1. Сопротивление в цепи переменного тока
5. Работа и мощность переменного тока
1.11M
Category: physicsphysics

Электромагнитные колебания. Свободные колебания в электрическом контуре без активного сопротивления

1.

Электромагнитные колебания
1. Свободные колебания в электрическом
контуре без активного сопротивления
2. Свободные затухающие электрические
колебания
3. Вынужденные электрические колебания
4. Переменный ток
5. Работа и мощность переменного тока

2.

1. Свободные колебания в электрическом
контуре без активного сопротивления
Цепь, содержащая индуктивность (L) и ёмкость (С)
называется колебательным контуром.
Колебания в контуре можно вызвать либо зарядив
конденсатор, либо вызвав в индуктивности ток.
Т.к. R=0, то полная энергия контура E=const

3.

Если энергия конденсатора равна нулю (потенц. энергия), то
энергия магнитного поля максимальна (кинетич.) и наоборот...

4.

5.

Из сопоставления электрических и механических
колебаний следует, что:
энергия
электрического
поля
аналогична
потенциальной энергии упругой деформации
•энергия магнитного поля аналогична кинетической
энергии;
• Индуктивность L играет роль массы m
• 1/С – роль коэффициента жесткости k
• Заряду q соответствует смещение маятника х
• Силе тока I ~ скорость υ
• Напряжению U ~ ускорение а

6.

7.

В соответствии с
сохранения энергии)
законом
Кирхгофа

законом
dq L dI ,
I
, i
dt
dt
q
dI
R=0
L
C
dt
2
d q 1
q 0
2
dt
LC
Дифференциальное
колебаний:
2
dq
2
ω0 q 0,
2
dt
уравнение
ω0
электромагнитных
1
LC
Собственная
частота
контура
Решение уравнения - гармоническая функция:
q qm cos( ω0t φ)

8.

q qm cos( ω0t φ)
Свободные э/м колебания
https://www.youtube.com/watch?v=E8HwyQMKycc&list=PL05B9E2
A8DC2A710F&index=4
Таким образом, заряд на обкладке конденсатора
изменяется по гармоническому закону с частотой
ω0 – собственная частота контура.
Период колебаний определяется по формуле Томсона:
1 2π
T
2π LC
ν ω0
T 2π LC

9.

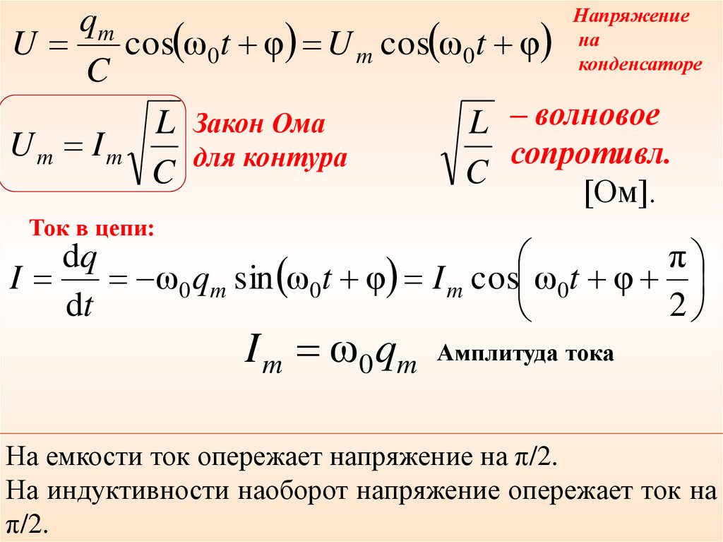
Напряжение
qm
U
cos ω 0t φ U m cos ω 0t φ на
конденсаторе
C
L Закон Ома
L – волновое
Um Im
сопротивл.
для контура
C
C
[Ом].
Ток в цепи:
dq
π
I
ω0 qm sin ω0t φ I m cos ω0t φ
dt
2
I m ω0 qm Амплитуда тока
На емкости ток опережает напряжение на π/2.
На индуктивности наоборот напряжение опережает ток на
π/2.

10.

Сложение колебаний. Биения
Пусть точка одновременно участвует в двух гармонических
колебаниях одинакового периода, направленных вдоль одной
прямой.
q1 A1 cos( 0t 1 )
q2 A2 cos( 0t 2 )
Такие
два
колебания
называются когерентными,
их разность фаз не зависит от
времени:
2 1 const

11.

A A1 A 2
A2 A12 A22 2 A1 A2 cos( 2 1 )
A1 sin 1 A2 sin 2
tg
A1 cos 1 A2 cos 2
Амплитуда А результирующего колебания зависит от разности
начальных фаз

12.

1. Разность фаз равна нулю или четному числу π, то есть
n 0, 1, 2, 3, ...
2 1 2 n
cos( 2 1 ) 1
A A1 A2
колебания синфазны
2. Разность фаз равна нечетному числу π, то есть
2 1 (2n 1) , где n 0, 1, 2, 3, ...
cos( 2 1 ) 1
колебания в противофазе
A A2 A1

13.

3. Разность фаз изменяется во времени произвольным образом
q1 A1 cos[ 1t 1 (t )]
q2 A2 cos 2t 2 (t )
Это некогерентные колебания
Здесь интересен случай, называемый биениями, когда частоты близки
1 2
Периодические изменения амплитуды колебания, возникающие при
сложении двух гармонических колебаний с близкими частотами,
называются биениями.
q Qб cos 0t
биения
https://www.youtube.com/watch?v=-sjLkrjJkxU&list=PLC16C189B21D0F649&index=2
https://www.youtube.com/watch?v=EnFerU0eiWo&list=PLC16C189B21D0F649&index=4

14.

Любые сложные периодические колебания можно
представить в виде суперпозиции одновременно
совершающихся гармонических колебаний с различными
амплитудами, начальными фазами, а также частотами
кратными циклической частоте ω:
A0
S (t ) f (t )
A1 cos( 1 )
2
A2 cos(2 t 2 ) ... An cos(m t n )
Слагаемые ряда Фурье, определяющие гармонические
колебания с частотами ω, 2ω, 3ω, ..., называются первой
(или основной), второй, третьей и т.д. гармониками
сложного периодического колебания.

15.

Сложение взаимно перпендикулярных колебаний
x A1 cos( 0t 1 )
1 2
y A2 cos( 0 t 2 )
2 1
y 2 x 2 2 xy
2
2
cos( 2 1 ) sin ( 2 1 )
2
A2 A1 A1 A2
В результате получили уравнение
эллипса с произвольно
расположенными осями

16.

Фигуры Лиссажу
1. Начальные фазы колебаний одинаковы 1 2 ,
A2
y
x
A1
A
A12 A22
2. Начальная разность фаз равна π. cos 1
A2
y
x
A1
A
A12 A22
3. Начальная разность фаз равна π/2.
2
cos / 2 0
2
x
y
2 1
2
A1 A2
– это уравнение эллипса с полуосями А1 и А2
A A – получим уравнение окружности
1
2
https://www.youtube.com/watch?v=hUu653khUlE&list=PLC16C189B21D0F649&index=6

17.

4. Все остальные разности фаз дают эллипсы с различным
углом наклона относительно осей координат.
Фигуры, получаемые при сложении взаимно перпендикулярных колебаний
разных частот, называются фигурами Лиссажу.
Фигуры Лиссажу
1 2

18.

2. Свободные затухающие электрические колебания
Всякий
реальный
контур
обладает
активным
сопротивлением R. Энергия, запасенная в контуре,
постепенно расходуется в этом сопротивлении на
нагревание, вследствие чего колебания затухают.

19.

По второму закону Кирхгофа
q
dI
IR L
c
dt
Уравнение свободных
затухающих колебаний в
контуре R,L и C
2
dq
dq
2
2
β
ω
0q 0
2
dt
dt
решение этого уравнения имеет вид:
q q0 e
βt
cos( ωt φ),
β R / 2 L, - коэффициент затухания
1
ω0
- собственная частота контура
LC
2
Частота
1
R
2
2
ω ω 0 β или ω
затухающих
2
LC 4 L
колебаний

20.

Вид затухающих колебаний заряда q и тока I:
q q0e βt cos( ωt φ)
Колебаниям q соответствует x – смещение маятника из
положения равновесия, силе тока I – скорость υ.
•https://www.youtube.com/watch?v=dmeyXD5zIjU&list=PL9F96E1E5307658DB&index=3

21.

A(t )
βT
е
Декремент затухания
A(t T )
Логарифмический декремент
A(t )
χ ln
βT затухания
A(t T )
Фазовая кривая
https://www.youtube.com/watch?v=q6WFu6NF9cs&list=PL9F96E1E5307658DB&index=4

22.

Т.к. коэффициент затухания
Период затухающих колебаний
Тогда
πR
χ βT

R
β
2L

T
;
ω
R, L, ω – определяются параметрами контура,
следовательно, и χ является характеристикой контура.
2
2
Если затухание невелико
β ω 0
ω ω0
1
,
LC
C
χ πR
L
22

23.

Добротность колебательного контура Q
определяется как величина обратно
пропорциональная χ (Чем меньше
затухание, тем выше добротность)
1
π
Q
χ
Время затухания – время за которое амплитуда
колебаний уменьшается в е раз
1
Ne
T T
Число колебаний совершаемых
за время затухания
1
χ

то
Q πN е
W W – энергия контура в данный момент,
ΔW – убыль энергии за один период, следующий
Q 2π
ΔW за этим моментом

24.

При
β
2
2
ω0 ,
т.е. при
(Т ):
R / 4 L 1 / LC
2
2
Колебаний не будет
q
0
t
апериодический разряд
Сопротивление контура, при котором колебательный
процесс переходит в апериодический, называется
критическим сопротивлением:
2
Rk
2
4L
1
LC
Критическое
L
Rk 2
2 Rволн сопротивление
C
24

25.

3. Вынужденные электрические колебания
К контуру, изображенному на рис. подадим переменное
напряжение U : U U m cos ωt
2
dq
dq
Um
2
2
β
ω
q
cos
ω
t
0
2
dt
L
dt
уравнение вынужденных электрических колебаний
совпадает с вынужденными механическими колебаниями.

26.

Это уравнение совпадает с дифференциальным
уравнением механических колебаний.
Решение уравнения при больших t:
d 2q
dq
Um
2
2β ω0 q
cosωt
2
dt
L
dt
A
2
F0
d x
dx
2
2
0 x cos t.
2
dt
dt
m
F0
m ( 02 2 ) 2 4 2 2
q qm cos( ωt φ)
Здесь амплитуда колебаний заряда:
2
1
2
2
qm U m / ω R ωL
U
/
ω
R
(
R
R
)
m
L
C
ωC
2

27.

1
Z R ωL
ωC
2
2
1
X RL RC ωL
ωC
полное
сопротивление цепи
(импеданс)
– реактивное
сопротивление
R – активное сопротивление отвечает за потерю
мощности в цепи.
X – реактивное сопротивление, определяет величину
энергии пульсирующей в цепи с частотой 2ω.

28.

Резонанс напряжений (последовательный резонанс)
При последовательном
соединении R, L, С, при
1
ωL
ωC
наблюдается резонанс.
ωрез
Тогда
2
2
ω0 2β
Угол сдвига фаз между током и
напряжением обращается в нуль
(φ = 0)
Z R
U U R , а UC и UL одинаковы по амплитуде
и противоположны по фазе. Такой вид резонанса называется
резонансом напряжения или последовательным резонансом.

29.

L
1 L
U L рез U C рез
Im
U m QU m
C
R C
Таким образом, при последовательном резонансе, на
ёмкости можно получить напряжение с амплитудой
QU U
в узком диапазоне частот.
Этот эффект широко используется в различных
усилительных устройствах.

30.

Резонанс токов (параллельный резонанс).
В цепях переменного тока содержащих параллельно
включенные ёмкость и индуктивность наблюдается другой
тип резонанса:
I1 I m1 cos( ωt φ1 )
I2=Im2 cos(ωt - φ2)
ω ωрез
1
LC
φ1 φ 2 π
Im 0
I mL

31.

При R = 0, L = 0:
Um
I m1
1 / ωC
I1 I m1 cos( ωt φ1 )
tg φ1 = - ∞ т.к. φ1 = (2n +3/2 )π,
где n = 1,2,3….
При R =0, C =∞: I2=Im2 cos(ωt - φ2)
Im2 = U /ωL
tg φ2 = +∞ , т.е.
φ1 φ 2 π
φ2= (2n + 1/2 ) π
где n = 1,2,3…..

32.

Таким образом разность фаз в ветвях цепи
φ1 φ 2 π
т.е. токи противоположны по фазе
1
I m I m1 I m 2 U m ωC
ωL
1
Если ω ω рез
то
LC
Im 0
I m1 I m 2
Ёмкость конденсатора можно подобрать так, что в
результате резонанса ток в подводящих цепях резко
уменьшается, зато ток через индуктивность возрастёт

33.

ω ω рез
1
LC
Явление уменьшения амплитуды тока во внешней цепи
и резкого увеличения тока в катушке индуктивности, при
приближении частоты приложенного напряжения ω к ωрез
называется резонансом токов, или параллельным
резонансом
(Используется в резонансных усилителях, приемниках,
а также в индукционных печах для разогрева металла).

34.

4. Переменный ток
При
рассмотрении
электрических
колебаний
приходится иметь дело с токами, изменяющимися во
времени – переменными токами:
I = I0 sin( t + )
Закон Ома и вытекающие из него правила Кирхгофа
были установлены для постоянного тока. Однако они
остаются справедливыми и для мгновенных значений
изменяющегося тока.

35.

Электромагнитные сигналы распространяются по цепи со
скоростью света с.
• Пусть l – длина электрической цепи.
• Время распространения сигнала в данной цепи
t l / c.
• Если t T то такие токи называются
квазистационарными (Т – период колебаний тока).
• При этом условии мгновенное значение силы тока во
всех участках цепи будет постоянным.
• Для частоты 50Гц условие квазистационарности будет
выполняться при длине цепи ~ 100 км

36. 1. Сопротивление в цепи переменного тока

Ток в цепи I = I0 sin t ;
По закону Ома:
U = IR = I0 R sin t - напряжение
изменяется синфазно с током;
U0 = I0 R - амплитуда напряжения.
С, L
пренебрежимо малы
Векторная диаграмма напряжения на сопротивлении:

37.

2. Емкость в цепи переменного тока
R 0, L 0
Ток в цепи:
I = I0 sin t,
dq
I
dt
По определению
Заряд конденсатора:
q
I0
cos t
I0
I0
q
U
cos t
sin t
C
C
C
2
1
RC
C
- кажущееся
сопротивление
емкости
Напряжение отстает по фазе от тока
на π/2
I 0 -амплитуда
U0
C
напряжения

38.

3. Индуктивность в цепи переменного тока
Рассмотрим цепь с R 0
при наличии переменного тока в катушке
возникает ЭДС самоиндукции: L dI
C
dt
По закону Ома для участка цепи с ЭДС:
U = IR – εC = - εC
RL L
- кажущееся
сопротивление
индуктивности
dI
π
U L LI0ω sin ωt
dt
2
Напряжение опережает по фазе ток на π/2
U 0 I 0 L -амплитуда напряжения

39.

4. Закон Ома для переменного тока
Напряжение при
последовательном
соединении R, L, C :
U U U R UC U L
1 - реактивная
Сумма U 0C U 0 L U p I 0 L
составляющая
C напряжения
U0R Ua I0 R
- активная составляющая
напряжения

40.

Результирующее
колебание:
l
L
U = U0 sin ( t + )
Фаза:
1
U p L C
tg
Ua
R
Амплитуда напряжения: U 0 I 0
1
R L
C
2
2
- закон Ома для переменного тока

41.

Полное сопротивление цепи:
U0
1
2
Rполн
R L
I0
C
2
R – активное (омическое) сопротивление
1
Х = L
C
- реактивное сопротивление
R – активное сопротивление отвечает за потерю
мощности в цепи.
X – реактивное сопротивление, определяет величину
энергии пульсирующей в цепи с частотой 2ω.

42.

Элементы цепи и соответствующие им импедансы:
Импеданс соединений:
Z Z k - последовательного
k
1
1
- параллельного
Z
k Zk
Закон Ома в
комплексной форме
I
Z
1
R i L
C

43. 5. Работа и мощность переменного тока

1. При наличии только активного сопротивления:
(вся работа переходит в тепло):
Напряжение на концах участка цепи: U = U0 sin t
Переменный ток в цепи: I = I0 sin t
Мгновенное значение мощности: Pt = IU = I0 U0 sin2 t

44.

Работа переменного тока за dt:
A = Pt dt = Im Um sin2 t dt
Работа переменного тока за период Т:
1
А I mU mT
2
1
Cредняя мощность P I mU m или
2
1 2
P RIm
2
Действующие (или эффективные) значения тока и
напряжения:
Im
I
2
Um
U
2

45.

При наличии реактивного сопротивления
- колебания
мгновенной
мощности с
переменой знака
(средняя мощность
уменьшается)
1
Работа переменного тока за период Т: А I mU mTcos φ
2
АТ 1
Cредняя мощность: P
I mU mcosφ
Т 2
сos - коэффициент мощности.
При сos = 0 Р = 0
English     Русский Rules