Вынужденные колебания
Вредное влияние резонанса
Вынужденные колебания в колебательном контуре
546.50K
Category: physicsphysics

Вынужденные колебания

1. Вынужденные колебания

2.

• Чтобы получить незатухающие
колебания в реальной системе
необходимо компенсировать потери
энергии
• Это можно осуществить с помощью
внешнего периодически меняющегося
фактора, изменяющегося по
гармоническому закону
X (t ) X 0 cos t

3.

Дифференциальное уравнение
вынужденных колебаний
2
d s
ds
2
2
s
X
cos
t
0
0
2
dt
dt
Частота вынуждающего фактора ( силы или э.д.с)
X0
Амплитуда вынуждающего фактора

4.

Решение уравнения
s A cos( t )

5.

2
arctg 2
2
0
Фаза колебаний ( колебания в системе
не совпадают по фазе с колебаниями
вынуждающего фактора)

6.

A
X0
4
2
0
2 2
2
-Амплитуда колебаний зависит
от частоты вынуждающей силы
2

7.

• Явление резкого возрастания
амплитуды при приближении частоты
вынуждающей силы к резонансной
частоте называется резонансом

8.

d 2
2 2
2 2
4
0
d
2 2 8 0
Точка
перегиба
0
2
0
2
2 0
2
0
2
2
• Экстремум
2

9.

рез
2
2
0
2
• Резонансная частота зависит от
собственной частоты (конфигурация
системы) и коэффициента затухания
( потери энергии)
• С увеличением потерь энергии
(коэффициента затухания) резонансная
частота уменьшается
• При малом затухании резонансная
частота близка к собственной

10.

• Нарисуем график зависимости
амплитуды колебаний от частоты
вынуждающей силы
Амплитудно -частотная
характеристика

11.

1
2
Статическое
отклонение
1 2 3
3
Все кривые
в одной точке
рез1
Резонансная частота

12.

Амплитуда в резонансе
X0
Арез
2 4 2
2
0
2 2
2
0
2
X0
4 8 4
4
4
2
X0
2
2
0
2
2
0
2
0
2

13.

2
2
0
0
Aрез
X0
2 0
A 0
Aрез
А( 0)
0
2
X0
X0
0
2 0
2
X0
0
2
Добротность при
малом затухании

14.

• Добротность показывает свойства
системы при резонансе
• Чем больше добротность , тем выше
амплитуда при резонансе

15. Вредное влияние резонанса

• Солдаты
• Поезд через мост сбрасывает скорость
• Корабль меняет курс
Полезное применение
резонанса
• Муз инструменты
• Радиоприемники

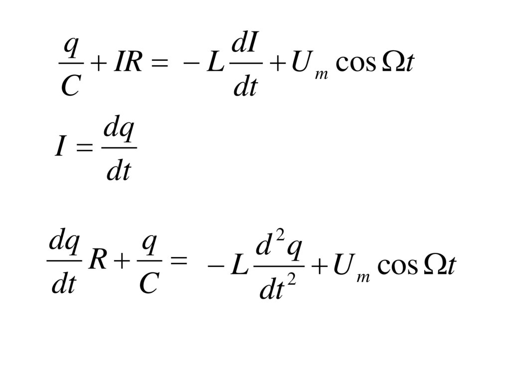
16. Вынужденные колебания в колебательном контуре

17.

С
R
L
~
U m cos t
U C U R S U m cos t
q
U R IR
UC
C
dI
dI
UL L
S L
dt
dt

18.

q
dI
IR L U m cos t
C
dt
dq
I
dt
2
dq
q
d
q
R L
U
cos
t
m
2
dt
C
dt

19.

2
d q
dq q
L 2 R
U m cos t
dt
dt C
2
d q
Um
R dq 1
q
cos t
2
dt
L dt LC
L
U
q 2 q 0 q m cos t
L
2
1
0
LC
2
R
2L

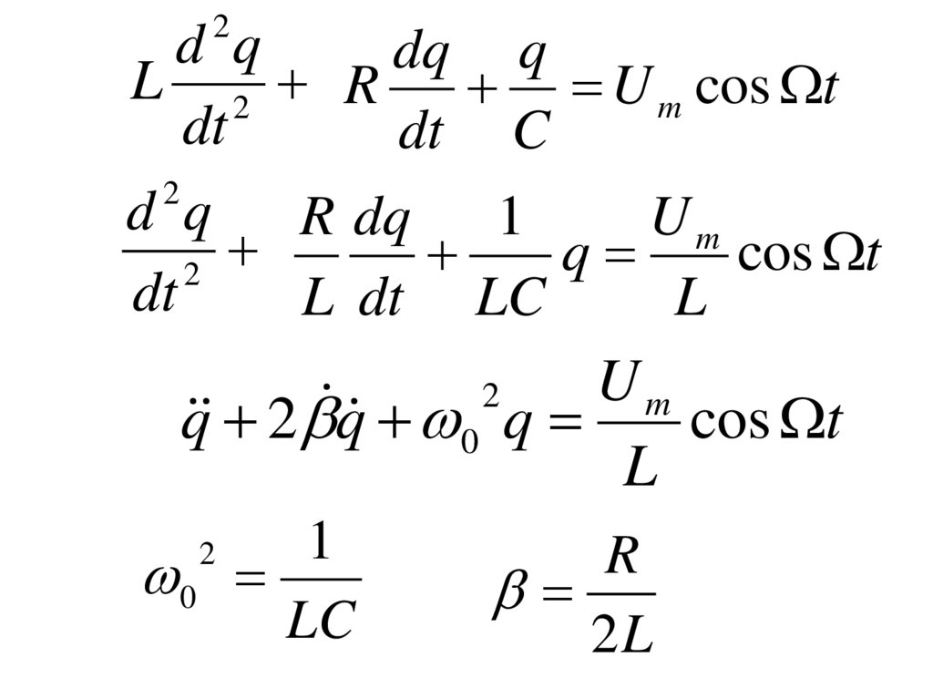
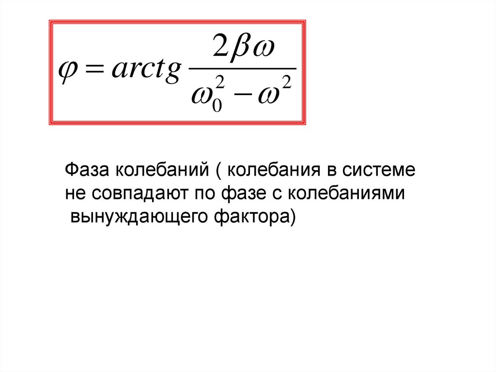
20.

q qm cos( t )
φ- разность фаз между колебаниям заряда
и внешней э.д.с.
Um
qm
L
4
2 2
2
2
2
0
Um
2
L
2
1 2 4 R 2
2
4L
LC
Um
2
1
2
L R
C

21.

dq
qm sin t
I
dt
qm cos t
2
2
Ψ- разность фаз между колебаниями тока
и внешней э.д.с.
I I m cos t
I m qm

22.

U R IR I m R cos t
Напряжение на сопротивлении совпадает по фазе с током
U Rm I m R
Амплитудное значение напряжения
на сопротивлении
U R U Rm cos t
I I m cos t

23.

Напряжение на конденсаторе
q
UC
C
qm cos t
C
I m cos t
I m cos t
2
C
C
Im
U Cm
C
U C U Cm cos t
2
Напряжение на конденсаторе отстает по фазе от тока на
π/2

24.

Напряжение на индуктивности
dI
UL L
dt
d
L I m cos t
dt
LI m sin t
LI m cos t
2

25.

U Lm L I m
U L U Lm cos t
2
Напряжение на индуктивности опережает по фазе от ток
на π/2

26.

L I m
Um
2
2
1
2 2
I m L I m R
C
2
Um
Ψ
Im
C
ImR
1
I m L
C
Ось тока

27.

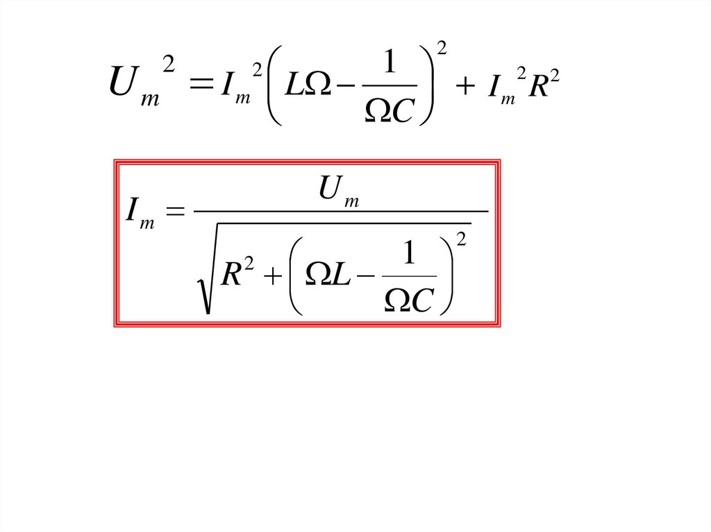
Um
2
2
1
2 2
I m L I m R
C
2
Um
Im
1
R L
C
2
2

28.

1
I m L
C
tg
ImR
1
L
C
tg
R
English     Русский Rules