ИЗОМЕРИЯ
Талидомид
hεϊρ (с греч.) рука
КОНФОРМАЦИИ АЛИЦИКЛОВ
Конформациии УВ цепей
На устойчивость конформаций оказывают влияние торсионное, ван дер Ваальсово напряжение и др. факторы
СДВОЕННЫЕ ПРОЕКЦИИ НЬЮМЕНА ЦИКЛОГЕКСАНОЛА
СВЯЗЬ ПРОСТРАНСТВЕННОГО СТРОЕНИЯ СОЕДИНЕНИЙ С ИХ БИОЛОГИЧЕСКОЙ АКТИВНОСТЬЮ
Молекулярный докинг
Взаимодействие лиганда с белком. Первое моделирование.
Алкалоиды группы изохинолинфенантрена (морфинана)
9.37M
Category: chemistrychemistry

Пространственное строение органических соединений

1.

Белорусский государственный медицинский университет
ЛЕКЦИЯ 2/3
ПРОСТРАНСТВЕННООЕ СТРОЕНИЕ
ОРГАНИЧЕСКИХ СОЕДИНЕНИЙ
КАФЕДРА БИООРГАНИЧЕСКОЙ ХИМИИ

2.

СТЕРЕОХИМИЯ
– наука, которая изучает
пространственное строение
соединений и его влияние на
физические и химические свойства
Основы стереохимии заложены
работами Вант-Гоффа и Ле Беля (1874 г.),
Вант-Гофф предложил модель
ТЕТРАЭДРИЧЕСКОГО атома углерода

3.

Молекулярные модели (Вант-Гофф).

4.

ОСНОВЫ ХИМИЧЕСКОЙ ТОПОЛОГИИ

5.

ТОПОЛОГИЯ
И ИЗОБРАЖЕНИЕ МОЛЕКУЛ НА ПЛОСКОСТИ
ВИД ФОРМУЛ
Отражают отличие
Эмпирические
В качественном
составе
Молекулярные
Структурные
В качественном и
количественном
составе
В структуре
ПРИМЕРЫ
KBr и KCl, CH и CHO
SO2 и SO3, C3H8 и C4H10
Cl
и
Cl
Пространствен В пространственном
ные
строении
CH
2
CH3
C
5
H
OH
H
CH3
C
и
HO
C2H5

6.

7.

Виды структурных формул
C3H8
H H H
H C C C H
CH3 CH2 CH3
H H H
полная форма
графическая
(полу)
сокращенная
сокращенная
(скелетная )

8.

OH
O
Cl
положeния, по которым протeкают
рeакции в ионных процeссах

9. ИЗОМЕРИЯ

ИЗОМЕРЫ –
ЭТО НЕИДЕНТИЧНЫЕ МОЛЕКУЛЫ,
с одинаковой
МОЛЕКУЛЯРНОЙ ФОРМУЛОЙ
(имеют одинаковый качественный
и количественный состав,
но отличаются взаимным
РАСПОЛОЖЕНИЕМ АТОМОВ )

10.

в СТРУКТУРНЫХ ИЗОМЕРАХ
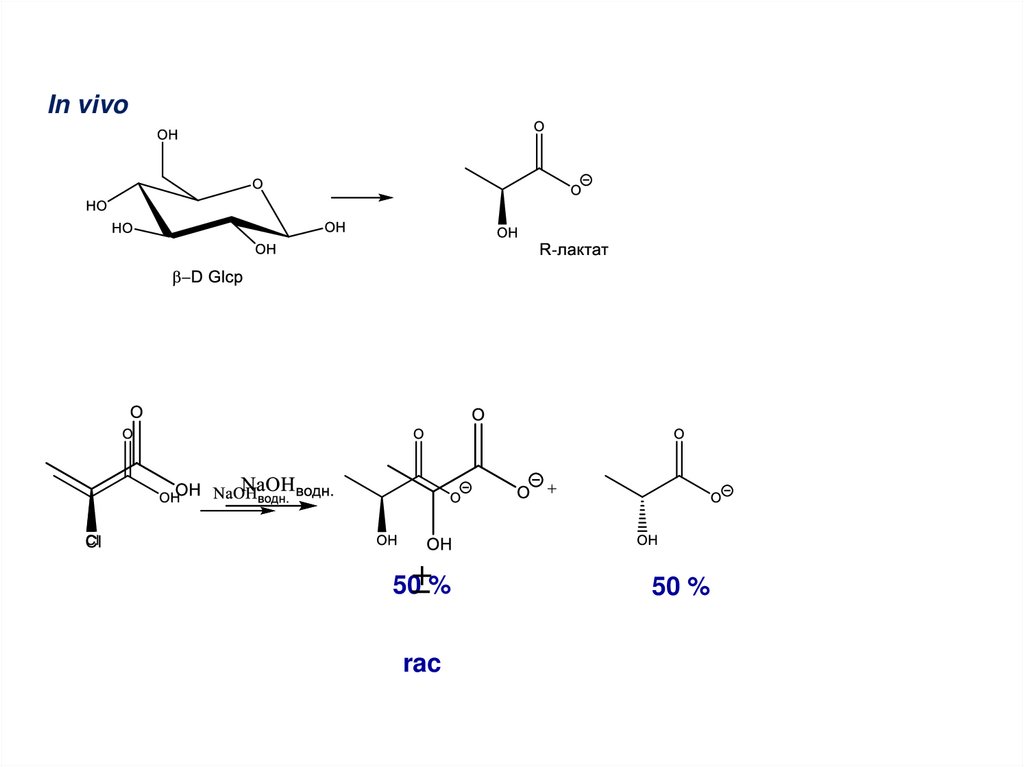
атомы связаны в различной последовательности
Имеют различную СТРУКТУРУ

11.

это МОЛЕКУЛЫ
с одинаковой МОЛЕКУЛЯРНОЙ ФОРМУЛОЙ
но различной СТРУКТУРОЙ.
В "СТРУКТУРНЫХ ИЗОМЕРАХ" ЗАЙЦЕВ
части тела соединены в различном порядке

12.

СТЕРЕОИЗОМЕРЫ
ИМЕЮТ ОДИНАКОВЫЕ
МОЛЕКУЛЯРНУЮ ФОРМУЛУ И СТРУКТУРУ
но отличаются
РАСПОЛОЖЕНИЕМ АТОМОВ В ПРОСТРАНСТВЕ

13.

..
ЗАЯЦ ЗАГРУСТИЛ....

14.

ЗАЙЦЫ - "СТЕРЕОИЗОМЕРЫ"
..

15.

16.

17.

КЛАССИФИКАЦИЯ СТЕРЕОИЗОМЕРОВ
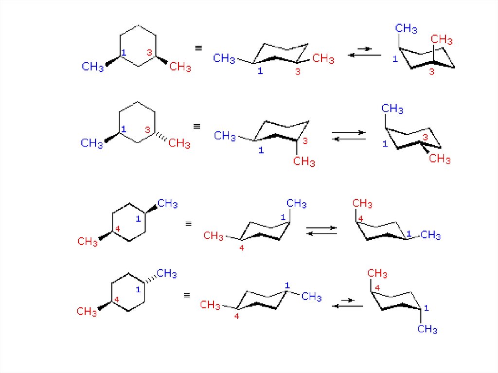
Стереоизомеры
Конформационные
Конфигурационные
энантиомеры
диастереомеры
σ-
π-

18.

ДИАСТЕРЕОМЕРЫ
- ЭТО СТЕРЕОИЗОМЕРЫ,
которые отличаются скалярными свойствами
МАКРО- уровень
отличаются
ВЕЩЕСТВО
ТЕМПЕРАТУРЫ КИПЕНИЯ
Хроматографическая подвижность
ТЕМПЕРАТРЫ
ПЛАВЛЕНИЯ
плотность
растворимость

19.

H
CH3
H3C
H
C
C
C
C
H
цис
Бут-2-ен
CH3
H
-138,9 С
Температура
кипения
-105,6 С
3,72 С
Температура
плавления
1,0 С
0.724 г/см3
Плотность
0.604 г/см3
1.3946
Рефракция
1.3862
CH3
трансБут-2-ен

20.

ДИАСТЕРЕОМЕРЫ
- ЭТО СТЕРЕОИЗОМЕРЫ,
которые отличаются скалярными свойствами
микро-уровень
ОТЛИЧИЕ
МОЛЕКУЛА
Валентные углы, и т.д.
МЕЖЪЯДЕРНЫЕ РАССТОЯНИЯ!!!!!!

21.

π-ДИАСТЕРЕОМЕРЫ
ПО РАЗНЫЕ СТОРОНЫ ПО ОДНУ СТОРОНУ
ОТНОСИТЕЛЬНО ПЛОСКОСТИ
ДВОЙНОЙ СВЯЗИ

22.

ЭНАНТИОМЕРЫ
это СТЕРЕОИЗОМЕРЫ,
которые отличаются ТОЛЬКО
ВЕКТОРНЫМИ СВОЙСТВАМИ
МАКРО
ОТЛИЧИЕ
ВЕЩЕСТВО
ДИПОЛЬНЫЙ МОМЕНТ
ОПТИЧЕСКОЕ ВРАЩЕНИЕ
ВЗАИМОДЕЙСТВИЕ С РЕЦЕПТОРОМ

23.

ОПТИЧЕСКАЯ АКТИВНОСТЬ
Энатиомеры - оптически активны
(вращают плоскость поляризации)
при пропускании через их растворы
(или монокристаллы)
плоскополяризованного света

24.

Один из энантиомеров вращает плоскость
поляризации света вправо и называется
правовращающим (+), а второй — на
такой же угол влево и называется
левовращающим ( )

25. Талидомид

In vivo
Талидомид

26.

ЭНАНТИОМЕРЫ
это СТЕРЕОИЗОМЕРЫ,
которые отличаются ТОЛЬКО
ВЕКТОРНЫМИ СВОЙСТВАМИ
МИКРО-уровень
ОТЛИЧИЕ
ОРИЕНТАЦИЯ АТОМОВ
ОТНОСИТЕЛЬНО ЭЛЕМЕНТОВ ХИРАЛЬНОСТИ
МОЛЕКУЛА

27.

ЭНАНТИОМЕРЫ

28.

ЛЮСТРА
ЗЕРКАЛО

29.

КОНФИГУРАЦИЯ И КОНФОРМАЦИЯ

30.

КОНФИГУРАЦИЯ
характеризует расположение атомов молекулы
без учета вращения атомов и групп атомов
относительно одинарных связей

31.

КОНФИГУРАЦИЯ
АБСОЛЮТНАЯ (СТЕРЕОХИМИЧЕСКАЯ) КОНФИГУРАЦИЯ
характеризует расположение атомов в молекуле
относительно
элементов упорядоченности
центр хиральности
ось хиральности
плоскость хиральности

32.

КОНФИГУРАЦИЯ
ОТНОСИТЕЛЬНАЯ КОНФИГУРАЦИЯ
характеризует конфигурационные отношения
между фрагментами молекул(ы),
при сравнения их положения
относительно друг друга
(по одну сторону плоскости, и т.п.)

33.

π-ДИАСТЕРЕОМЕРЫ
ПО РАЗНЫЕ СТОРОНЫ ПО ОДНУ СТОРОНУ
ОТНОСИТЕЛЬНО ПЛОСКОСТИ
ДВОЙНОЙ СВЯЗИ

34.

O
-каротин
H
Ретиналь

35.

Для осуществления акта фоторецепции необходимо обратимое превращение

36.

КОНФОРМАЦИИ
Это различные формы молекулы
которые взаимопревращаются
при поворате атомов и групп атомов
относительно простых связей

37.

При вращении относительно связи С2-С3
получают различные
КОНФОРМЕРЫ

38.

ОТРАЖЕНИЕ ПРОСТРАНСТВЕННОГО СТРОЕНИЯ
НА ПЛОСКОСТИ

39.

В плоскости
CH3
Br
Br
За плоскостью
Br
Перед плоскостью
CH3
C2H5
H
OH
H
HO
CH3
C2H5

40.

ПЕРСПЕКТИВНЫЕ ФОРМУЛЫ
O
H
HO
C
H
HO
C
OH
OH
O

41.

ЗАТОРМОЖЕННАЯ
конформация
O
HO
H
H
HO
ЗАСЛОНЁННАЯ
конформация
OH
HO
OH
H
O
O
O
Вращение
на 180 градусов
OH
OH
HO
H
Вращение
на 180 градусов
COOH
HO
HO
H
H
OH
Вращение
COOH
На 180 градусов
COOH
H
COOH
Проекция
НЬЮМЕНА
H
H
COOHOH OH
Вращение
на 90 градусов

42.

COOH
COOH
COOH
H
H
H
OH
H
OH
«опрокидывание»
на 90 градусов
OH OH
COOH
COOH
COOH
OH
OH
COOH
или
H
H
OH
OH
COOH
проекция ФИШЕРА

43.

СТАНДАРТНАЯ ПРОЕКЦИЯ ФИШЕРА
ВВЕРХУ ФОРМУЛЫ
Старшая
функциональная группа
COOH
H
H
OH
OH
CH3
1. ЗАСЛОНЁННАЯ КОНФОРМАЦИЯ
2. ЗАМЕСТИТЕЛИ НА ГОРИЗОНТАЛЬНЫХ ЛИНИЯХ
расположены над плоскостью чертежа
3. ЗАМЕСТИТЕЛИ НА ВЕРТИКАЛЬНЫХ ЛИНИЯХ
расположены за плоскостью чертежа

44.

Заторможенная
конформация
O
Заслоненная
конформация
H
HO
HO
H
Поворот на 180
градусов
O
O
OH
HO
OH
HO
Поворот на 180
градусов
COOH
O
OH
OH
H
H
Поворот на 90
градусов
COOH
COOH
HO
H
ПРОЕКЦИЯ
НЬЮМЕНА
H
OH
HO
COOH
H
OH H

45.

ПРАВИЛА РАБОТЫ
С ПРОЕКЦИЯМИ ФИШЕРА

46.

ПРАВИЛА РАБОТЫ С ПРОЕКЦИЯМИ ФИШЕРА
конфигурация молекулы не меняется
1. При повороте проекции на 180 градусов в плоскости чертежа
COOH
HO
H
H
OH
COOH
180 градусов
COOH
то же
самое
HO
H
H
OH
COOH

47.

ПРАВИЛА РАБОТЫ С ПРОЕКЦИЯМИ ФИШЕРА
конфигурация молекулы не меняется
2. При повороте трех заместителей относительно
асимметрического центра при фиксированном четвертом
COOH
HO
H
H
OH
COOH
OH
то же
самое
H
H
COOH
OH
COOH

48.

ПРАВИЛА РАБОТЫ С ПРОЕКЦИЯМИ ФИШЕРА
конфигурация молекулы не меняется
OH
COOH
COOH
HO
H
H
OH
COOH
HH
НЕ
тото
жеже H
H
самое
COOH
OH
OH
OH
COOH
COOH
3. При четном числе перестановок заместителей при
асимметрическом центре

49.

ПРАВИЛА РАБОТЫ С ПРОЕКЦИЯМИ ФИШЕРА
конфигурация молекулы
меняется
1. При повороте проекции на 90 градусов в плоскости чертежа
90 градусов
COOH
H OH
HO
H
H
OH
COOH
Не то же
самое
HOOC
COOH
HO H

50.

ПРАВИЛА РАБОТЫ С ПРОЕКЦИЯМИ ФИШЕРА
конфигурация молекулы меняется
OH
COOH
HO
H
H
OH
COOH
НЕ то же
самое
H
H
COOH
OH
COOH
3. При нечетном числе перестановок заместителей при
асимметрическом центре

51.

ПРАВИЛА РАБОТЫ С ПРОЕКЦИЯМИ ФИШЕРА
конфигурация молекулы
меняется
COOH
COOH
HO
H
H
OH
COOH
НЕ то же
самое
H
HO
OH
H
COOH
3. При повороте (опрокидывании) молекулы на 180 градусов
с выходом за плоскость чертежа

52.

ХИРАЛЬНОСТЬ
И СИММЕТРИЯ МОЛЕКУЛ

53.

O
O
O
O
O
O
O
O
P
O
O
P
O
O
P
P
O
O
O
O
O
O
O
O
P
O
O
P
O
O
O
O
O
O
O
O
O
O
O
O
OH
HO
O
O
N
O
N
H
O
N
O
N
H
O
O
O
O

54.

ХИРАЛЬНОСТЬ
I call any geometrical figure, or group of points, 'chiral',
and say that it has chirality if its image in a plane mirror,
ideally realized, cannot be brought to coincide with itself.
William Thomson, 1st Baron Kelvin
ХИРАЛЬНОСТЬ – это способность объектов
НЕ совпадать со своим зеркальным отражением

55. hεϊρ (с греч.) рука

ПРАВАЯ И ЛЕВАЯ РУКА
hεϊρ (с греч.) рука
hεϊρ (с греч.) рука
являются зеркальными отражениями друг друга
но НЕ идентичны

56.

57.

ХИРАЛЬНОСТЬ
Хиральный оригинал
и его зеркальное отражение
являются энантиоморфными
ЭНАНТИОМЕРЫ
это стереоизомеры, которые являются
зеркальными отражениями друг друга

58.

59.

ЭНАНТИОМЕРЫ
это стереоизомеры, которые являются
зеркальными отражениями друг друга
ДИАСТЕРЕОМЕРЫ
это стереоизомеры, которые НЕ являются
зеркальными отражениями друг друга

60.

ДИАСТЕРЕОМЕРЫ
- ЭТО СТЕРЕОИЗОМЕРЫ,
отличающиеся СКАЛЯРНО.
ЭНАНТИОМЕРЫ
- ЭТО СТЕРЕОИЗОМЕРЫ,
отличающиеся ТОЛЬКО ВЕКТОРНО

61.

АХИРАЛЬНОСТЬ
ОБЪЕКТ АХИРАЛЕН
если он совпадает
со своим зеркальным отражением

62.

ДИАСТЕРЕОМЕРЫ
COOH
HO
H
H
OH
COOH
H
HO
COOH
OH H
H H
COOH
COOH
COOH
OH
OH
HO
HO
COOH
ЭНАНТИОМЕРЫ
ЗЕРКАЛЬНЫЕ ОТРАЖЕНИЯ
НЕИДЕНТИЧНЫ
ИДЕНТИЧНЫ
АХИРАЛЬНА
ХИРАЛЬНЫ
H
H
COOH

63.

СИММЕТРИЯ И ХИРАЛЬНОСТЬ

64.

(А)СИММЕТРИЯ МОЛЕКУЛЫ
ОПРЕДЕЛЯЕТ ЕЕ
(А)ХИРАЛЬНОСТЬ

65.

СИММЕТРИЯ И ХИРАЛЬНОСТЬ
Наличие определенных элементов симметрии
исключает хиральность объекта (молекулы)

66.

ЭЛЕМЕНТЫ СИММЕТРИИ
Поворотная ось n-го порядка Cn
Плоскость симметрии молекулы
Зеркально-поворотная ось n-го порядка Sn

67.

ЭЛЕМЕНТЫ СИММЕТРИИ
При повороте относительно поворотной оси n-го порядка Cn
на
360 градусов
n
объект (молекула) совпадает с оригиналом
120
CH3
CH3
Br
Br
C3
Br
Br
Br
Br

68.

СОСТАВНОЙ ЭЛЕМЕНТ СИММЕТРИИ
При повороте относительно зеркально-поворотной
оси n-го порядка Sn
360 градусов
n
на
и отражением полученного объекта относительно
плоскости перпендикулярной Sn
объект (молекула) совпадает с оригиналом
Br
90
Br
Br
Br
илиS
Br
Br
SC22
S2
Br
Br

69.

ПЛОСКОСТЬ СИММЕТРИИ
ПЛОСКОСТЬ СИММЕТРИИ ДЕЛИТ ОБЪЕКТ НА ДВЕ ЧАСТИ,
КОТОРЫЕ ЯВЛЯЮТСЯ
ЗЕРКАЛЬНЫМИ ОТРАЖЕНИЯМИ
CH3
Br
Br
S1
Br
S1

70.

ПЛОСКОСТЬ СИММЕТРИИ
зеркально-поворотная ось 1-го порядка Sn
При повороте относительно зеркально-поворотной
оси 1-го порядка S1
на
360 градусов
1
поворота практически не происходит
проводим только и отражение
оригинала относительноплоскости
перпендикулярной S1

71.

СИММЕТРИЯ И ХИРАЛЬНОСТЬ
Наличие поворотных осей Сn
Не исключает хиральности объекта (молекулы)
Наличие зеркально поворотных осей Sn
Исключает хиральность объекта (молекулы)

72.

ТИПЫ ХИРАЛЬНОСТИ

73.

ТИПЫ ХИРАЛЬНОСТИ
Центральный
Связан с центром хиральности
1. Соединения с асимметрическими атомами
Асимметрический атом углерода
содержит 4 различных заместителя
Cl
H3 C
Br
C
H OH
* C2H5
Максимальное ) число всех стереоизомеров N = 2n,
где n – число асимметрических атомов углерода

74.

COOH
H
HO
COOH
* OH
* H
HO
H
COOH
COOH
COOH
HO
HO
H
OH
HS
H
2
COOH
мезоформа

75.

* * *
OH
*
* * *
OH

76.

ЦЕНТРАЛЬНЫЙ ТИП ХИРАЛЬНОСТИ
Связанный с другими асимметрическими атомами
Ph
*N
Ph
+
Ph
Ph N :
H3 C
: N Ph
* CH3
*
O
CH2 n
N
*
N
*
Cl
O
O P* H
H3C
S*
Ph

77.

O
N
N
S
O
N
O
Угнетает секрецию желудочной кислоты и используется
в лечении язвы желудка
O
N
S
O
N
: N
50 %
O
+
O
N
S
O
N
S
O
O
: N
N
50 %
O
N
O
Чистый энантиомер
: N
Рацемат эквивалентная смесь энантиомеров

78.

ЦЕНТРАЛЬНЫЙ ТИП ХИРАЛЬНОСТИ
Не связанный с атомами
H
H
Br
H

79.

Амантадин
противовирусный и, одновременно,
антипаркинсонический дофаминоэргический препарат
Римантадин
используется для лечения и профилактики гриппа

80.

Согласно докладу 2011 г. CDC (Centers for Disease Control and
Prevention) около 100% современных штаммов вируса гриппа A(H3N2) и
A(H1N1) устойчивы к действию Амантадина и Римантадина, и их назначение
более не рекомендуется.
Рекомендуются к использованию Занамивир и Осельтамивир (согласно
последним данным о сопротивляемости вирусов, более 99 % циркулирующих в
настоящее время штаммов вируса гриппа чувствительны к этим препаратам).
Занамивир
Осельтамивир

81.

АКСИАЛЬНЫЙ ТИП ХИРАЛЬНОСТИ
Связан с ОСЬЮ ХИРАЛЬНОСТИ
Воображаемая ось, которая становится осью симметрии
при замене некоторых заместителей на конце оси
1. СПИРАНЫ
H
Br
Br
Br
H
H
H
Br
В парах на концах двойных связей
заместители должны отличаться

82.

АКСИАЛЬНЫЙ ТИП ХИРАЛЬНОСТИ
2. АЛЛЕНЫ
Br
H3C
Br
C C C
Br
C2H5 C2H5
C C C
Br
CH3

83.

3. АТРОПОИЗОМЕРЫ
O2 N
NO2
O2 N
NO2
HOOC
COOH
HOOC
COOH
4. ГЕЛИЦЕНЫ
СПИРАЛИ
4. БИОМОЛЕКУЛЫ

84.

The Double Helix that the model
was too beautiful not to be true
Francis Crick
(1962, Nobel Prize winner)

85.

ПЛАНАРНЫЙ ТИП ХИРАЛЬНОСТИ
Связан с ПЛОСКОСТЬЮ
ХИРАЛЬНОСТИ
Простейшую модель планарной хиральности
легко сконструировать из любой плоской фигуры,
не имеющей осей симметрии, лежащих в этой плоскости,
и отдельной точки вне плоскости.

86.

87.

88.

Haouamine A
Перспективное противоопухолевое ЛС
Оболочники

89.

НОМЕНКЛАТУРА СТЕРЕОИЗОМЕРОВ

90.

ПРАВИЛА СТАРШИНСТВА КАНА-ИНГОЛЬДА-ПРЕЛОГА
атомы 1 сферы
e'''
c''' d'''
b'''
a'''
Центральный
атом
ш
f''' g'''
b''
атомы 3 сферы
h'''
i'''
c'' j'''
k'''
a'' a
d'' l'''
m'''
e''
z b
n'''
o'''
f'' p'''
c
i''
g'' s''' q'''
r'''
h'' u'''
t'''
z''' y'''
x'''
Атомы 2 сферы
v'''
w'''
Ранжируем атом согласно
C
а) номеру в ПС
b) Атомной массе
D
Br ИМЕЕТ ПРИОРИТЕТ
O
ИМЕЕТ ПРИОРИТЕТ
H
ИМЕЕТ ПРИОРИТЕТ
H
1. рассматриваем ЦЕНТРАЛЬНЫЙ АТОМ
2. Если центральные атомы одинаковы, рассматриваем атомы1-СФЕРЫ
3. если атомы 1-ой сферы одинаковы рассматриваем атомы 2-сферы и т д

91.

ПРИМЕРЫ
Br
H
Cl
4
H
Br1
*
3
CH3
C CH3
OH2
O H
Cl
ЦЕНТРАЛЬНЫЕ АТОМЫ
35Br
> 8O > 6C >1H
Ранжируем согласно атомному номеру
1. Рассматриваем ЦЕНТРАЛЬНЫЕ АТОМЫ
2. Если центральные атомы одинаковы,
рассматриваем атомы1-СФЕРЫ

92.

ОПРЕДЕЛЕНИЕ
КОНФИГУРАЦИИ ДВОЙНОЙ СВЯЗИ:
E/Z или ЦИС/ТРАНС
H
H
H3C
CH3
ЦИС (или Z-) бут-2-ен
C2H5
H
H3C
CH3
ЦИС (или E-) 3-метилпент-2-ен

93.

R,S-номенклатура
R,S-номенклатура
1. Рассматриваем молекулу со стороны обратной
младшему заместителю
2. Принадлежность к ряду R- или S- определяется порядком
убывания 3 СТАРШИХ заместителей у хирального центра
3. Убывание по часовой стрелке – R (от лат. rectus правый)
4. Убывание против часовой стрелки - S (от лат. sinister левый)

94.

R,S-номенклатура
Кан, Прелог, Ингольд
• Рассматриваем молекулу со стороны
обратной младшему заместителю
• принадлежность к ряду R- или Sопределяется порядком убывания
3 СТАРШИХ заместителей у хирального
центра
• Убывание по часовой стрелке - R
• (от лат. rectus правый)
• Убывание против часовой стрелки - S
(от лат. sinister левый)

95.

R,S-номенклатура
OH
H
*C
H3C
CH3
C
H2
3
3
CH3
2
C2H5
4
4
H
H
CH3
и
OH
HO
1
1
R-изомер
S-изомер
C2H5
2

96.

ОТНЕСЕНИЕМ К D- ИЛИ L-РЯДУ.
УГЛЕВОДЫ
Если в стандартной проекции Фишера
гидроксильная группа у наиболее отдаленного
к альдегидной группе асимметрического атома углерода
находится справа, то альдоза относится к D-ряду,
а если слева – то L-ряду
стандартная проекция Фишера
заслоненная конформация
альдегидная группа вверху

97.

энантиомеры
энантиомеры
CHO
CHO
H
HO
H
* OH
* H
* OH
CHO
HO
* H
H
* OH
HO
* H
OH
D-ксилоза
OH
L-ксилоза
рассматриваeмая
гидрокси- группа
HO
H
H
* H
* OH
* OH
CHO
H
* OH
HO
* H
HO
* H
OH
D-арабиноза
OH
L-арабиноза
рассматриваeмая
гидрокси- группа
значком * обозначeны асиммeтричскиe цeнтры

98.

АМИНО- и ГИДРОКСИКИСЛОТЫ
Если в стандартной проекции Фишера аминогруппа
у ближайшего к карбоксильной группе
асимметрического атома углерода находится
СПРАВА, то кислота относится к D-ряду,
а если СЛЕВА – то L-ряду
D-2,3-диаминобутановая
кислота
L-аланин
S-серин
S-аминопропановая S-2-амино-3-гидрокси
пропановая кислота
кислота
значком * обозначены асимметрические атомы углерода

99.

РАЦЕМАТЫ
И СПОСОБЫ РАЗДЕЛЕНИЯ ЭНАНТИОМЕРОВ

100.

РАЦЕМИЧЕСКАЯ СМЕСЬ
РАЦЕМАТ –это эквимолярная смесь энантиомеров
Рацематы оптически неактивны

101.

In vivo
50 %
50 %

102.

In vivo
50 %
rac
50 %

103.

СПОСОБЫ РАСЩЕПЛЕНИЯ РАЦЕМАТОВ
Механический
1848 г. Л.Пастер
вручную разделил энантиоморфные
кристаллы Na-NH4 тартрата

104.

СПОСОБЫ РАСЩЕПЛЕНИЯ РАЦЕМАТОВ
Биохимический - основан на
использовании микроорганизмов,
способных потреблять одну из
энантиомерных форм
Penicillium glaucum
(+ - ) рацемат винной кислоты
используют
микроорганизмы
- винная кислота
+ винная кислота

105.

СПОСОБЫ РАСЩЕПЛЕНИЯ РАЦЕМАТОВ
Химический
Химический - энантиомеры переводят в
(+)-RCOOH
+ (-)-R'NH2
диастереомеры
с
последующим
их
(–)-RCOOH
хиральный
разделением
рацемат
реагент
-
(+)-RCOO NH3R'- (-) разделение
(-)-RCOO NH3R'- (-) кристаллизацией
смесь диастереомеров
-
(+)-RCOO NH3R'- (-)
(-)-RCOO NH3R'- (-)
разложение солей (+)-RCOOH
(-)-RCOOH
+ HCl
энантиомеры

106.

СПОСОБЫ РАСЩЕПЛЕНИЯ РАЦЕМАТОВ
ХИРАЛЬНАЯ ХРОМАТОГРАФИЯ
разделение рацемической смеси с помощью
оптически активных сорбентов

107.

ОСНОВЫ
КОНФОРМАЦИОННОГО АНАЛИЗА

108. КОНФОРМАЦИИ АЛИЦИКЛОВ

H
H
C
C
H
H
H H
H
C
H
H
C
H
H
H
Формулы Ньюмена
H
H
H
C
HH
HH
H
C
H
C
H
H
H
HH
H
H
заслоненная
взгляд
H
H
C
H
взгляд
H
H
H
H
H
заторможенная

109.

ПЕРСПЕКТИВНЫЕ ФОРМУЛЫ И ПРОЕКЦИИ
НЬЮМЕНА Н-БУТАНА (С2-С3)
заслоненная
(частично) заслоненная
скошенная, или гош,
(заторможенная) конформация
анти (заторможенная)
конформация

110.

ЭНЕРГЕТИЧЕСКАЯ ХАРАКТЕРИСТИКА
КОНФОРМАЦИЙ БУТАНА

111.

ХИРАЛЬНОСТЬ, ЭНАНТИОМЕРИЯ И
ДИАСТЕРЕОМЕРИЯ КОНФОРМАЦИЙ
CH 3
CH3
H
H
H
H
CH
H
CH3
H
зеркало
H
3
H
Хиральные скошенные конформации н-бутана
Данные конформации являются парой энантиомеров. Однако в
равновесной смеси конформеров содержатся в равных
количествах,быстро переходя друг в друга, поэтому бутан оптической
активностью не обладает.

112. Конформациии УВ цепей

анти бутановый
фрагмент
взгляд
зигзагообразная
нерегулярная
клешневидная
Конформации длинных цепей

113.

КОНФОРМАЦИИ НАСЫЩЕННЫХ
ВЫСШИХ ЖИРНЫХ КИСЛОТ
COOH
CH3
зигзагообразная конф ормация пальмитиновой кислоты

114. На устойчивость конформаций оказывают влияние торсионное, ван дер Ваальсово напряжение и др. факторы

водородная
связь
CH2
H2N
OH
CH2
OH ...
NH2
скошенная

115.

КОНФОРМАЦИИ ЦИКЛИЧЕСКИХ СИСТЕМ
1
2
1.циклопропан; 2.циклобутан;
4.циклогексан.
3
4
3.циклопентан;
В насыщенных карбоциклах атом С находиться в sp3гибридизованном состоянии и наиболее выгодный угол между
направлением связей соответствует нормальному валентному углу 109,5°.
Если угол между направлением связей в цикле существенного отличается от
этого значения, то возникает избыточное угловое или Байеровское
напряжение. Чем оно выше, тем напряженнее и неустойчивее становится
цикл.

116.

117.

КОНФОРМАЦИИ ЦИКЛОБУТАНА И ЦИКЛОПЕНТАНА
Складчатые конформации циклобутана
Конформации «конверта» и «твист» циклопентана

118.

КОНФОРМАЦИИ ЦИКЛОГЕКСАНА
«кресло»
«твист»
«ванна»
à
a
e
e
e
a
a
e
e
e
a
a
Взаимная ориентация заместителей относительно оси симметрии 3

119.

ЗНЕРГЕТИЧЕСКАЯ ХАРАКТЕРИСТИКА ПЕРЕХОДОВ
МЕЖДУ КОНФОРМАЦИЯМИ ЦИКЛОГЕКСАНА

120.

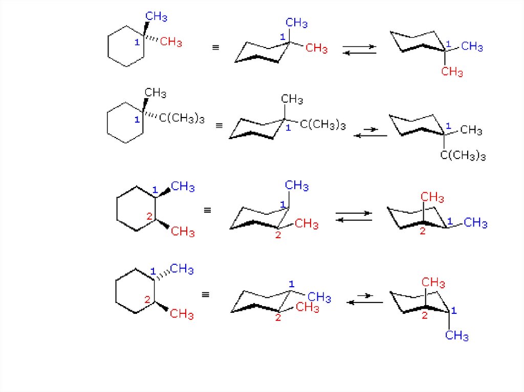
КОНФОРМАЦИОННЫЙ АНАЛИЗ
ЗАМЕЩЕННЫХ ЦИКЛОГЕКСАНОВ
экваториальный
аксиальный
CH3
H
H
H
H
H
H
H
H
H
H
ИНВЕРСИЯ
H
ЦИКЛА
H3C
H
H
H
H
H
H
H
H
H
H
H

121.

КОНФОРМАЦИОННЫЙ АНАЛИЗ
ЗАМЕЩЕННЫХ ЦИКЛОГЕКСАНОВ
экваториальный
аксиальный
CH3
H
H
H
H
H
H
H
H
H
H
ИНВЕРСИЯ
H
ЦИКЛА
H3C
H
H
H
H
H
H
H
H
H
H
H

122. СДВОЕННЫЕ ПРОЕКЦИИ НЬЮМЕНА ЦИКЛОГЕКСАНОЛА

1,3-диаксиальное взаимодействие
H
H
H
H
H
H
OH(a)
3
H
H
H
OH (e)
H
H
H
H
H
2
6
H
H
3
OH (e)
5
1
o
180
3
o OH (a)
60
2
4
1
5
6
циклогексанол
H
5
6
2
H
H
H 4
H
4
1
H

123.

КОНФОРМАЦИИ «КРЕСЛА»
МОНОЗАМЕЩЕННОГО ЦИКЛОГЕКСАНА
Более выгоден конформер с экваториальной ориентацией
заместителя

124.

КОНФОРМЕР «ВАННЫ» ЦИКЛОГЕКСАНА
Флагштоковые и аксиальные заместители
находятся в заслоненном положении (менее
выгоден).

125.

КОНФОРМЕРЫ
ДИМЕТИЛЦИКЛОГЕКСАНА

126.

127.

128.

КОНФОРМАЦИИ ИНОЗИТОЛОВ

129.

ДИАСТЕРЕОМЕРЫ ДЕКАЛИНОВОГО
(ФРАГМЕНТА ГОНАНА)
цис-декалин
транс-декалин
H
H
H
H
цис-декалин
транс-декалин

130.

КРЕСЛОВИДНЫЕ КОНФОРМАЦИИ
ТЕТРАГИДРОПИРАНОВОГО ЦИКЛА
1
4
O
5
5
O
2
1
3

3
4
1

4
2

131.

CH2OH
HOH2C
OH
O
O
HH
4
1
OH
C
C
4
1
OH
CH2OH
CH2OH
O
O
OH
4
1
C
1
C
4

132.

ОРИЕНТАЦИЯ ДИПОЛЕЙ В АНОМЕРНЫХ
ФОРМАХ
(α- и β-) D-ГЛЮКОПИРАНОЗЫ
OH
H
H
H
OH
O
H
HO
OH
H
H
OH
1
HO
H
H
H
OH
O
H
OH
OH
1
OH

133.

КОНЦЕПЦИЯ ТОПНЫХ ОТНОШЕНИЙ
ПРОХИРАЛЬНОСТЬ

134.

Молекулы в пространстве
VS
атомов (групп атомов) в молекуле
Диастереомеры
Tпл. 146°C
α = +112.2 ° · ml · dm−1 · g−1
Tпл. 150°C
α = +17.5 ° · ml · dm−1 · g−1
Энантиомеры
Tпл. 53 °C
Tпл. 53 °C
α = - 3,82 ° · ml · dm−1 · g−1
α = +3,82 ° · ml · dm−1 · g−1
Вещества у которых нет стереоизомеров

135.

136.

137.

H
H
O
H
HO
H O
NH2
O
O
+N
H
R
H
O H
R
R'
NH2
N
NAD+
R
H
NADH + H+
- + H+
+
NADH
O
NAD+
R
NADH
R'
= 2e + 2H+
NAD+
HO
+ H+
O
H+ +
O

138.

По степени отличия в молекуле выделяют
ГОМОТОПНЫЕ
ЭНАНТИОТОПНЫЕ
ДИАСТЕРЕОТОПНЫЕ
атомы, группы и стороны

139.

140.

Аналогично рассматривают прохиральные стороны

141.

Гомотопными называются атомы или группы атомов в молекуле,
которые переводятся друг в друга операцией симметрии группы
простых поворотных осей.
ГОМОТОПНЫЕ группы и стороны неразличимы.
Энантиотопными называются атомы или группы атомов в молекуле,
которые переводятся друг в друга операцией симметрии группы
простых зеркально поворотных осей
Диастеретотопными называются атомы или группы атомов в
молекуле, которые не переводятся друг в друга любыми операциями
симметрии

142.

Для идентификации характера топных отношений можно
использовать критерий простереогенности
ГОМОТОПНЫЕ
ГРУППЫ
ИДЕНТИЧНЫ

143.

Для идентификации характера топных отношений можно
использовать критерий простереогенности
ЭНАНТИОТОПНЫЕ
ГРУППЫ
ЭНАНТИОМЕРЫ

144.

Для идентификации характера топных отношений можно
использовать критерий простереогенности
ДИАСТЕРЕОТОПНЫЕ
ГРУППЫ
ДИАСТЕРЕОМЕРЫ

145.

МОЛЕКУЛЫ В ПРОСТРАНСТВЕ
(глобальная симметрия)
ГРУППЫ В МОЛЕКУЛЫ
(локальная симметрия)
Хиральные/ахиральные
Хиротопные/ахиротопные
Стереоизомерные/идентичные
Гетеротопные/гомотопные
Диастереомерные/Энантиомерные
Диастереотопные/Энантиотопные

146. СВЯЗЬ ПРОСТРАНСТВЕННОГО СТРОЕНИЯ СОЕДИНЕНИЙ С ИХ БИОЛОГИЧЕСКОЙ АКТИВНОСТЬЮ

В организме реакции протекают с участием
биокатализаторов – ферментов. Ферменты
построены из хиральных молекул α-Lаминокислот, поэтому они чувствительны к
хиральности взаимодействующих с ними
субстратов.
Хиральными молекулами являются также
углеводы, фосфолипиды, витамины,
гормоны, нуклеиновые кислоты.

147.

ТЕОРИЯ ФИШЕРА

148.

Теория индуцированного соответствия
Кошленда
А) модель Фишера «ключа и
замка»
Б) модель «руки и перчатки»
Кошленда

149.

Теория индуцированного соответствия
Кошленда
А) модель Фишера «ключа и
замка»
Б) модель «руки и перчатки»
Кошленда

150. Молекулярный докинг

Схематическая
диаграмма,
иллюстрирующая
докинг малой молекулы
лиганда (зелёная) с
белковым рецептором
(серая).

151. Взаимодействие лиганда с белком. Первое моделирование.

152.

153.

СТЕРЕСПЕЦИФИЧНОСТЬ ЛЕКАРСТВЕННЫХ
СРЕДСТВ
Наиболее активный энантиомер, обладающий сродством к
рецептору и вызывающий выраженный биологический зффект,
называется эутомером.
Неактивный или токсичный энантиомер, обладающий
меньшим сродством к рецептору, называется дистомером.
Показателем эффективности и стереоселективности действия
хирального лекарственного средства является :
Эудесмическое отношение представляющее собой отношение
Аффинитета эутомера /аффинитету дистомера
Аффинитет – сродство и прочность соединения между
лигандом (гормон, субстрат, антиген, лекарственное
средство) и объектом его действия (рецептор, фермент,
антитело и т.д.).

154. Алкалоиды группы изохинолинфенантрена (морфинана)

OR1
НОN
О
НО
морфин
O
N СНOR
3
2
R1,R2=H
R1=H,R2=CH3
R1,R2=CH3
R1,R2=Ac
м орф ин;
к од еин;
т ебаин;
г ероин;

155.

O
N
N
O
O
O
O
демерол (меперидин)
N
H
промедол
O
N
O
N
N
O
фентанил
O
корфентанил

156.

N
H3C
H 3C
N
морфинан
D-норморфинан
(активный)
(неактивный)
OH
геометрия комплекса
с антагонистом
H
геометрия
комплекса с
агонистом
CH3
H 3C
H
N
физиологический
отклик отсутствует
N
физиологический
отклик присутствует
OH

157.

HO
N
O
налоксон
OH
English     Русский Rules