Реакции бензольного кольца:
4.87M
Category: chemistrychemistry

Азотсодержащие соединения

1.

2.

3.

4.

5.

6.

7.

8.

9.

10.

11.

12.

13.

14.

Третичные алифатические амины из-за отсутствия связи N–H
не реагируют с азотистой кислотой.

15.

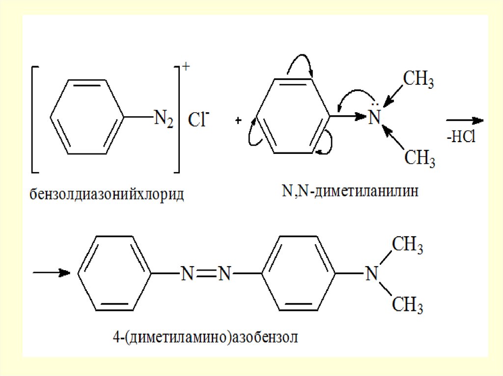
16. Реакции бензольного кольца:

• Выпадает белый осадок
2,4,6-триброманилин.
• Это качественная
реакция на анилин
• Для получения
монозамещенных
галогенируют
ацильные
производные:

17.

R
N
N
R

18.

Ароматические
диазосоединения

19.

20.

21.

22.

+ CH3CH2OH
+
[Ar N N]Cl
to
Ar H + N2 + HCl + CH3CH=O
Ar OCH2CH3 + N2 + HCl
English     Русский Rules