ИДЗ-3 Теорема об изменении кинетической энергии системы
153.75K
Category: physicsphysics

ИДЗ-3

1. ИДЗ-3 Теорема об изменении кинетической энергии системы

2.

Механическая система под действием сил тяжести
приходит в движение из состояния покоя. Начальное
положение системы показано на рисунке.
Учитывая трение скольжения тела 1 (если указан
коэффициент трения f ) и сопротивление качению тела
3 (если указан коэффициент трения качения ),
определить скорость тела 1 в момент времени, когда
пройденный им путь станет равным s.
Блоки и катки, для которых радиусы инерции в таблице
не указаны, считать сплошными однородными
цилиндрами. Наклонные участки нитей параллельны
соответствующим наклонным плоскостям.

3.

2
1
3
600
300
2
r3 R3
3
s

4.

Теорема:
e
i
T T0 A A
e
T A
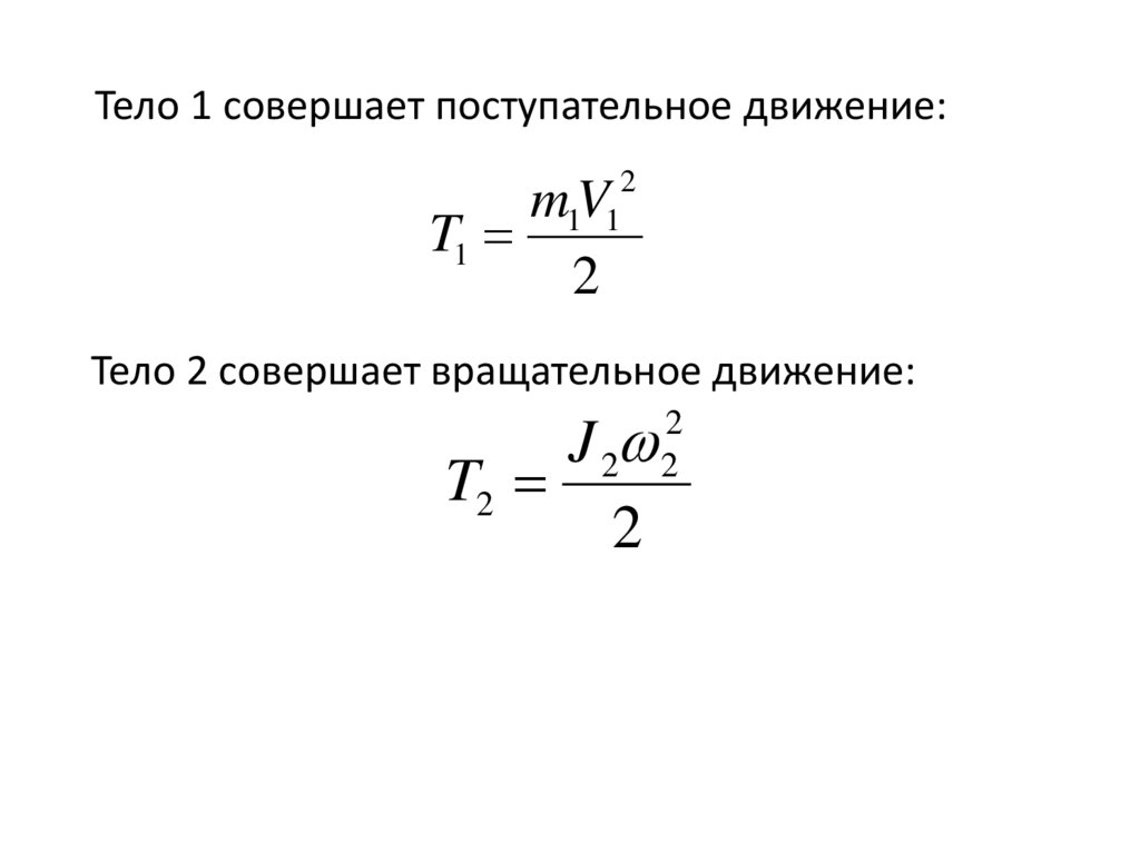
Кинетическая энергия системы:
T T1 T2 T3

5.

Тело 1 совершает поступательное движение:
2
1 1
mV
T1
2

6.

Тело 1 совершает поступательное движение:
2
1 1
mV
T1
2
Тело 2 совершает вращательное движение:
J 2
T2
2
2
2

7.

Тело 1 совершает поступательное движение:
2
1 1
mV
T1
2
Тело 2 совершает вращательное движение:
J 2
T2
2
2
2
Момент инерции тела 2:
1
2
J 2 m2 R2
2

8.

Тело 3 совершает плоскопараллельное движение.
По теореме Кёнига:
mV
J x
T3
2
2
2
3 3
2
3
Момент инерции относительно центральной оси:
J x m3
2
3

9.

2
2
3
V3
1
3
600
300
V1
s

10.

Кинематические соотношения между скоростями:
V1
2
R2
V1
3
R3 r3
V1r3
V3 3r3
R3 r3

11.

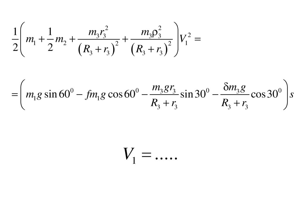
Получим:
T T1 T2 T3
1
1
mr
m3 2
V
m1 m2
2
2 1
2
2
R3 r3 R3 r3
2
3 3
2
3

12.

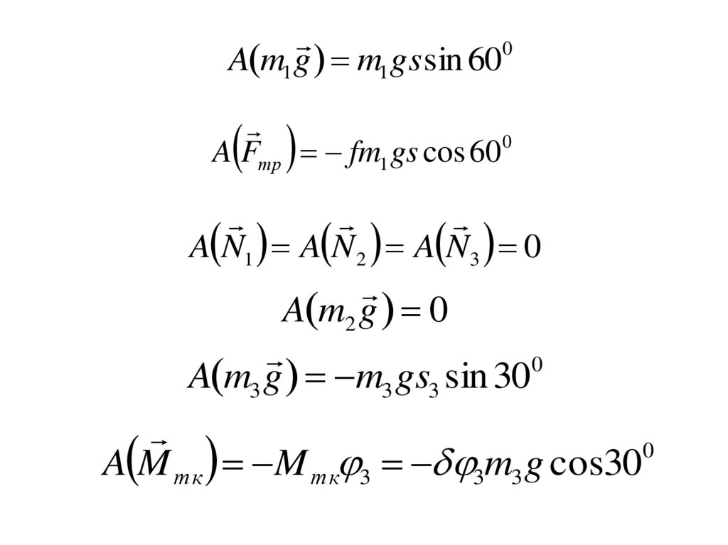
Определяем работу внешних сил.
2 2
M тк
N
3 3
Fтр
V3
3
300
m3 g
N2
m2 g
m1 g
N1
1
V1
s
600

13.

0
A m1 g m1 gs sin 60
0
A Fтр fm1 gs cos 60
A N1 A N 2 A N3 0
A m2 g 0
0
A m3 g m3 gs3 sin 30
0
A M тк M тк 3 3m3 g cos30

14.

Кинематические соотношения между перемещениями:
s
3
R3 r3
sr3
s3 3r3
R3 r3
T V1 A
e
s

15.

1
1
m3r32
m3 32 2
V
m1 m2
2
2 1
2
2
R3 r3 R3 r3
m3 gr3
m3 g
0
0
0
0
m1 g sin 60 fm1 g cos 60
sin 30
cos30 s
R3 r3
R3 r3
V1 .....
English     Русский Rules