Прямая в пространстве
Общее уравнение прямой
Канонические уравнения прямой
Параметрические уравнения
Уравнение прямой, проходящей через две точки
Угол между прямыми
Параллельность прямых
Перпендикулярность прямых
Угол между прямой и плоскостью
Условие параллельности прямой и плоскости
Условие перпендикулярности прямой и плоскости
208.50K
Category: mathematicsmathematics

Прямая_в_пространстве

1. Прямая в пространстве

2. Общее уравнение прямой

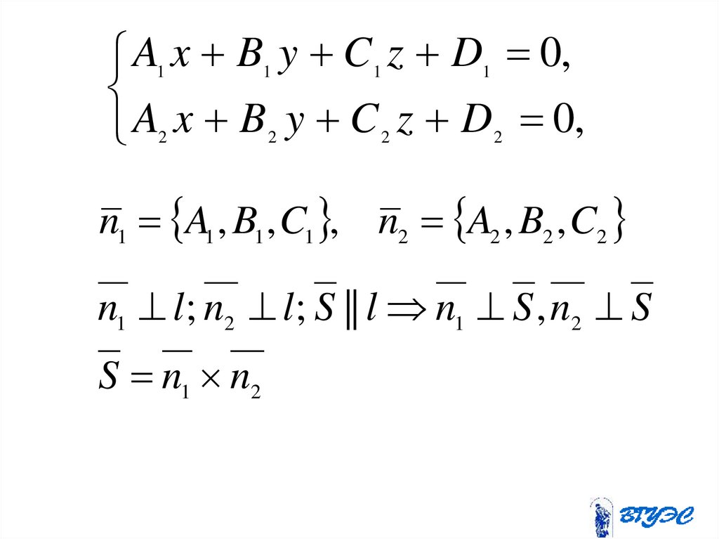
Прямая линия в пространстве определяется
как линия пересечения двух плоскостей

3.

A x B y C z D 0,
A x B y C z D 0,
1
1
1
2
2
2
1
2
n1 A1 , B1 , C1 , n2 A2 , B2 , C2
n1 l; n2 l; S || l n1 S , n2 S
S n1 n2

4.

i
j
k
S A1
A2
B1
B2
C1
C2

5. Канонические уравнения прямой

• Уравнение прямой, проходящей через
заданную точку параллельно заданному
вектору
х хо у у о z z о
m
p
q

6. Параметрические уравнения

х mt xo ,
y pt yo ,
z qt zo

7. Уравнение прямой, проходящей через две точки

x x
y y
z z
x x y y z z
1
2
1
1
2
1
1
2
1

8. Угол между прямыми

S1 S2
cos
а1 а2
m1m2 p1 p2 q1q2
.
2
2
2
2
2
2
m1 p1 q1 m2 p2 q2

9. Параллельность прямых

m1 p1 q1
Если , то S S
.
1
2
1 2
m2 p2 q2

10. Перпендикулярность прямых

Если 1 2 то S S S S 0
1
2
1
2

11. Угол между прямой и плоскостью

12.

l
S
n
П

13.

Углом между прямой и плоскостью
называется угол между прямой и ее
ортогональной проекцией на плоскость
sin
n S
n S
Am Bp Cq
A B C m p q
2
2
2
2
2
.
2

14. Условие параллельности прямой и плоскости

Если
П ,то n S
Аm Вp Сq 0

15. Условие перпендикулярности прямой и плоскости

Если
П , то n || S
А B С
m p q
English     Русский Rules