787.04K
Category:
mathematics
Similar presentations:
Интерполирование функций
Интерполирование и экстраполирование функции
Интерполирование с кратными узлами
Численные методы интерполирования
Интерполирование и экстраполирование функции
Кольцо. Кольцо полиномов
Интерполирование и численное дифференцирование функций
Кодирование с помощью порождающего полинома
Построение горизонталей интерполированием «на глаз»
Интерполирование и экстраполирование функций. Тема 4
Интерполирование полиномами Ньютона
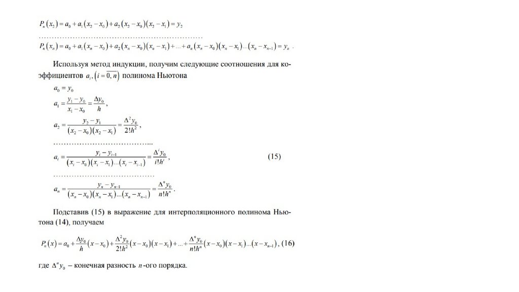
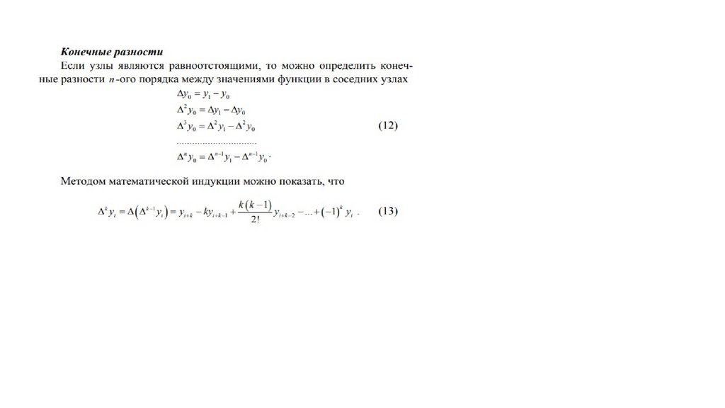
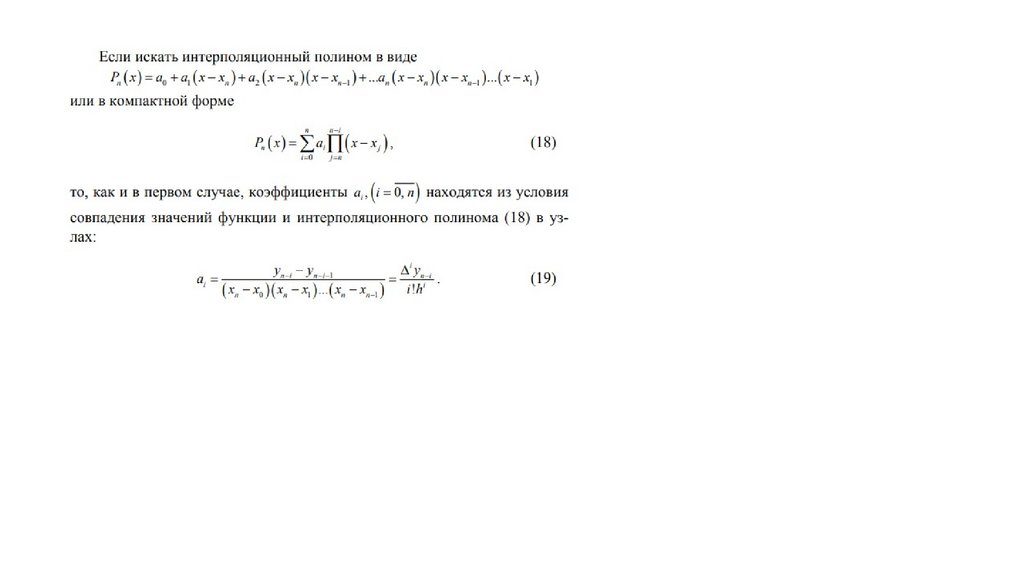
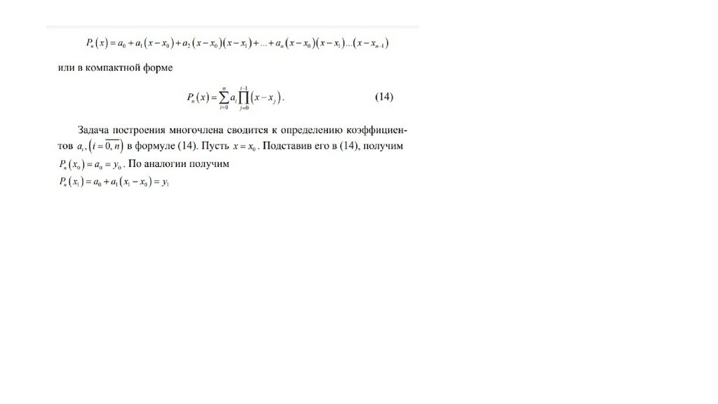
1.
Интерполирование
полиномами Ньютона
2.
3.
4.
5.
6.
7.
8.
Контрольная работа
English
Русский
Rules