1.71M
Category: mathematicsmathematics

Линейная алгебра. Лекция 2

1.

Линейная алгебра
Лекция 2

2.

3.

4.

5.

6.

7.

8.

9.

Пример.

10.

11.

12.

13.

14.

15.

Разложение определителя n-го порядка по строке
или по столбцу

16.

17.

18.

Свойства определителей

19.

20.

21.

22.

23.

24.

25.

26.

27.

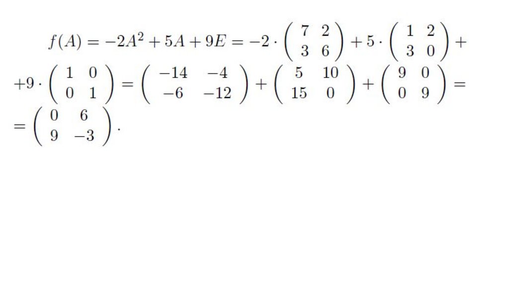
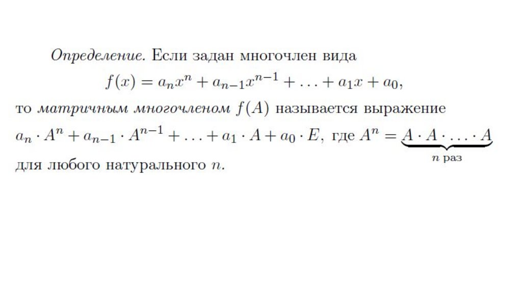
Строгое определение определителя

28.

29.

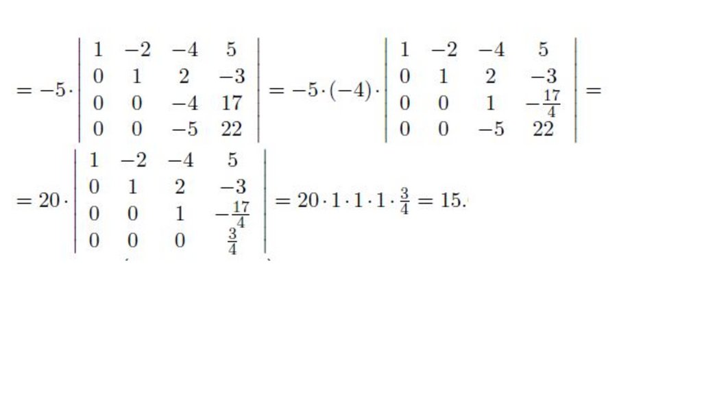
Вычисление определителя n-го порядка

30.

31.

32.

33.

34.

Преподаватели, которые будут вести семинары
по Высшей математике

35.

Симанчев Руслан Юрьевич
Заведующий каф. ПОЗИ ИМИТ
к.ф. м.н, доцент (в 2020 г защитил докторскую
диссертацию, ждет диплом)
Рук. НОУ “ПОИСК” (выездные школы,
конференции школьников, интеллектуальные
игры)
Пишет стихи, музыку. Записал 2 альбома песен
http://pozi.omsu.ru/personal/simanchev.html
С юмором, есть в вк.

36.

Ширшова Татьяна Ахметовна
Кандидат наук, доцент
Эксперт по проверке ЕГЭ по математике
Много лет преподает информатику и
математику на разных факультетах ОмГУ
Имеет собственные уникальные методики
объяснения решений задач по математике
Умеет подниматься в горы (в вк много фото)
Есть в вк

37.

Уразова Инна Владимировна
К.ф.м.н., доцент
Эксперт по проверке ЕГЭ по математике и
информатике
Ученица Р.Ю. Симанчева
Читает у вас лекции по Высшей математике.
Экзамен будете сдавать ЕЙ.
English     Русский Rules