16.31M

12.11 №15 10 с (1)

1.

Тригонометриялық
теңдеулер және олардың
жүйелерін шешу әдістері
10-сынып жаратылыстану-математика бағыты бойынша
тригонометриялық теңдеулерді шешудің әртүрлі әдістерімен
танысамыз. Бұл сабақта квадрат теңдеуге келтірілетін және дәрежесін
төмендету формулаларын қолданатын теңдеулерді шешуді үйренеміз.

2.

Сабақтың мақсаттары
Негізгі мақсат
Оқу нәтижелері
Практикалық дағды
Тригонометриялық теңдеулерді
түрлендіру формулаларын қолдану
арқылы шеше алу дағдысын
дамыту
10.1.3.7 - квадрат теңдеуге
келтірілетін тригонометриялық
теңдеулерді шешу
10.1.3.13 - дәрежесін төмендету
формулаларын қолдану арқылы
теңдеулерді шешу

3.

Құндылықтарға тәрбиелеу
Әділдік
Жауапкершілік
Есептің шешімін дұрыс жолмен
табуға, топтық жұмыс кезінде
әркімнің пікірін әділ бағалауға, өз
еңбегі мен сыныптасының
еңбегін әділ мойындауға
үйренеді.
Есеп шығарудағы қателерін
талдап, өз жұмысының
нәтижесіне жауап беруге,
тапсырмаларды уақытылы әрі
мұқият орындауға дағдыланады.

4.

Жаңа айнымалы енгізу әдісі
Берілген мысал: cos ²2x + 3sin²x - 3 = 0 теңдеуін шешейік
01
02
Теңдеуді түрлендіру
Жеңілдету
cos²2x = (1 - sin²2x) ф ормуласын қолданамыз
-sin²2x + 3sin²x - 2 = 0 немесе sin²2x - 3sin²x + 2 = 0
03
04
Алмастыру
Шешім
sin²x = t деп жаңа айнымалы енгіземіз: t² - 3t + 2 = 0
t₁ = 1 , t₂ = 2. Жауабы: x = π/4 + πk, k ∈ Z

5.

6.

7.

8.

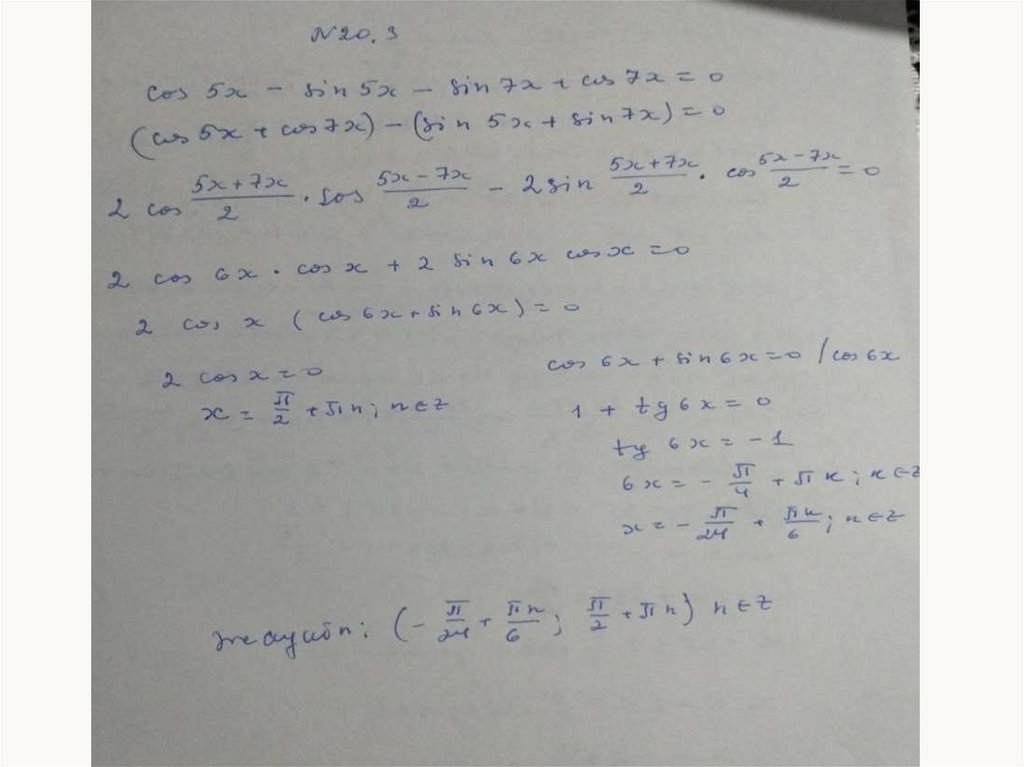
Біртекті тригонометриялық
теңдеулер
Сол жақ бөлігіндегі sinx пен cosx-ке қатысты барлық мүшелерінің
дәреже көрсеткіштерінің қосындысы бірдей, оң жақ бөлігі 0-ге тең
болатын теңдеу біртекті тригонометриялық теңдеу деп аталады.
Бірінші дәрежелі
asinx + bcosx = 0
Екінші дәрежелі
asin²x + bcos²x + dsinxcosx = 0
Үшінші дәрежелі
asin³x + bsinxcos²x + dcos³x = 0

9.

10.

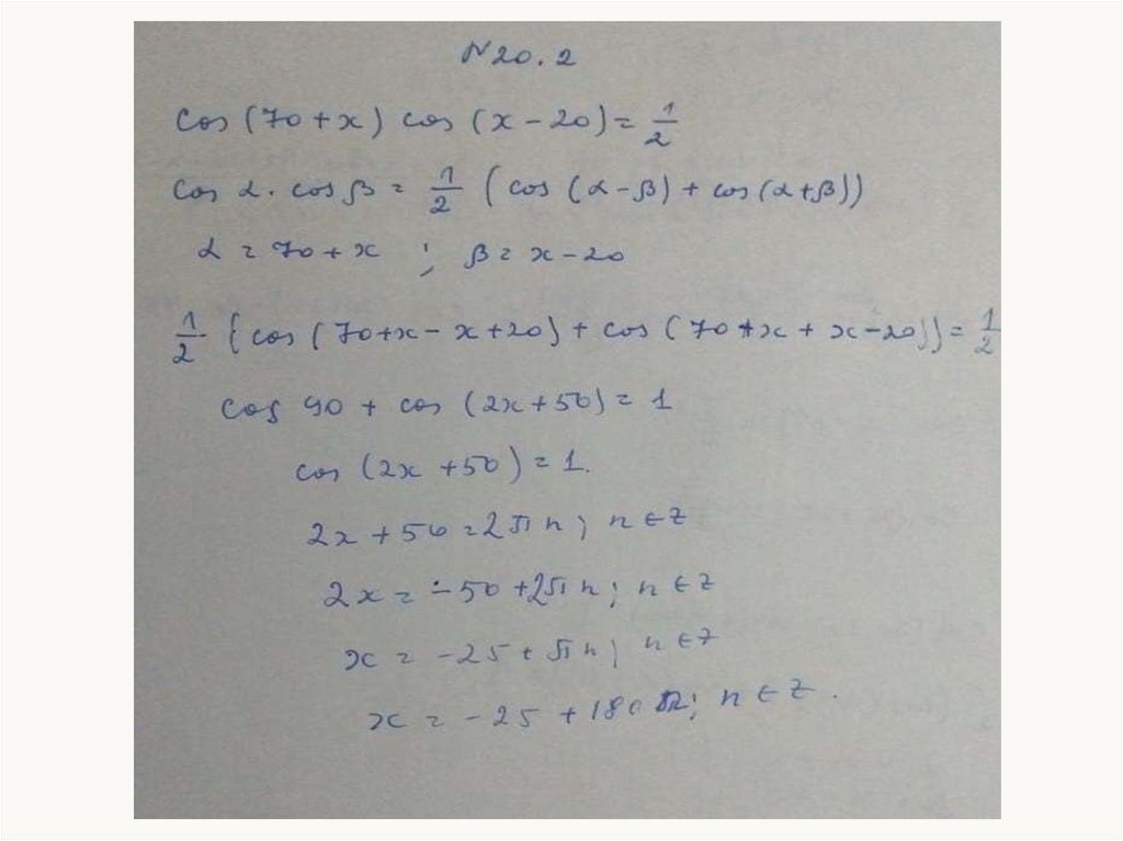
Дәрежені төмендету
формулалары
Sin²x формуласы
Sin²x = 0.5(1 - cos2x)
Cos²x формуласы
Cos²x = 0.5(1 + cos2x)
Бұл формулалар тригонометриялық теңдеулерді шешуде дәрежесін
төмендету үшін қолданылады. Олар күрделі теңдеулерді жеңілдетіп,
шешімді табуға көмектеседі.

11.

12.

13.

14.

15.

Сабақты қорытындылау және
рефлексия
"Бүгін мен сабақта
тригонометриялық
теңдеулерді шешудің
әртүрлі әдістерін білдім"
"Бүгін мен сабақта жаңа
айнымалы енгізу және
дәрежені төмендету
әдістерін үйрендім"
"Бүгін мен сабақта біртекті теңдеулер ұғымымен таныстым"
Сабақ барысында оқушылар тригонометриялық теңдеулерді шешудің
негізгі әдістерін меңгерді. Келесі сабақта алған білімдерін тереңдете
түсетін боламыз.
English     Русский Rules