Лекция № 3
Момент силы
Замечания
Момент импульса
Момент инерции тела относительно оси
Моменты инерции некоторых однородных твердых тел массы m относительно оси c, проходящей через ЦМ тела:
Основное уравнение динамики вращательного движения
Закон сохранения момента импульса (ЗСМИ) и изменения момента импульса МС
0.97M
Category: physicsphysics

Закон сохранения момента импульса

1. Лекция № 3

ЗАКОН СОХРАНЕНИЯ
МОМЕНТА ИМПУЛЬСА
Лекции Веретимус Н.К. и Веретимус Д.К.

2. Момент силы

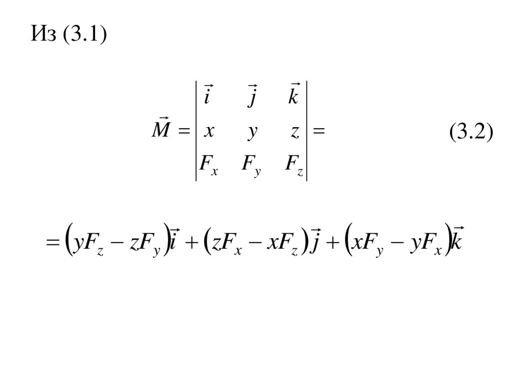
Если на частицу A действует сила F ,
то момент силы относительно точки O
M r , F , M rF sin Fl (3.1)
M
F
O
l
r
A
Ед. измерения
в СИ:
M Н м

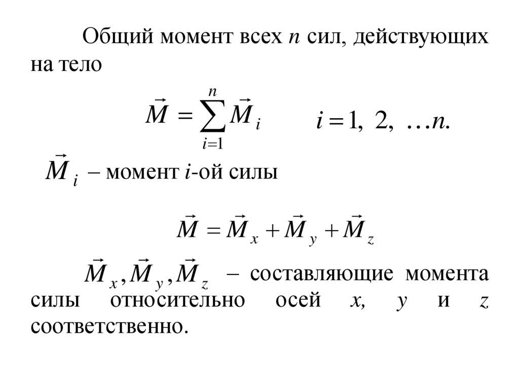
3.

Общий момент всех n сил, действующих
на тело
n
M Mi
i 1
M i – момент i-ой силы
i 1, 2, n.
M Mx My Mz
M x , M y , M z – составляющие момента
силы относительно
соответственно.
осей
x,
y
и
z

4.

Из (3.1)
i
M x
Fx
j
y
Fy
k
z
Fz
(3.2)
yFz zFy i zFx xFz j xFy yFx k

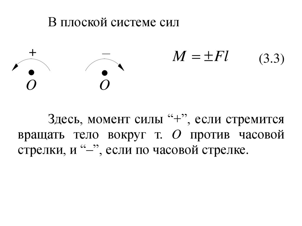
5.

В плоской системе сил
+

O
O
M Fl
(3.3)
Здесь, момент силы “+”, если стремится
вращать тело вокруг т. O против часовой
стрелки, и “–”, если по часовой стрелке.

6.

Момент силы относительно
оси z Mz
– проекция на эту ось M , определенного
относительно произвольной т. O оси z.
M
z
F
Mz
O
r
A

7. Замечания

1. Если сила || оси, то она не имеет момента
относительно этой оси M z 0 .
2. Момент суммы сил (равнодействующей)
равен сумме моментов составляющих сил
M F M F1 M F2 M Fn
3. Суммарный момент внутренних сил равен
нулю.
F12
M F12 M F21 0
r
O
F21

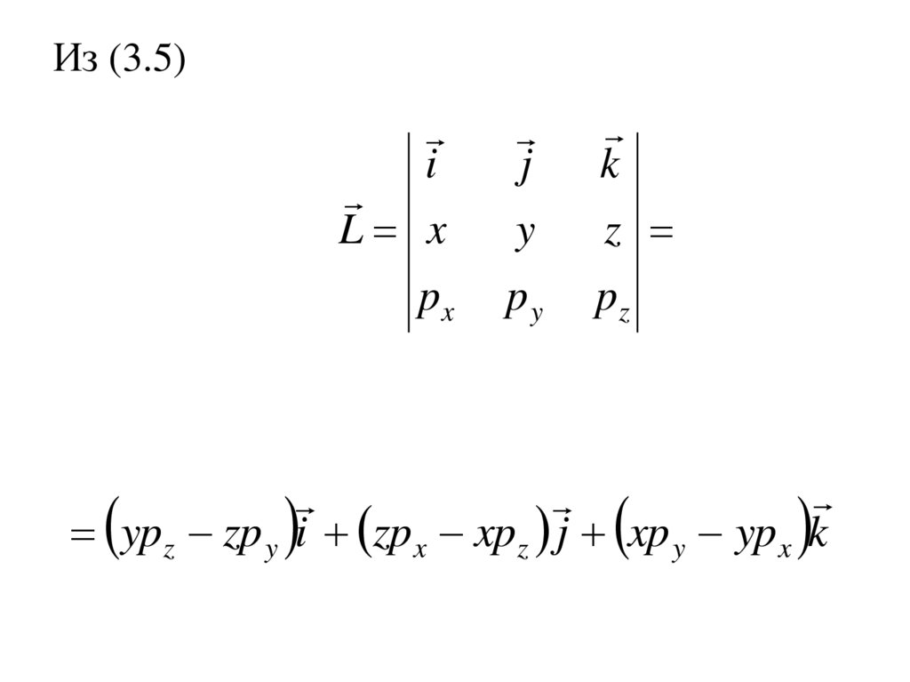
8. Момент импульса

Момент
импульса
относительно т. O:
L r , p ,
L
частицы
L rp sin pl
A
(3.5)
Здесь p m – импульс частицы в
O
p
l
r
A
выбранной СО.
В СИ:
L кг м 2 c Н м c Дж c

9.

Момент импульса МС, состоящей из n
частиц, каждая из которых обладает своим Li
n
L Li
i 1, 2, n,
i 1
L Lx L y Lz
Lx , L y , Lz
– составляющие момента
импульса относительно осей x, y и z
соответственно.

10.

Из (3.5)
i
L x
px
j
y
py
k
z
pz
ypz zp y i zp x xpz j xp y ypx k

11.

Момент импульса Lz относительно оси
z – проекция на эту ось L, определенного
относительно произвольной т. O оси z.
L
z
p
Lz
O
r
A

12. Момент инерции тела относительно оси

– скалярная величина
n
J z mi ri ,
z
2
(3.6)
i 1
ri
Δ mi
m
где Δmi – масса i-ой
частицы твердого тела; ri
– её расстояние от оси z. В
СИ:
2
J z кг м

13. Моменты инерции некоторых однородных твердых тел массы m относительно оси c, проходящей через ЦМ тела:

Твердое
тело
Тонкий стержень длины l
Сплошной
цилиндр
радиуса R
Рисунок
Расположение оси c
Jc
с
стержню
ml2/12
с
Тонкий диск
радиуса R
Шар
радиуса R
с
c
Совпадает с осью
mR2/2
цилиндра
Совпадает с
mR2/4
диаметром диска
Проходит через центр 2mR2/5
шара

14.

Теорема Штейнера.
J z J c ma
2
(3.7)
z
z
c
с
С
m
a
Центр
масс

15. Основное уравнение динамики вращательного движения

d L d d p d r
,
p
M
r , p r ,
r
,
F
d
t
d
t
dt dt
Т.к.
dr
dt
p, то
d r
,
p
0
d t
!Векторное произведение неперестановочно!

16.

Основное
уравнение
динамики
вращательного движения. Производная
по
времени от момента импульса L частицы
относительно некоторой
т. O выбранной
СО равна
моменту M равнодействующей
силы F относительно той же т. O.
dL
M
dt
Относительно оси z
d Lz
Mz
dt
(3.8)
(3.9)

17.

Для твердого тела момент импульса
относительно оси
Lz J z
(3.10)
При Jz =const из (3.9) и (3.10)
d
Jz
J z z M z
dt
(3.11)

18. Закон сохранения момента импульса (ЗСМИ) и изменения момента импульса МС

z
ri
x
Рассмотрим
МС,
состоящую из движущихся
pi и
взаимодействующих
частиц. Движение частиц
МС
рассматриваем
y относительно т. O.
Тогда каждая i-ая частица будет обладать
моментом импульса
Li относительно
т. O.

19.

Внутренние
и
внешние
силы,
действующие на частицы МС, создают
относительно
и внешние
i т. O внутренние
моменты M ij и M i e соответственно.
i e
d L1 i i
M12 M13 ... M1n M1
dt
i e
d L 2 i i
M 21 M 23 ... M 2n M 2
dt
.............................................
i i
i
e
d Ln
M n1 M n 2 ... M n n 1 M n
dt

20.

i
i
M ij M ji
Уравнение
системы:
n
d n
e
Li M i ,
d t i 1
i 1
моментов
механической
n
d Lc
e
Mi
dt
i 1
(3.12)

21.

Здесь Lс Li
i
– суммарный
импульса МС,
момент
e
M i – суммарный момент внешних
i
сил, действующих на МС.
e
M i 0,
В замкнутой МС
в квазизамкнутой МС
d Lc
0
dt
выполняется ЗСМИ:
e
M i 0,
n
i 1
Lc const (3.13)

22.

ЗСМИ механической системы: момент
импульса замкнутой системы частиц остается
постоянным, т.е. не меняется со временем,
причем это справедливо для момента
импульса, взятого относительно любой точки
ИСО.
ЗСМИ может
выполняться и в
незамкнутой МС. Lc const
• если МС замкнута (квазизамкнута);
• если внешние силы || оси вращения;
• если силы проходят через ось вращения.
English     Русский Rules