ИДЗ-2 Кинематический анализ плоского механизма
549.40K
Category: physicsphysics

Кинематический анализ плоского механизма

1. ИДЗ-2 Кинематический анализ плоского механизма

2.

Пример
Для заданного положения механизма
аналитическим методом и при помощи плана
скоростей и ускорений найти
скорости и ускорения точек A, B и C, а также
угловую скорость и угловое ускорение шатуна.
Дано:
1
1 1,5с ,
OA=10 см,
1 2с
2
AB =60 см AC=20 см

3.

Аналитический метод
1
O
1
VA
A
30
C
B
0
VA 1OA 15см / с

4.

Аналитический метод
O
1
A
1
VA
30 0
VA
VA
1
2
0,
29
c
PA BA cos300
C
VB
2
B
P

5.

Аналитический метод
O
1
1
VA
A
30
0
VA 1OA 15см / с
C
VB VA VBA
VB
VBA
B
P
VA

6.

Аналитический метод
O
1
A
1
VA
30 0
VA
VA
1
2
0,
29
c
PA BA cos300
C
VBA 2 BA 17,34см / с
VB
VBA
2
B
VA
P
2
VB VBA
VA2 8,7см / с

7.

Аналитический метод
O
1
A
VCA
C
1
2 0, 29c 1
VA
30 0
VC
VA
2
VCA 2CA 5,8см / с
VC VA VCA
2
VC VCA
VA2 2VCAVA cos300 10,4см / с
или
VC 2 PC 10,4см / с
B
P

8.

Метод планов
O
1
1
Масштабный коэффициент длины
A
30
0
мм
l 10
мм
C
Уменьшающие коэффициенты:
1 2 2,5 4 5 10
B
Увеличивающие коэффициенты:
0,1 0,2 0,25 0,4 0,5

9.

План скоростей
Масштаб скоростей
1
1 O
мм / с
V 10
мм
VA
A
30
0
pV a 15 мм ab 17,34 мм
C
b
VBA
VB
VBA
pV
B
VA
VA
a

10.

План скоростей
Масштаб скоростей
1
1 O
мм / с
V 10
мм
VA
A
30
0
pV a 15 мм ab 17,34 мм
C
b
VB
VB
VBA
pV
B
VBA
VA
VA
a
pV b 8,7 мм VB 8,7см / с

11.

План скоростей
O
1
A
1
Масштаб скоростей
мм / с
V 10
мм
VA
30 0
VC
pV a 15 мм ab 17,34 мм
C
b
VBA
VB
2
B
P
pV
VA
a

12.

План скоростей
O
1
A
1
Масштаб скоростей
мм / с
V 10
мм
VA
30 0
VC
pV a 15 мм ab 17,34 мм
C
C
b
VB
2
VBA
c
VC
pV
VA
a
B
P
pV c 10,4 мм VC 10,4см / с

13.

Определение ускорений точек
Аналитический метод
Ускорение точки A:
a 1OA 20см / с
вр
A
2
a OA 22,5см / с
ос
A
аA
2
1
2
а а 30,1см / с
вр 2
A
ос 2
A
2

14.

O а ос
A
а Aвр
A
C
B
30 0

15.

Ускорение точки B:
аB а A а а
вр
ВA
а
ос
BA
ос
ВA
BA 5,05см / с
2
2
(1)
2

16.

x
O
A
а Aвр
а
ос
A
30 0
аB
y
C
ос
аВA
B
вр
аВA

17.

Проецируем уравнение (1) на ось x:
aB cos30 a а cos30 а cos 60
ос
BA
0
ос
A
0
вр
A
0
a а cos30 а cos 60
2
аB
16,7см / с
0
cos30
ос
BA
ос
A
0
вр
A
0

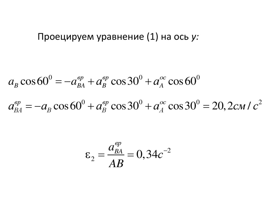
18.

Проецируем уравнение (1) на ось y:
вр
aB cos600 aBA
аBвр cos300 аAос cos600
а
вр
ВA
aB cos60 а cos30 а cos30 20, 2см / с
0
вр
B
0
вр
BA
oc
A
a
2
2
0,34с
AB
0
2

19.

x
O
A
а Aвр
а
30 0
C
вр
аCA
ос
CA
аB
y
а
ос
A
ос
аВA
B
вр
аВA

20.

Ускорение точки C:
аC а A а а
вр
CA
ос
CA
вр
CA
2CA 6,8см / с
ос
CA
CA 1,7см / с
а
а
aCA
2
2
a
a
вр 2
CA
ос 2
CA
2
2
7см / с 2

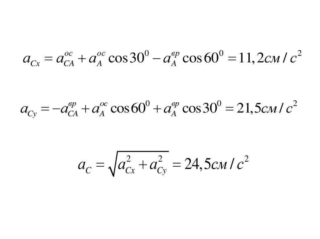
21.

аCx a а cos30 a cos 60 11, 2см / с
ос
CA
ос
A
вр
A
0
0
аCy a а cos60 a cos30 21,5см / с
вр
CA
ос
A
вр
A
0
0
аC а а 24,5см / с
2
Cx
2
Cy
2
2
2

22.

План ускорений
x
O
A
а Aвр
y
а Aвр
a
а
30 0
C
вр
CA
ос
CA
аB
а Aос
мм / с 2
Масштаб a 10
мм
а
ос
аВA
B
вр
аВA
n1
а Aос
pa

23.

План ускорений
x
O
A
а Aвр
y
а Aвр
a
а
30 0
C
вр
CA
ос
CA
аB
а Aос
мм / с 2
Масштаб a 10
мм
а
ос
аВA
B
вр
аВA
аA
n1
а Aос
pa

24.

План ускорений
x
O
а
A
вр
A
а
30 0
C
вр
CA
ос
CA
аB
y
а Aос
а
ос
аВA
B
вр
аВA
мм / с 2
Масштаб a 10
мм
а
ос
ВA
n2 а вр
ВA
a
аA
pa

25.

План ускорений
x
O
а
A
вр
A
а
30 0
C
вр
CA
ос
CA
аB
y
а Aос
а
ос
аВA
B
вр
аВA
мм / с 2
Масштаб a 10
мм
а
ос
ВA
n2 а вр
ВA
a
b
аA
аB
pa

26.

План ускорений
x
O
а
A
вр
A
а
30 0
C
вр
CA
ос
CA
аB
а Aос
а
мм / с 2
Масштаб a 10
мм
а
ос
ВA
n2 а вр
ВA
a
b
аA
аB
pa
вр
аВA
n2b a 20, 2см / с 2
y
вр
ВA
ос
аВA
B
вр
аВA
a
2
0,34с 2
ВA
аB pab a 16,7см / с 2

27.

План ускорений
x
O
а
A
вр
A
а
30 0
C
вр
CA
ос
CA
аB
y
а Aос
а
ос
аВA
B
вр
аВA
мм / с 2
Масштаб a 10
мм
ос
вр
аCA
n3 аCA
c
a
аA
pa

28.

x
O
а
A
вр
A
а
30 0
C
вр
CA
ос
CA
аB
y
а Aос
а
мм / с 2
Масштаб a 10
мм
ос
вр
аCA
n3 аCA
c
a
аA
аC
pa
аC pa c a 7см / с
ос
аВA
B
вр
аВA
2
English     Русский Rules