331.79K
Category: mathematicsmathematics

Решение задач и неравенств

1.

Решение:
Найдем площади участков.
S квадрата = а2
S прямоугольника = а + 3 а − 3 = а2 − 9.
Сравним результаты а2 > а2 − 9,
значит, выгоднее купить участок квадратной формы.

2.

а ) х х 4 х 3 х 1
х 2 4 х х 2 х 3х 3
4 х х 3х 3
0 3 неверное неравенство
Ответ : нет решений
а) х 2 4 х х 2
2
х2 4х х2 4х 4
0 4 верное неравенство
Ответ : х любое число

3.

у 2 х2 2х 1 х2 2х 1
3 х2 1 2 2х2 4х 2
х 2 2 х 1 3х 2 3 2
2 х 4
у 2 х 4 линейная функция
х
у
0
4
1
2

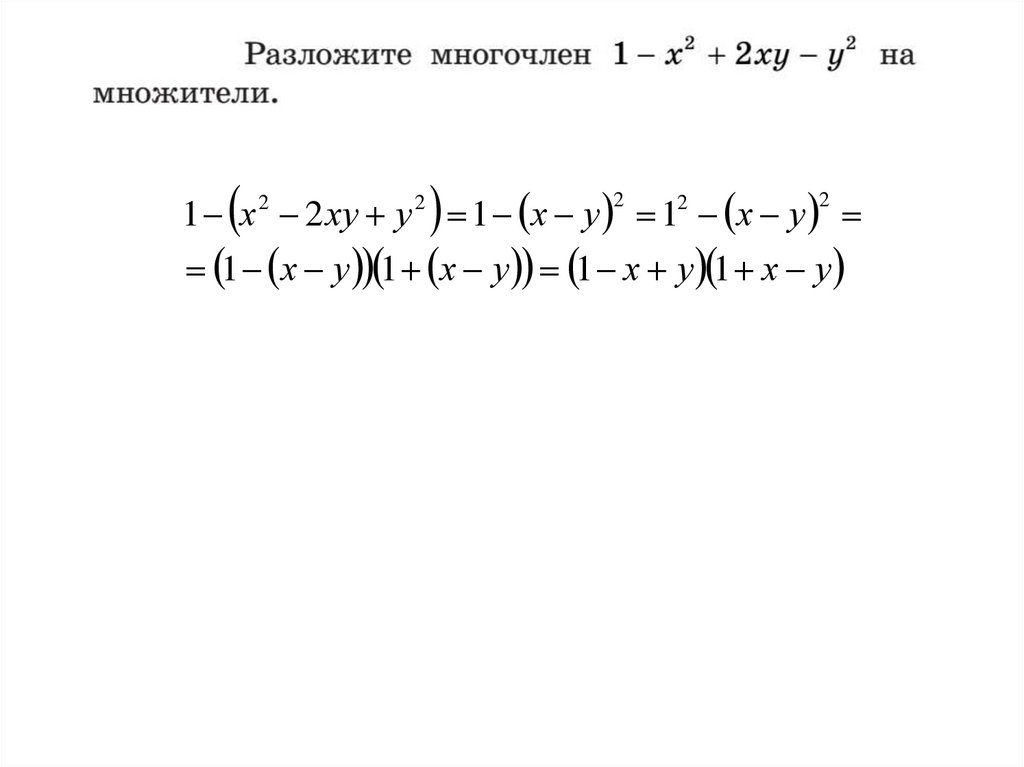
4.

1 х 2 2 ху у 2 1 х у 12 х у
2
2
1 х у 1 х у 1 х у 1 х у

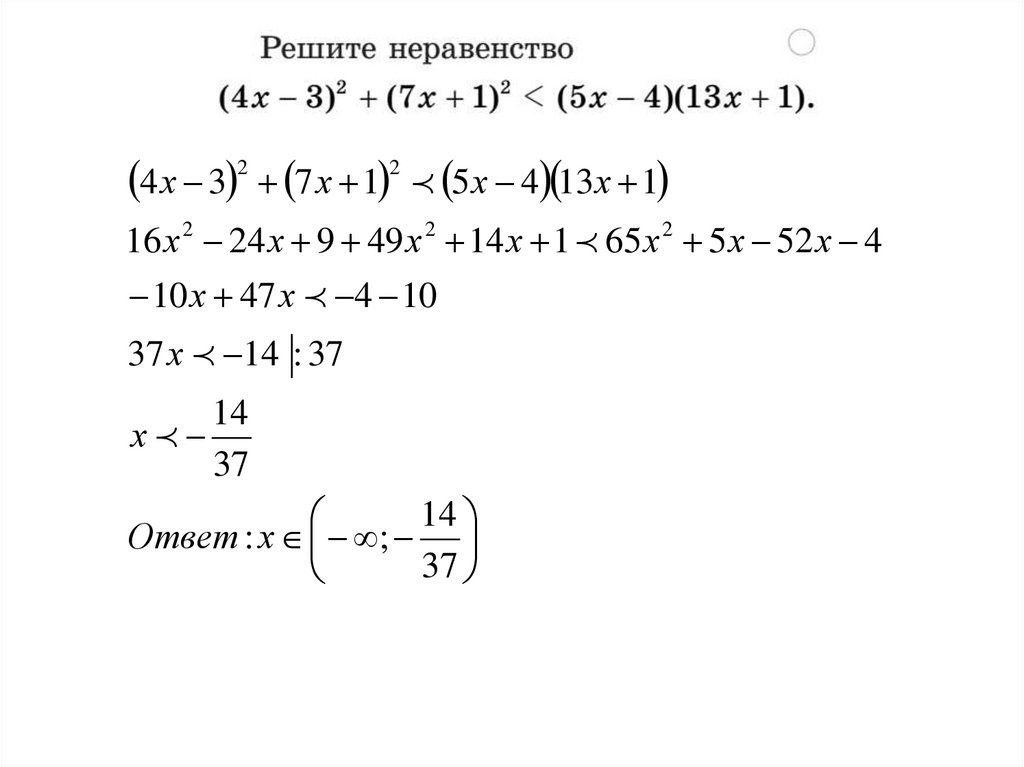
5.

4 х 3 7 х 1
2
2
5 х 4 13 х 1
16 х 2 24 х 9 49 х 2 14 х 1 65 х 2 5 х 52 х 4
10 х 47 х 4 10
37 х 14 : 37
14
х
37
14
Ответ : х ;
37

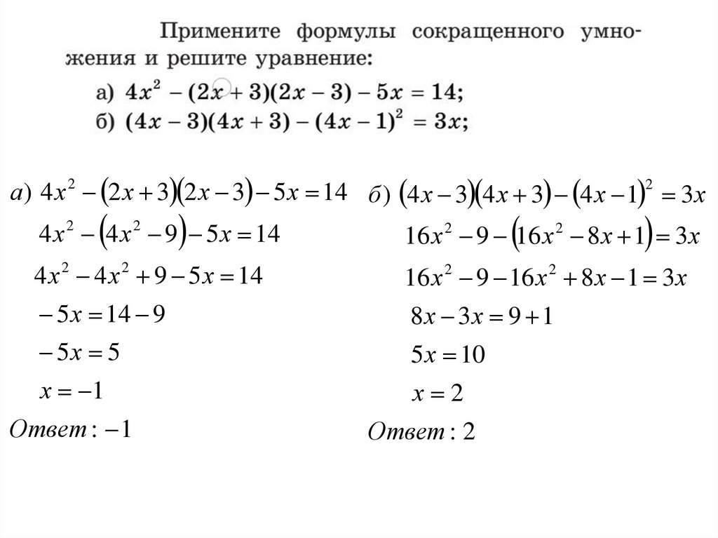
6.

а ) 4 х 2 2 х 3 2 х 3 5 х 14 б ) 4 х 3 4 х 3 4 х 1 2 3 х
4 х 2 4 х 2 9 5 х 14
16 х 2 9 16 х 2 8 х 1 3 х
4 х 2 4 х 2 9 5 х 14
16 х 2 9 16 х 2 8 х 1 3 х
5 х 14 9
8 х 3х 9 1
5х 5
5 х 10
х 1
х 2
Ответ : 1
Ответ : 2

7.

а ) х 2 х 5 х 5 10 х
б ) х 5 х х х 4 1
2
х 2 х 2 25 10 х
х 2 10 х 25 х х 2 4 х 1
х 2 х 2 25 10 х
9 х 4 х 1 25
10 х 25
13 х 26
х 2,5
х 1
Ответ : х 2,5;
Ответ : х 1;

8.

а ) a 2 b 2 4b 4a a 2 b 2 4b 4a a b a b 4 b a
a b a b 4
б ) 2 x 2 y x 2 2 xy y 2 2 x 2 y x 2 2 xy y 2 2 x y x y
x y 2 x y x y 2 x y
2
English     Русский Rules