СТАТИКА
Задача 1. Дано: P = 5 kН; M = 8 kН·м; q = 1,2 kН/м.
Решение
Проверка
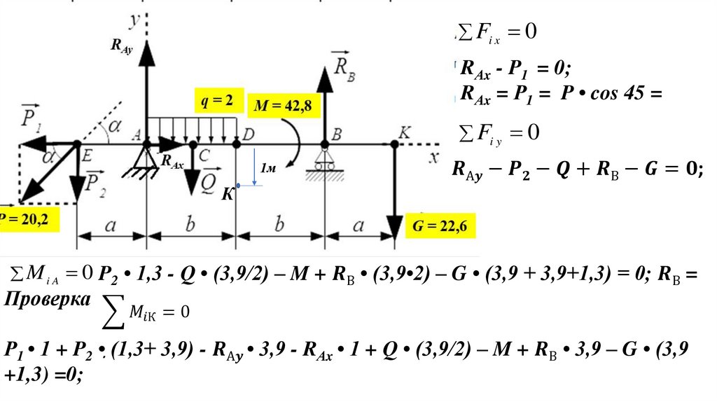
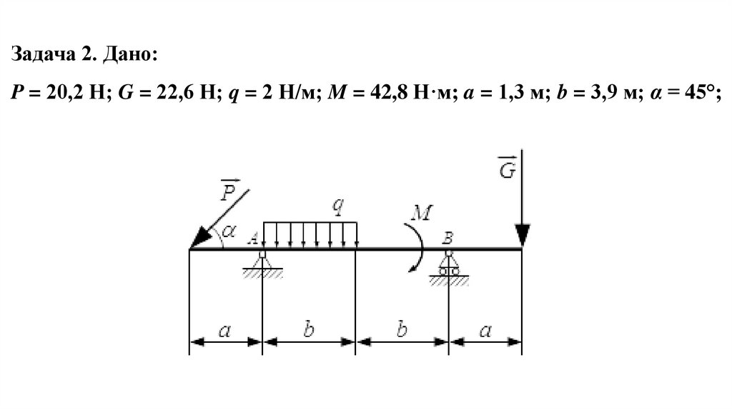
Задача 2. Дано: P = 20,2 Н; G = 22,6 Н; q = 2 Н/м; M = 42,8 Н·м; a = 1,3 м; b = 3,9 м; α = 45°;
Задача 3. Дано: P1 = 5 kН;   P2 = 7 kН;   M = 22 kН·м;   q = 2 kН/м;   α = 60°, β=57 °.
Решение
Задача 4
626.88K
Category: physicsphysics

Статика

1. СТАТИКА

Практическое занятие 2

2. Задача 1. Дано: P = 5 kН; M = 8 kН·м; q = 1,2 kН/м.

Задача 1. Дано:
P = 5 kН; M = 8 kН·м; q = 1,2 kН/м.

3. Решение

q = 1,2
P=5
M=8
• Наносим на схему величины
известных активных сил и
моментов

4.

Опора A представляет собой жесткую
заделку. Отбросим ее и заменим силами
реакций.
Силы реакций удобно разложить на три
составляющие: на две силы Rx и Ry,
параллельные осям координат; и на
момент (пару сил) MA.
Заменим равномерно распределенную
нагрузку q равнодействующей Q. Абсолют
ное значение равнодействующей равно
площади эпюры:
q = 1,2
P=5
M=8
Q = q • 2 = 1,2 • 2 = 2,4 кН.
M=8
Ry
Q = 2,4
Rx
P=5
Подпишем значение силы на картинке.
Разложим силу Р на составляющие вдоль
осей координат:
Р1 = Р cos 45;
P2 = P sin 45.

5.

Составляем уравнение
равновесия.
σ
English     Русский Rules