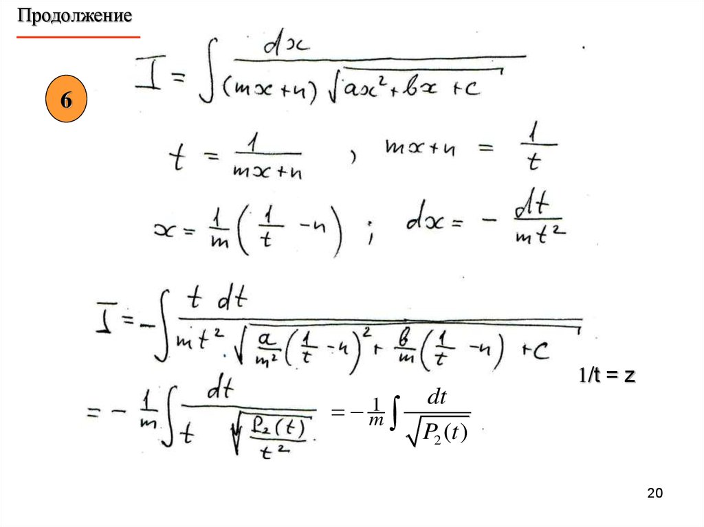
20.

Продолжение
_________
6
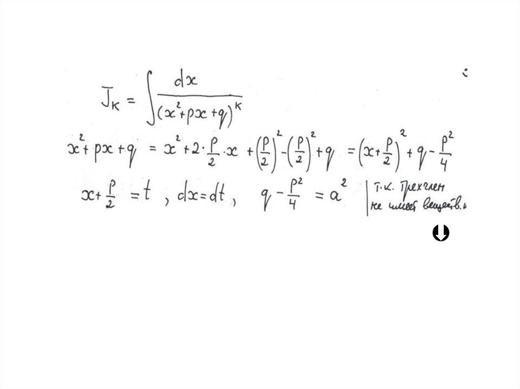
1/t = z
1
m
dt
P2 (t )
20

21.

ЛЕКЦИЯ 2
________
Рациональные дроби.
.
Разложение правильной рациональной дроби
на сумму простейших (бд)
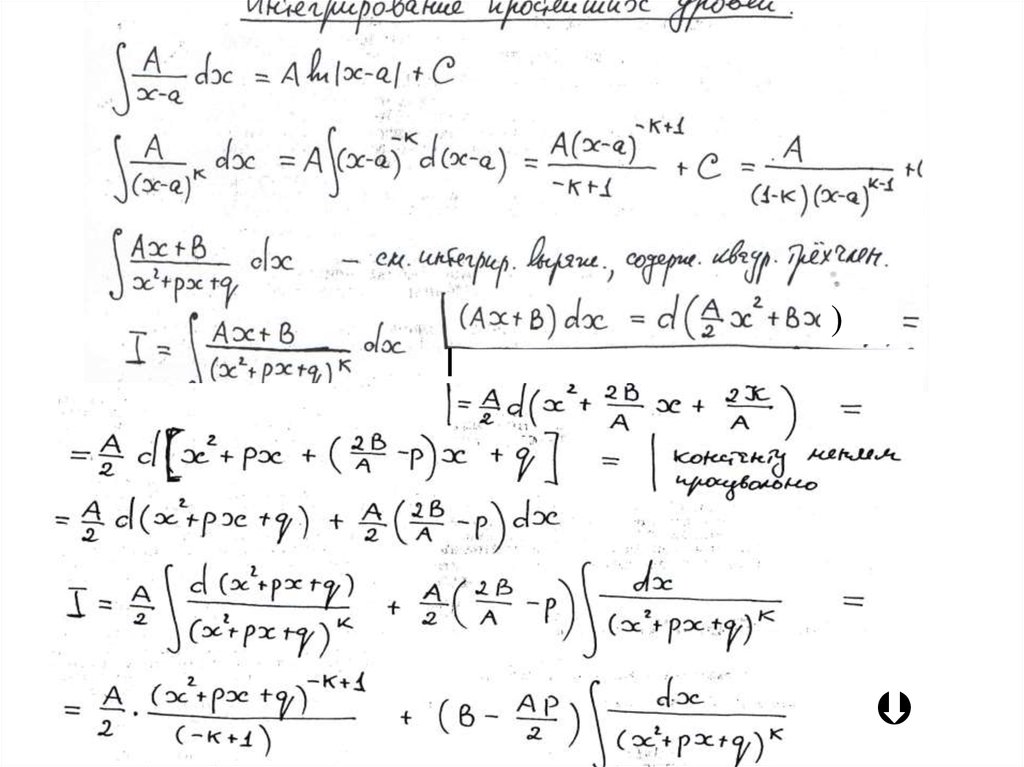
Интегрирование простейших дробей.
.
Интегрирование правильных и неправильных
рациональных дробей.

22.

22

23.

24.

25.

Процедура выделения целой части
_________________________

26.

___________

27.

Продолжение
_________
_______

28.

29.

)
|

30.

31.

Продолжение
__________
См. слайд 15

32.

33.

Продолжение
__________

34.

35.

36.

37.

38.

39.

Продолжение
___________

40.

Спасибо за внимание !
40

41.

Спасибо за внимание !
41
English     Русский Rules