Интегральное исчисление
ПервообрАзная и ее свойства
Первообразная и ее свойства
Неопределенный интеграл и его свойства
Основные свойства неопределенного интеграла
Таблица основных интегралов
Методы интегрирования. Непосредственное интегрирование
Методы интегрирования. Метод замены переменной
Методы интегрирования. Подведение под знак дифференциала
Методы интегрирования. Интегрирование по частям
Методы интегрирования. Интегрирование рациональных дробей
Методы разложения правильной рациональной дроби на сумму простейших дробей
Методы разложения правильной рациональной дроби на сумму простейших дробей
Пример
Пример
Методы разложения правильной рациональной дроби на сумму простейших дробей
Методы разложения правильной рациональной дроби на сумму простейших дробей
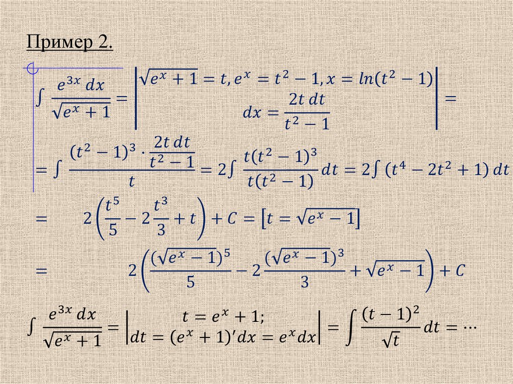
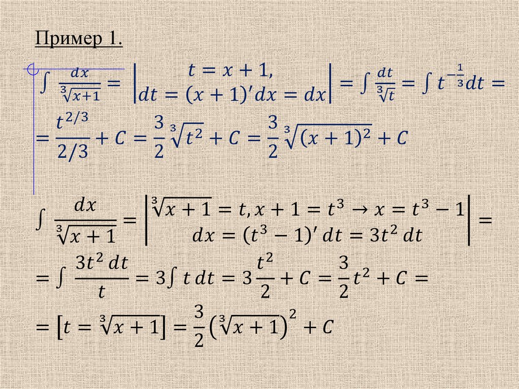
Интегрирование некоторых иррациональных функций
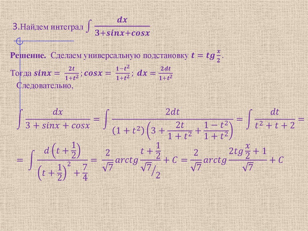
Интегрирование тригонометрических функций
Интегрирование тригонометрических функций
1.99M
Category: mathematicsmathematics

Интегральное исчисление

1. Интегральное исчисление

ПервообрАзная и ее свойства
Неопределённый интеграл и его основные свойства
Таблица основных интегралов
Методы интегрирования:
Непосредственное интегрирование
Метод замены переменной
Метод подведения под знак дифференциала
Интегрирование по частям
Интегрирование рациональных дробей
Интегрирование тригонометрических функций
Понятие о неберущихся интегралах

2. ПервообрАзная и ее свойства

Функция
English     Русский Rules