611.23K
Category: chemistrychemistry

Углеводы. Классификация, cтроение

1.

Сx(H2O)y

2.

КЛАССИФИКАЦИЯ, CТРОЕНИЕ
C4
тетрозы
C5
пентозы
C6
гексозы
C7
гептозы

3.

Открытые формы
КЕТОЗЫ
АЛЬДОЗЫ
ФГ: -ОН
O
C
H
СТЕРЕОХИМИЯ
Число стереоизомеров = 2n
-ОН
C O
D-ряд
L-ряд

4.

СТЕРЕОХИМИЯ:
ПРИМЕР- тетрозы
22 = 4
D-РЯД
2 + 2
D-
(диастереомеры)
D-глицериновый альдегид
L-

5.

L-РЯД
L-эритроза
(энантиомеры)
L-глицериновый альдегид

6.

пентозы
23 = 8

7.

гексозы
D-ряд:
24 = 16
8 ДИАСТЕРЕОМЕРОВ
2
4

8.

ИЗОМЕРЫ ГЛЮКОЗЫ
2
кетоза
ЭНАНТИОМЕРЫ

9.

10.

1
1
ПОЛУАЦЕТАЛЬ
5 атомов в цикле –
ФУРАНОЗНЫЕ ФОРМЫ

11.

ПРИМЕР - РИБОЗА
поворот
*
АНОМЕРЫ
*

12.

6 атомов в цикле –
ПИРАНОЗНЫЕ ФОРМЫ

13.

Пример - ГЛЮКОЗА
АНОМЕРЫ

14.

АНОМЕРЫ УСТОЙЧИВЫ В ТВЕРДОМ ВИДЕ. В РАСТВОРАХ – ВЗАИМОПРЕВРАЩЕНИЕ
КОЛЬЧАТО-ЦЕПНАЯ ТАУТОМЕРИЯ

15.

МУТАРОТАЦИЯ
24 часа

16.

ФРУКТОЗА
РИБОЗА:
в твердом виде – ПИРАНОЗЫ
в ди- и полисахаридах (рибоза – в РНК) – ФУРАНОЗЫ
в растворах - СМЕСИ
САМОСТОЯТЕЛЬНО:
НАПИСАТЬ для D-ФРУКТОЗЫ и D- РИБОЗЫ
ВСЕ ЦИКЛИЧЕСКИЕ ФОРМЫ

17.

ПРОСТРАНСТВЕННОЕ СТРОЕНИЕ ГЛЮКОЗЫ
C H2O H
O H
O O H
O H
O H
- D-глюкопираноза
Конформация «КРЕСЛО»
ВСЕ СВЯЗИ ЭКВАТОРИАЛЬНЫЕ
(а)

18.

РЕАКЦИИ ЦИКЛИЧЕСКИХ ФОРМ
ГЛИКОЗИДЫ
C H2O H
O H
H
O
H
2
CH3OHC
C
H
O
H
2
O
C
H
3
O
O
O
H
O
H
+
O O H
H
H+ O
O H
O
H
O
C
H
3
O
H
O
H
O H
C H 2 O H
O H
O
ГЛИКОЗИДЫ (СМЕСЬ АНОМЕРОВ)
+
O H
O H
ПЛОСКИЙ КАРБКАТИОН

19.

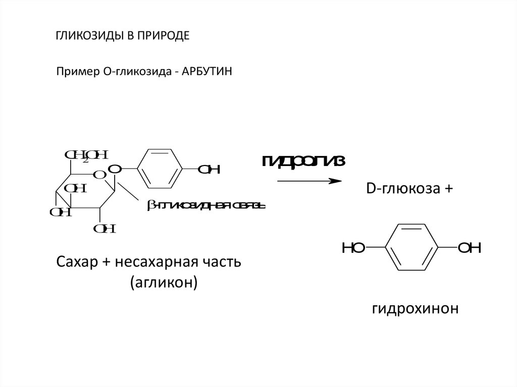
ГЛИКОЗИДЫ В ПРИРОДЕ
Пример О-гликозида - АРБУТИН
CH2OH
OO
OH
гидролиз
OH
-гликозиднаясвязь
OH
D-глюкоза +
OH
Сахар + несахарная часть
(агликон)
HO
OH
гидрохинон

20.

Пример N-гликозидов - нуклеозиды
Пример
аденозин – РИБОФУРАНОЗА+АДЕНИН:
-гликозидная связь

21.

РЕАКЦИИ ПО ОН группам – образование простых и сложных эфиров
Пример - глюкоза
C H 2 O-C H 3
C
H
O
C
H
2
3
5
м
о
л
ь
O
O
C
H
O
C
H
3
3
C
H
I
3
O
C
H
3
O
C
H
3
N
a
O
H
C
H
O
H
2
O
O
H
O
H
O
H
Смесь
аномеров
H 2 O /H +
ча сти чны й
ги д р о л и з
O
H
C
H
O
A
-c
2
(
C
H
C
O
)
O
3
2
O
C
H
C
O
O
H O
A
-c O
3
A
c
O
A
-c
O
A
-c A
c
=
C
H
C
O
3
O
O-C H 3
O-C H 3
O-C H 3
OH

22.

ОКИСЛИТЕЛЬНЫЕ РЕАКЦИИ
[O]=
Ag2O, Br2/H2O,
I2/OH-, Cu(OH)2
[O]
Альдоновые кислоты
(глюконовая)
альдгексоза
-Н2О

23.

OH-
АЛЬДОЗЫ И КЕТОЗЫ –
ВОССТАНАВЛИВАЮЩИЕ
САХАРА
[O]
Глюконовая кислота

24.

HNO3
Разб.
Альдаровые кислоты
(глюкаровая)
[O]
(ферменты)
CHO
(CH2OH)4
COOH
Уроновые кислоты

25.

Пример:
O
H
O
H
H
O
H
H
O
H
O
H
D-глюкуроновая кислота
C
O
O
H
O
O
H O
H
O
H
O
H
C
O
O
H
ROH
COOH
D-Галактуроновая кислота –
НАПИСАТЬ САМОСТОЯТЕЛЬНО
OH
O
OR
OH
OH

26.

ПЕРИОДАТНОЕ ОКИСЛЕНИЕ (виц-диольных фрагментов)
3
3 HCOOH + CH2O

27.

ВОССТАНОВИТЕЛЬНЫЕ РЕАКЦИИ
[H]
Гексит (глюцит, маннит…)
альдогексоза
[H] =
H2/cat, NaBH4

28.

УДЛИНЕНИЕ И УКОРОЧЕНИЕ ЦЕПИ УГЛЕВОДОВ
*
*
+
Смесь диастереомеров
D-глицериновый альдегид
(триоза)
[O]
CO2
+
ТЕТРОЗЫ
гидролиз
+

29.

ДЕЗОКСИСАХАРА
Пример: 2-дезоксирибоза
H O C H
2
O
фукоза 6-дезоксигалактоза
O H
2
O H
6
O
CH3 OH
OH
OH
OH

30.

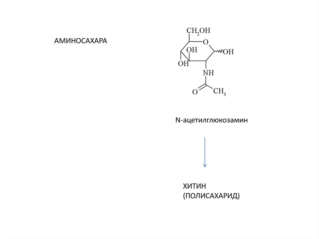
CH2OH
АМИНОСАХАРА
OH
O
OH
OH
NH
O
CH3
N-ацетилглюкозамин
ХИТИН
(ПОЛИСАХАРИД)

31.

ДИСАХАРИДЫ
ПРИМЕР ВОССТАНАВЛИВАЮЩЕГО ДИСАХАРИДА
Мальтоза (солодовый сахар):
-гл
и
ко
зи
д
н
а
ясв
я
зь
C
H
O
H
2
C
H
O
H
2
O
O
O
H
O
H
O
H
O
O
H
O
H
C
H2O
H
C
H2O
H
O
O
O
H
O
H
O
H
O
H
O
H
O
H
HO
O
H
O
H
Возможна открытая форма способен окисляться (ВОССТАНАВЛИВАЮЩИЙ)

32.

ПРИМЕР НЕВОССТАНАВЛИВАЮЩЕГО ДИСАХАРИДА
Сахароза (свекловичный, или
тростниковый сахар):
C
H
O
H
2
C
H
O
H
2
O
O
O
H
H
O
O
C
H
O
H
O
H
2
O
H
O
H
поворот
C H2O H
OH
OH
C H 2 O H
O
O
O H
H O
OH
OH
-D-глюкопираноза
C H 2 O H
O H
-фруктофураноза

33.

АСКОРБИНОВАЯ КИСЛОТА
рКа = 4,2
English     Русский Rules