Теорема об изменении количества движения точки
Пример:
Решение:
Пример:
Теорема об изменении кинетической энергии точки
ТЕСТОВЫЕ ЗАДАНИЯ
437.50K
Category: physicsphysics

Общие теоремы динамики точки

1.

Комплект слайд-лекций для технических
специальностей университета

2.

доктор физико-математических наук,
профессор Отделения машиностроения
Инженерной школы новых производственных технологий
Томского политехнического университета

3.

Общие теоремы динамики точки

4. Теорема об изменении количества движения точки

Количеством движения точки называется
векторная величина:
Q mV
(1)

5.

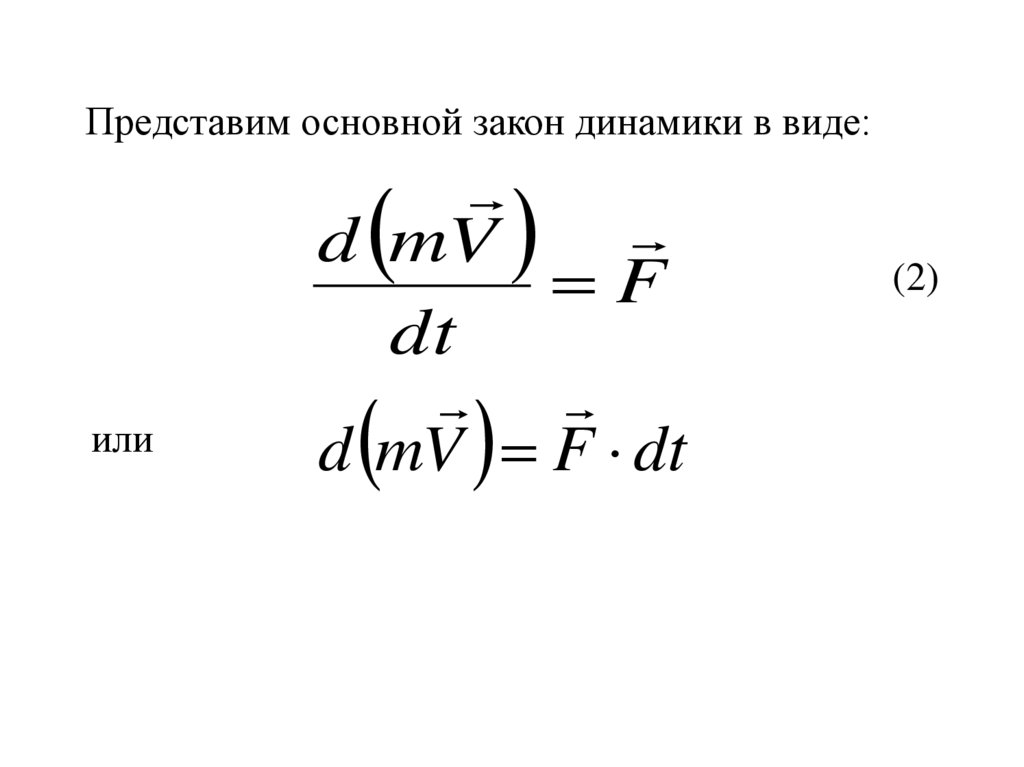
Представим основной закон динамики в виде:
d mV
F
dt
(2)

6.

Представим основной закон динамики в виде:
или
d mV
F
dt
d mV F dt
(2)

7.

Представим основной закон динамики в виде:
или
d mV
F
dt
d mV F dt
d mV dS
(2)
dS F dt - элементарный импульс силы
(3)

8.

Интегрируем уравнение (3):
d
m
V
d
S
C

9.

Интегрируем уравнение (3):
d
m
V
d
S
C
mV mV0 S
(4)

10.

Интегрируем уравнение (3):
d
m
V
d
S
C
mV mV0 S
(4)
Изменение количества движения точки за некоторый
промежуток времени равняется импульсу действующих
на точку сил за тот же промежуток времени.

11. Пример:

Точка массой m 1кг , двигаясь прямолинейно
под действием постоянной силы F , изменила
свою скорость на V 2 м / с в течение
промежутка времени
t 0,5c.
Определить силу F.

12. Решение:

m V F t

13.

Решение:
m V F t
V
2
F m
1 4H
t
0,5

14.

Теорема об изменении момента количества
движения точки
М
r
О
V

15.

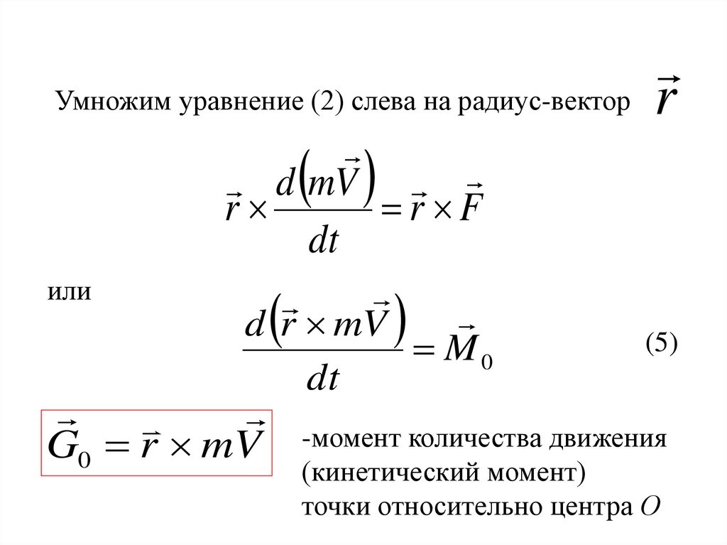
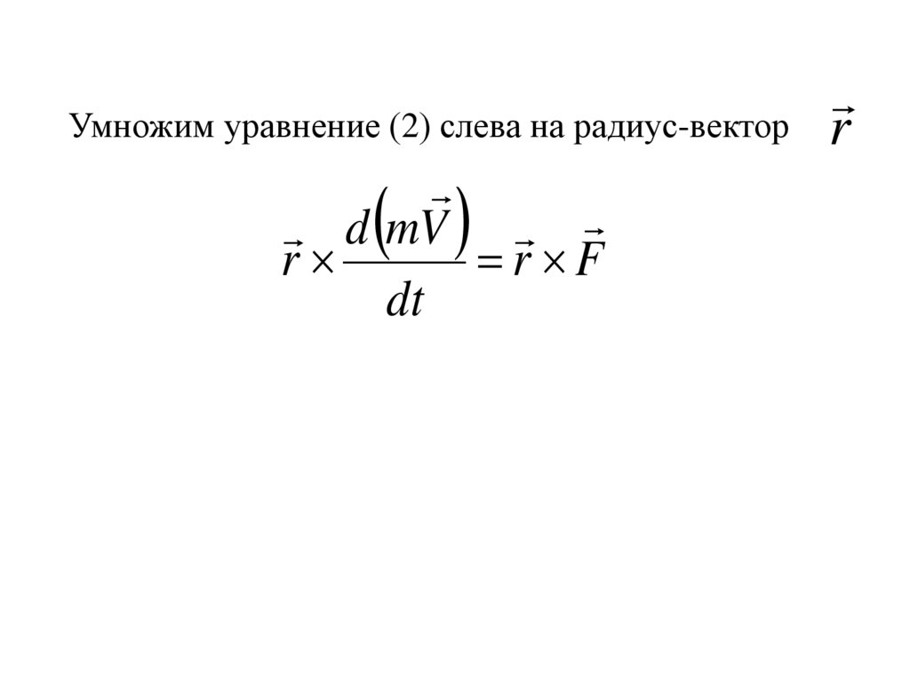
Умножим уравнение (2) слева на радиус-вектор
d mV
r
r F
dt
r

16.

Умножим уравнение (2) слева на радиус-вектор r
d mV
r
r F
dt
или
d r mV
M0
dt
G0 r mV
(5)
-момент количества движения
(кинетический момент)
точки относительно центра О

17.

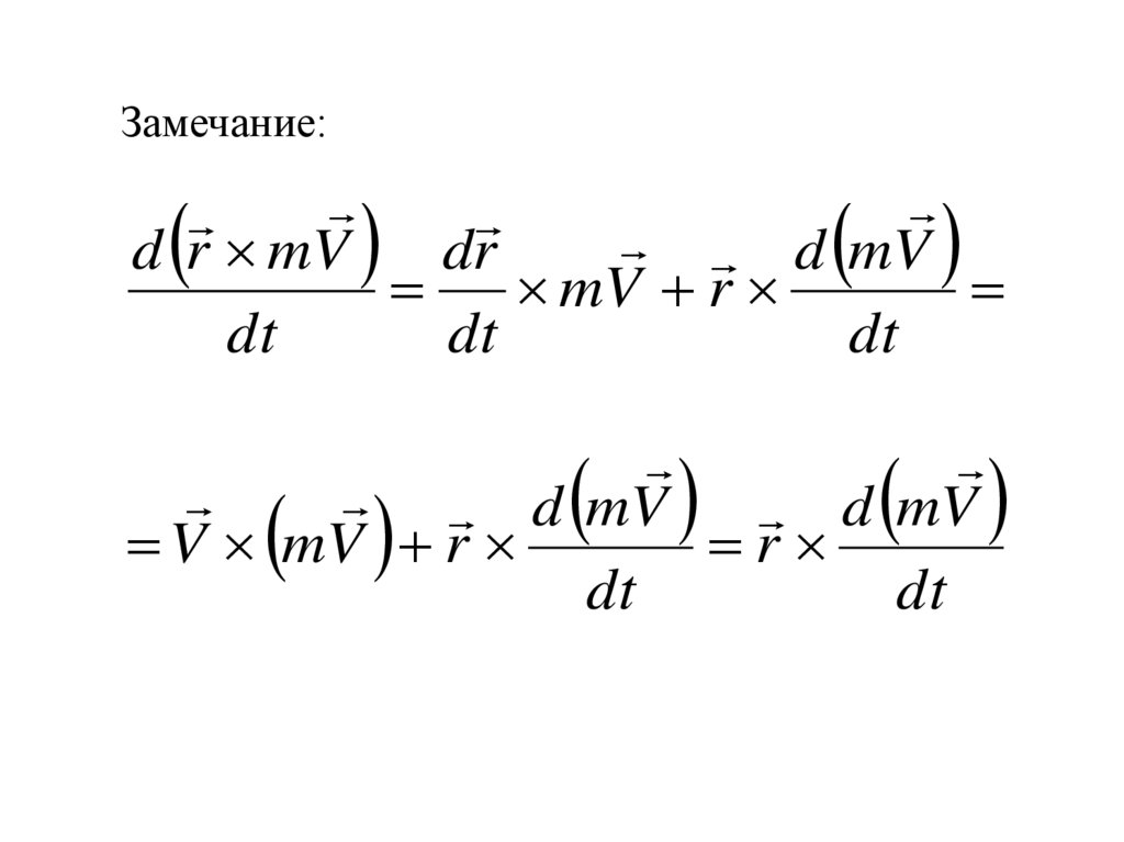
Замечание:
d mV
d r mV
dr
mV r
dt
dt
dt
d mV
d mV
V mV r
r
dt
dt

18.

dG0
M0
dt
(6)

19.

dG0
M0
dt
(6)
Производная по времени момента количества
движения точки относительно какого-либо
центра равна моменту действующих на точку
сил относительно того же центра.

20. Пример:

Точка М движется вокруг неподвижного центра
по эллипсу под действием силы притяжения к
этому центру. Найти скорость точки в наиболее
удаленной от центра точке траектории, если
ее скорость в наиболее близком к нему положении
V 30 м / с , а наибольший радиус в 5 раз больше
наименьшего.

21.

F
О
F
V1
V2

22.

F
О
Так как сила
F
V1
F - центральная, то
d
(r mV ) 0
dt
V2

23.

F
О
Так как сила
F
V1
F - центральная, то
d
(r mV ) 0
dt
r mV const
V2

24.

Следовательно
r1mV1 r2 mV2
r1V1 30
V2
6м / с
r2
5

25. Теорема об изменении кинетической энергии точки

Кинетической энергией точки называется скалярная
величина
mV 2
T
2
(7)

26.

F
М0
dr
М1
О

27.

F
ds
М0
dr
М1
О
dr ds

28.

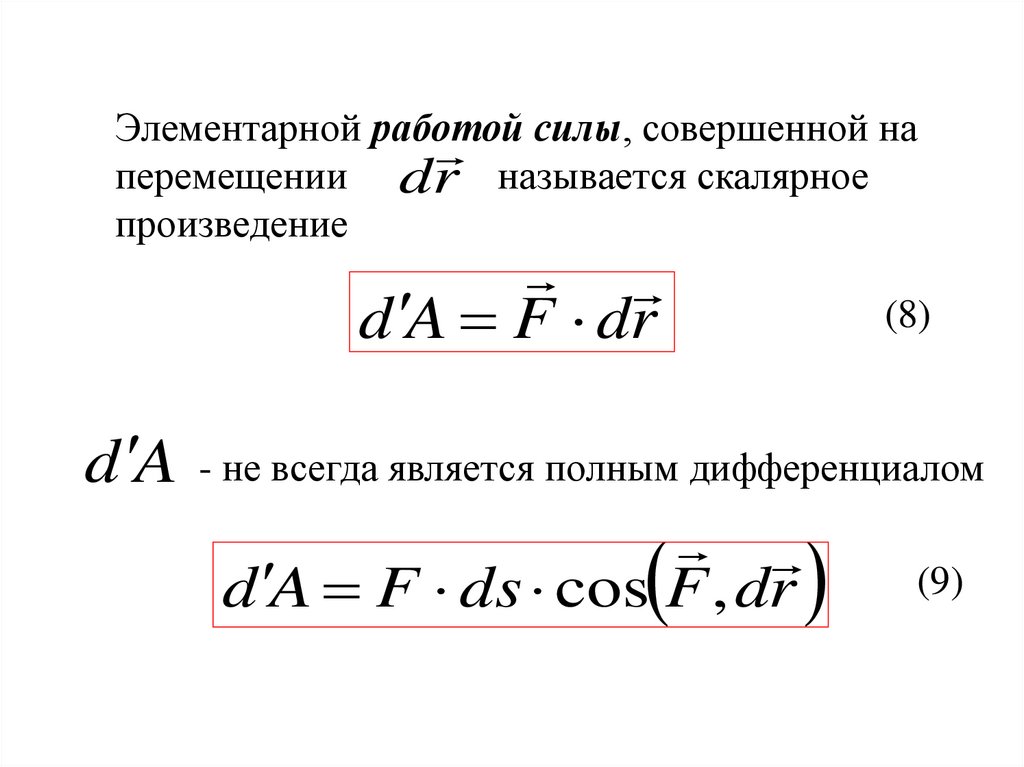
Элементарной работой силы, совершенной на
перемещении dr называется скалярное
произведение
d A F dr
(8)
d A - не всегда является полным дифференциалом

29.

Элементарной работой силы, совершенной на
перемещении dr называется скалярное
произведение
d A F dr
(8)
d A - не всегда является полным дифференциалом
d A F ds cos F , dr
(9)

30.

Проекция силы на касательную:
F F cos F , dr

31.

Проекция силы на касательную:
F F cos F , dr
Работа силы на конечном перемещении по
кривой М0М1
AM 0 M1
F
ds
M 0 M1
(10)

32.

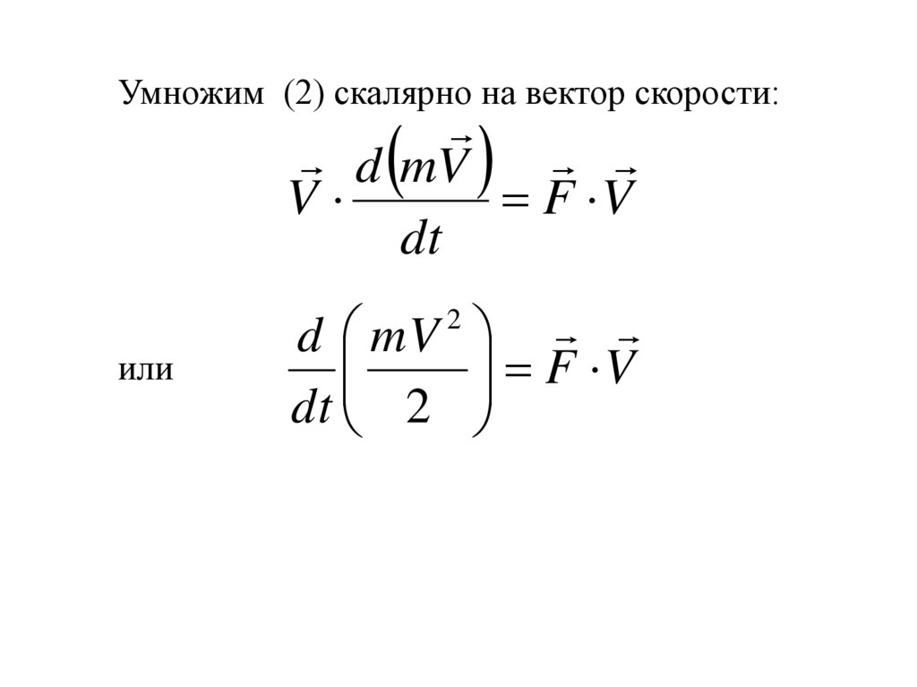
Умножим (2) скалярно на вектор скорости:
d mV
V
F V
dt

33.

Умножим (2) скалярно на вектор скорости:
d mV
V
F V
dt
d mV
F V
dt 2
2
или

34.

Умножим (2) скалярно на вектор скорости:
d mV
V
F V
dt
d mV
F V
dt 2
2
d mV dr
F
dt 2
dt
2
или

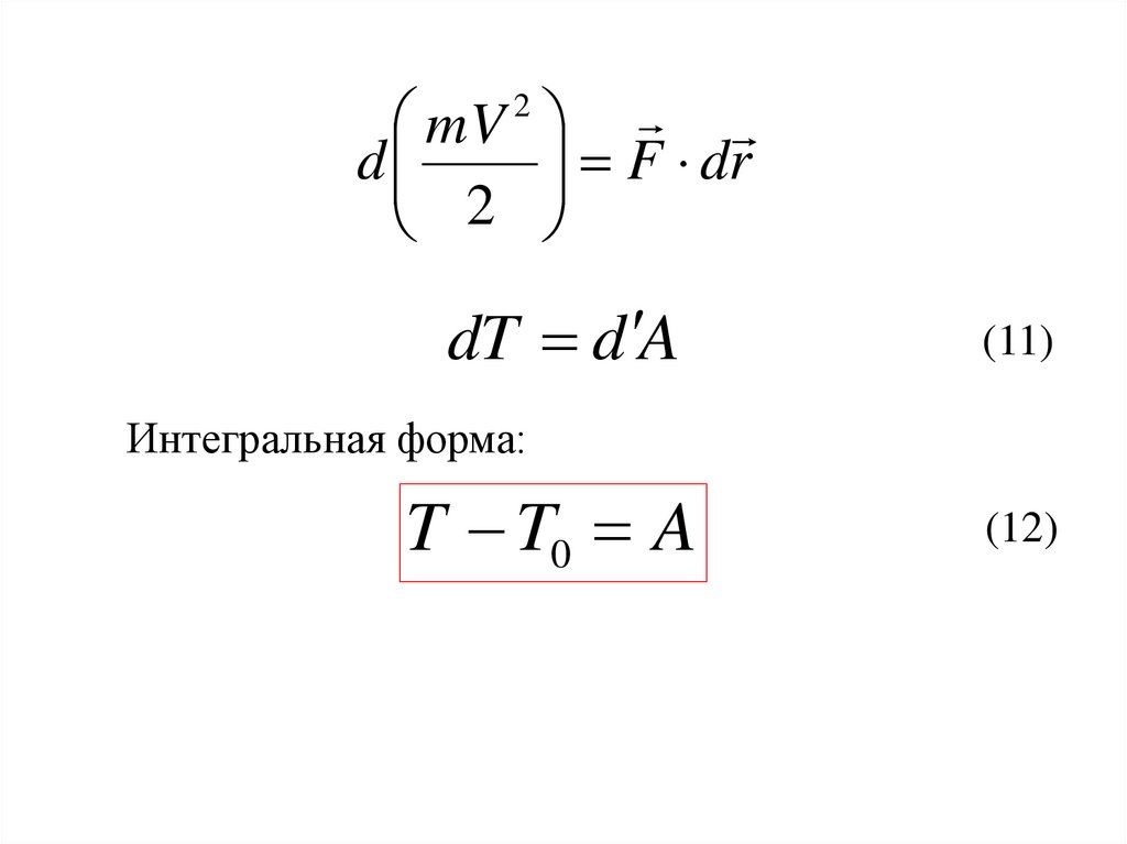
35.

mV
F dr
d
2
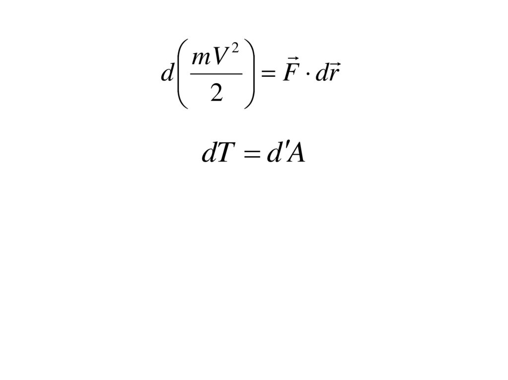
2
dT d A

36.

mV
F dr
d
2
2
dT d A
(11)
Интегральная форма:
T T0 A
(12)

37.

mV
F dr
d
2
2
dT d A
(11)
Интегральная форма:
T T0 A
(12)
Изменение кинетической энергии точки на
некотором перемещении равно работе
действующих на точку сил на том же перемещении.

38.

Если работа силы представляет собой полный
дифференциал некоторой функции:
dA dП

39.

Если работа силы представляет собой полный
дифференциал некоторой функции:
dA dП
то из (11) следует
dT dП

40.

Если работа силы представляет собой полный
дифференциал некоторой функции:
dA dП
то из (11) следует
dT dП
В результате интегрирования получим
закон сохранения энергии:
T П Е
(13)
П- потенциальная энергия точки, Е- полная энергия

41.

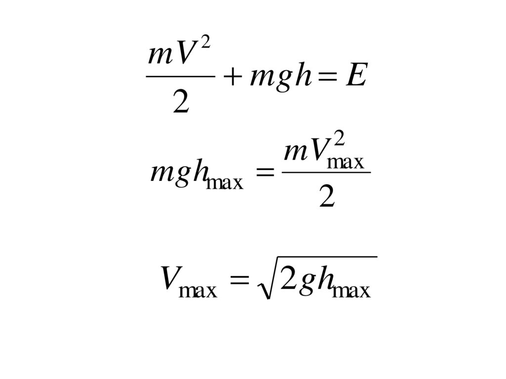
Пример: вертикальное падение тела

42.

2
mV
mgh E
2
2
mVmax
mghmax
2
Vmax 2ghmax

43.

Контрольные вопросы:
1. Дайте определение понятию «импульс силы».
2. Точка движется по окружности. Как направлен ее
момент количества движения?
3. Дайте определение понятию «работа силы».
4. Приведите примеры консервативных и
неконсервативных сил.

44. ТЕСТОВЫЕ ЗАДАНИЯ

Для самоконтроля знаний рекомендуется
выполнить тестовые задания из
Сборника коротких задач по теоретической
механике. Под ред. Кепе О.Э.
С. 230, 242, 250
Рекомендованные учебники и учебные пособия выложены в
информационном модуле

45.

После просмотра и конспектирования слайд-лекции
необходимо прочитать указанные страницы
учебников и дополнить конспект наиболее важными
сведениями
Тарг С.М. Краткий курс теоретической механики: Учеб. для
втузов.- 10-е изд. – М: ВШ, 1986. С. 201-219.
Рекомендованные учебники и учебные пособия выложены в
информационном модуле
English     Русский Rules