1.07M
Category:
mathematics
Similar presentations:
Обратная матрица. Вычисление обратной матрицы
Обратная матрица
Обратная матрица
Определители матриц. Обратная матрица, ранг матрицы
Обратная матрица. Лекция 3
Обратные матрицы
Обратная матрица. (Тема 7)
Обратная матрица, обращение матрицы
Обратная матрица
Определители матриц. Обратная матрица ранг матрицы
Обратная матрица
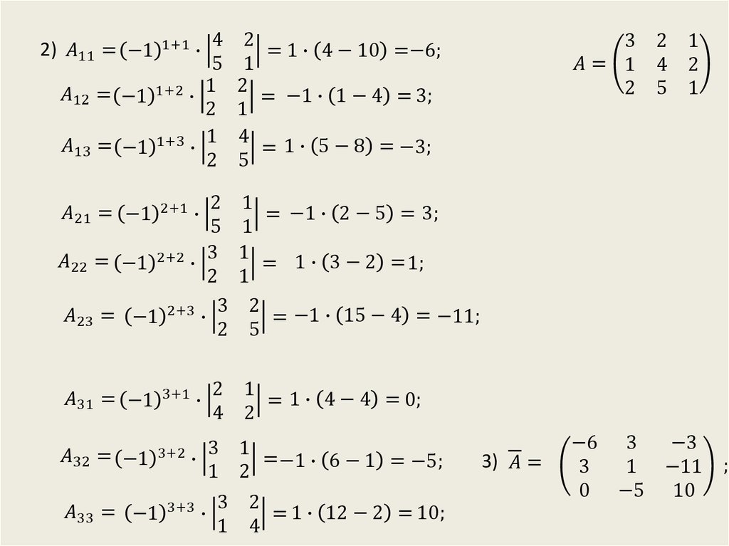
1.
Обратная матрица.
Лекция №3
ОБРАТНАЯ МАТРИЦА.
2.
Летучка (ПИШЕМ ТОЛЬКО ОТВЕТЫ НА ВОПРОСЫ!)
Минор
English
Русский
Rules