интегральное исчисление
Неопределенный интеграл
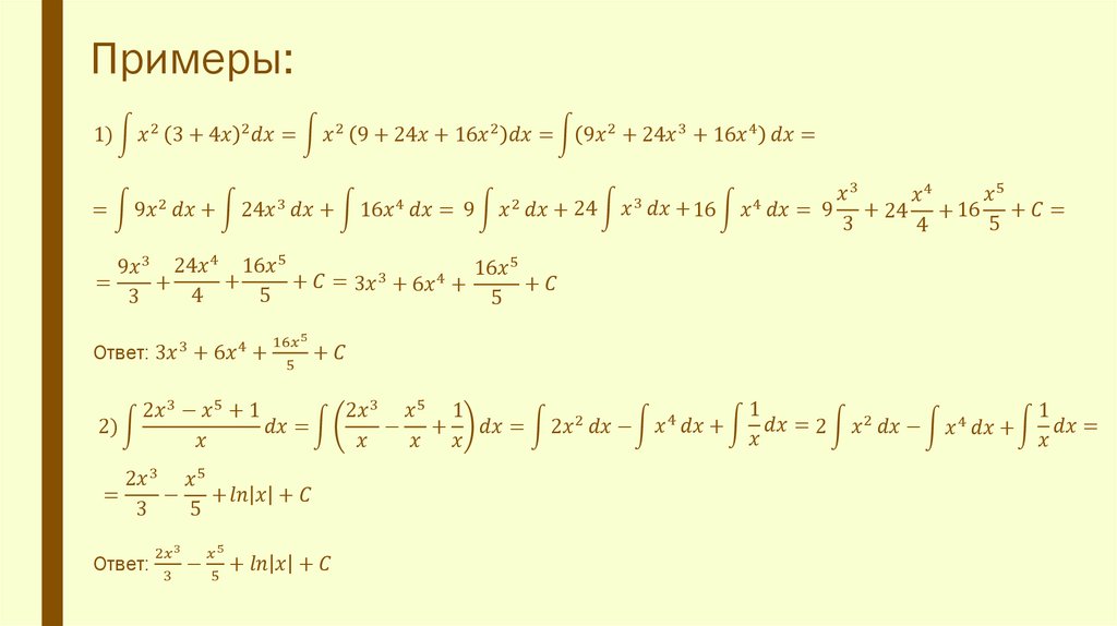
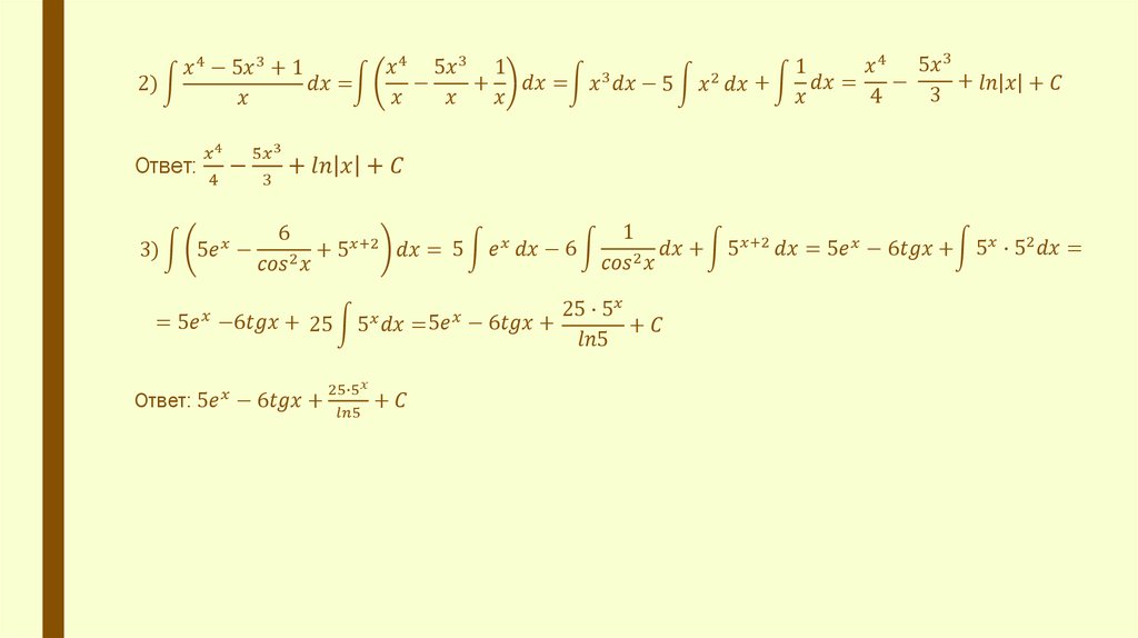
Примеры:
Свойство неопределенного интеграла
Основные формулы интегрирования
1. Метод непосредственного интегрирования.
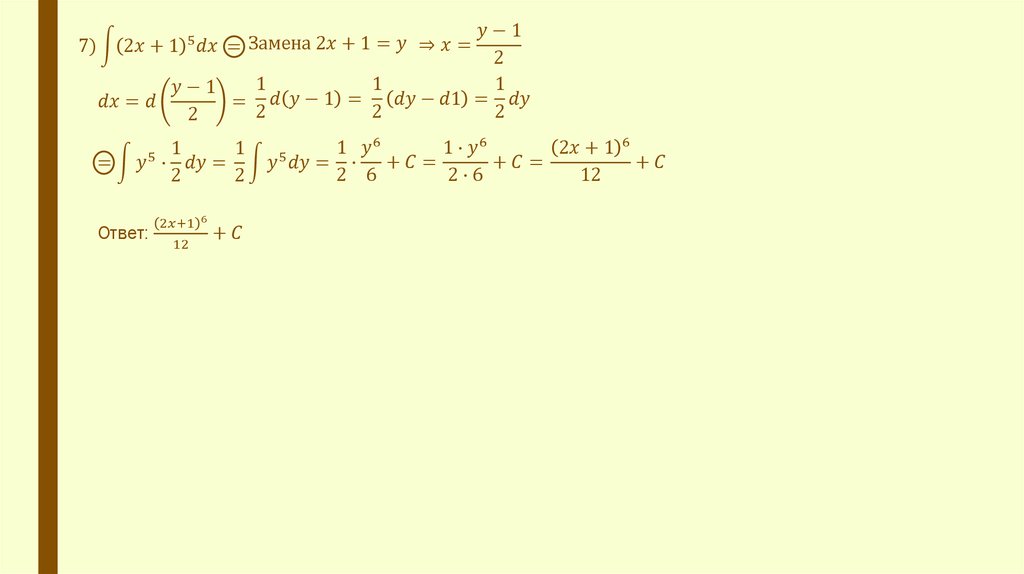
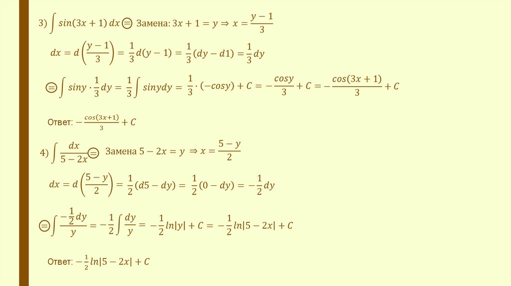
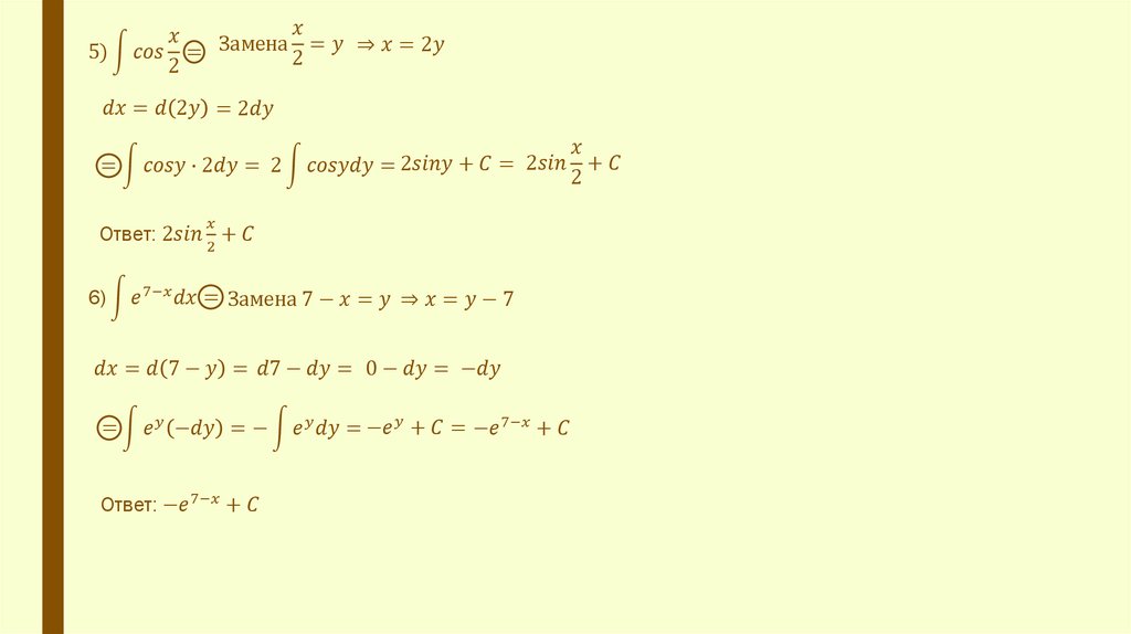
2. Метод подстановки.
Примеры:
Определенный интеграл
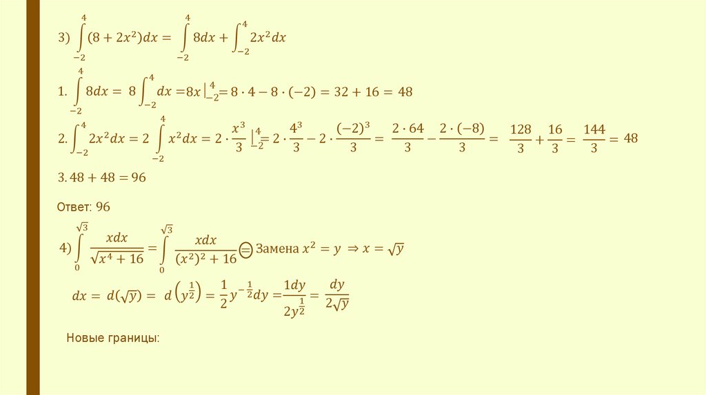
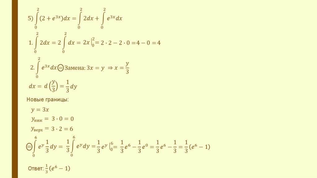
Вычисление определенного интеграла Формула Ньютона Лейбница
Самостоятельная работа
Ответы
Спасибо за внимание!
802.08K

Презентация_по_математике_Интегральное_исчисление_

1. интегральное исчисление

ИНТЕГРАЛЬНОЕ
ИСЧИСЛЕНИЕ
Преподаватель ГАПОУ РО «РКРСТ «Сократ»
Демина Римма Григорьевна

2.

Цель урока:
Изучить тему «интегральное исчисление».
Задачи урока:
■ Рассмотреть неопределенный интеграл;
■ Ознакомиться с основными формулами интегрирования;
■ Разобрать основные способы интегрирования;
■ Рассмотреть определенный интеграл.

3. Неопределенный интеграл

Очень часто возникает следующая задача математического анализа:
По данной функции f(x) найти такую функцию F(x) производная которой равна
функции f(x):
F (x) = f(x)
В этом случае функция F(x) называется первообразной для функции f(x).
Совокупность всех первообразных функции F(x) + C, где С=const для функции
f(x) называется неопределенным интегралом в функции f(x).
English     Русский Rules