739.00K
Category: mathematicsmathematics

Неопределенный интеграл

1.

Лекция N14
Лектор: доц. Лаптева Надежда Александровна
Тема: Неопределенный интеграл

2.

Ранее мы по данной функции
вычисляли ее производную. Сегодня
мы поставим обратную задачу: для
данной функции f ( x) найти такую
функцию F ( x), производная
которой равнялась бы заданной
функции f ( x), т.е.
F ( x) f ( x).

3.

Определение. Функция F ( x)
называется первообразной
функции f ( x), если
F ( x) f ( x).
Примеры.
(sin x) cos x F1 ( x) sin x;
(sin x 1) cos x F2 ( x) sin x 1;

4.

Таким образом, F ( x) C - это
совокупность всех первообразных от
данной функции.
Определение 2. Пусть F ( x) - одна
из первообразных для функции f ( x).
Тогда выражение F ( x) C , где C произвольная постоянная,
называется неопределенным
интегралом и обозначается
f ( x) dx.

5.

Здесь f ( x) называется
подынтегральной функцией, а f ( x) dx
- подынтегральным выражением.
Свойства
1) d
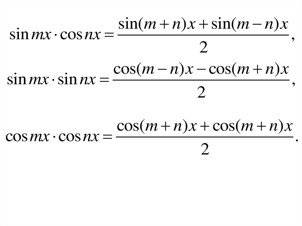
2)
f ( x) dx f ( x) dx
dF
(
x
)
F
(
x
)
C

6.

3)
f
(
x
)
(
x
)
dx
f ( x) dx ( x) dx
4)
kf
(
x
)
dx
k
f
(
x
)
dx

7.

Таблица основных интегралов
n 1
x
1) x dx
C, n 1
n 1
2) dx x C
dx
3) ln x C
x
n

8.

Таблица основных интегралов
x
a
4) a dx
C
ln a
x
x
5) e dx e C
x

9.

Таблица основных интегралов
6)
sin
x
dx
cos
x
C
7)
cos
x
dx
sin
x
C

10.

Таблица основных интегралов
dx
8)
tg x C
2
cos x
dx
9) 2 ctg x C
sin x

11.

Таблица основных интегралов
dx
1
x
10) 2
arctg C
2
a x a
a
dx
x
11)
arcsin C
2
2
a
a x
dx
2
2
12)
ln x x a C
2
2
x a

12.

Докажем справедливость формулы 3)
dx
ln
x
C
x
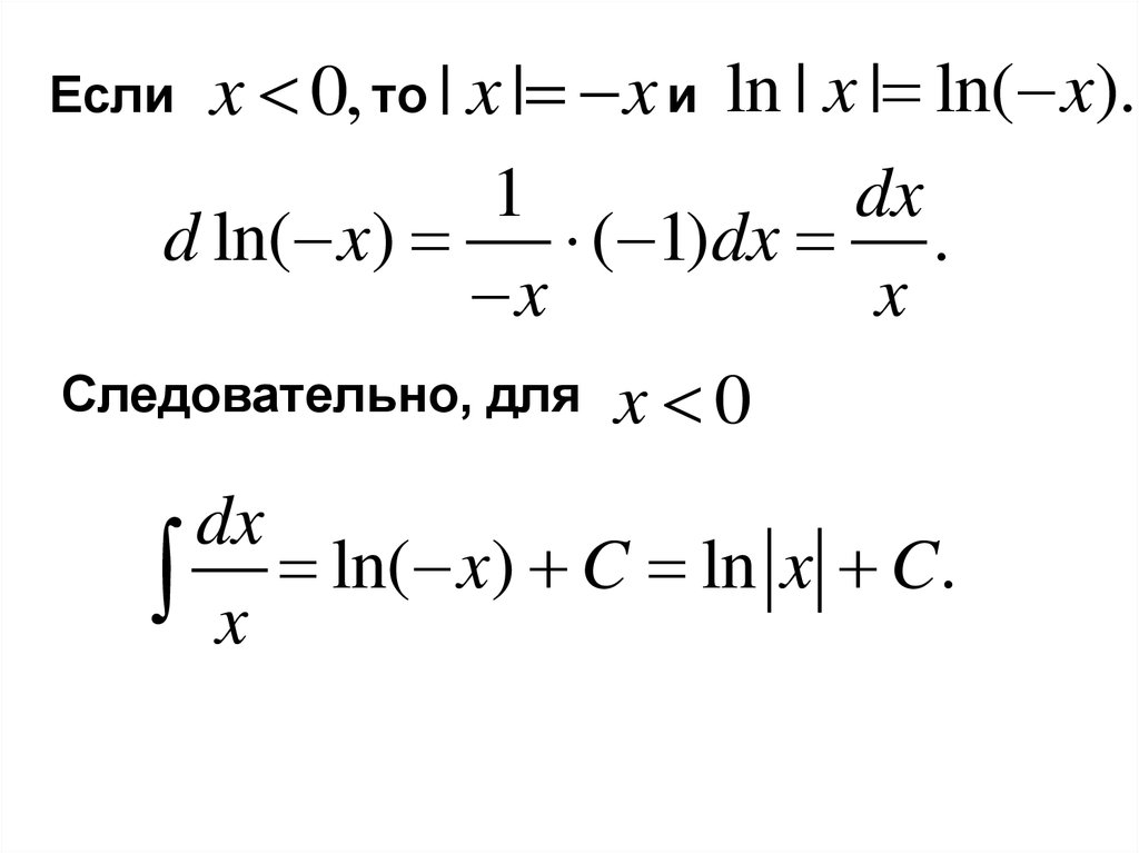
Если x 0, то | x | x и ln | x | ln x.
dx
d (ln x) . Следовательно, для x 0
x
dx
ln
x
C
ln
x
C
.
x

13.

x 0, то | x | x и ln | x | ln( x).
1
dx
d ln( x)
( 1)dx .
x
x
Следовательно, для x 0
Если
dx
ln(
x
)
C
ln
x
C
.
x

14.

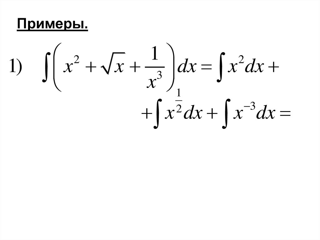
Примеры.
1
2
2
1) x x 3 dx x dx
x 1
3
2
x dx x dx

15.

3
1
1
2
3 1
x
x
x
C
3 1 1 3 1
2
3
3
2
x 2 2 x
x
C
3 3
2
3
x 2
1
x x 2 C.
3 3
2x

16.

x 1
2)
dx
x
x 1
1
dx 1 dx
x
x x
dx
dx x ln | x | C.
x

17.

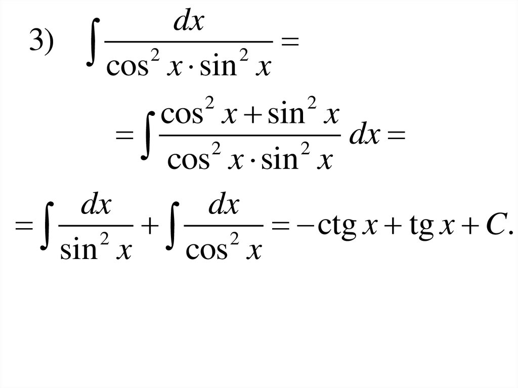
dx
3)
2
2
cos x sin x
2
2
cos x sin x
dx
2
2
cos x sin x
dx
dx
2
ctg x tg x C.
2
sin x
cos x

18.

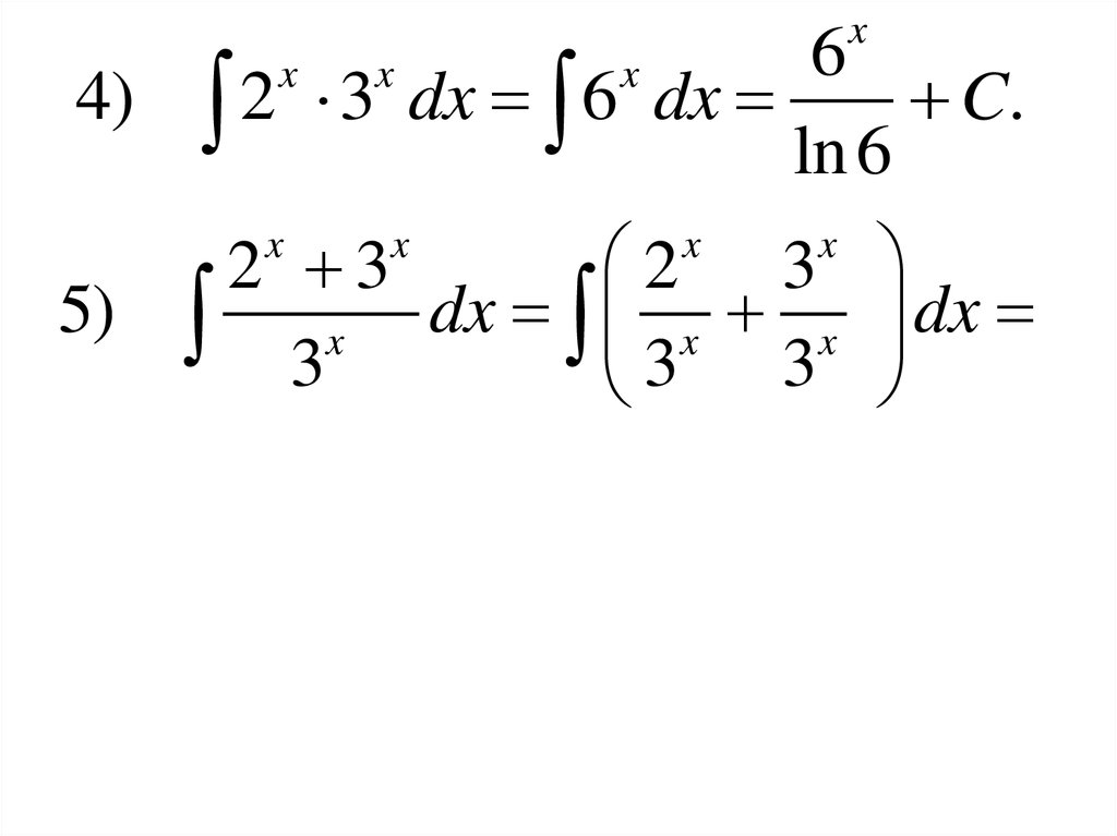
x
6
4) 2 3 dx 6 dx
C.
ln 6
x
x
x
2 3
2 3
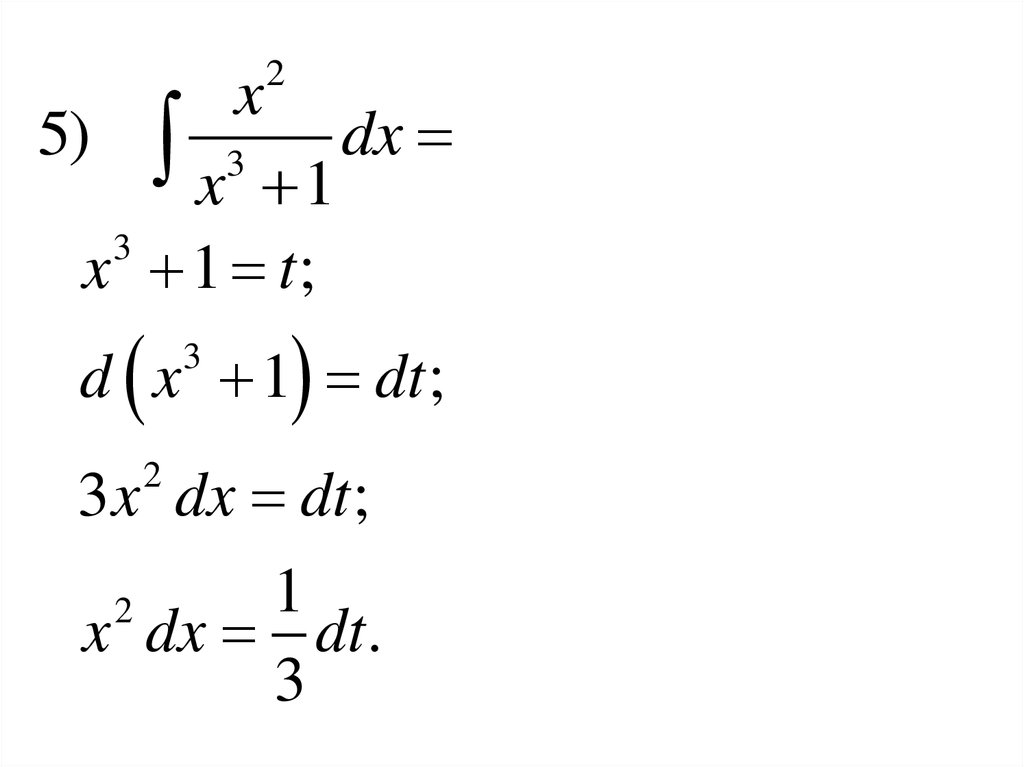
5)
dx
dx
x
x
x
3
3 3
x
x
x
x

19.

2
2
1 dx dx dx
3
3
x
2
3
x C.
2
ln
3
x
x

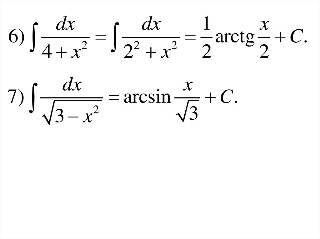
20.

dx
dx
1
x
6)
2
arctg C.
2
2
4 x
2 x
2
2
7)
dx
x
arcsin
C.
2
3
3 x

21.

x
x x 1
x 1
8)
dx 2 2 2 dx
2
x
x
x
x
3
2
dx
2
x dx x dx
x

22.

x
1
2
1
x
ln | x |
C
1 1
2
2 1
ln | x |
C.
x x

23.

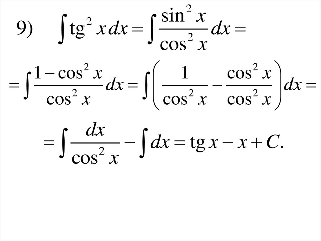
2
9)
sin x
tg
x
dx
dx
cos2 x
2
1
1 cos x
cos x
dx
dx
2
2
2
cos x
cos x cos x
2
2
dx
dx
tg
x
x
C
.
2
cos x

24.

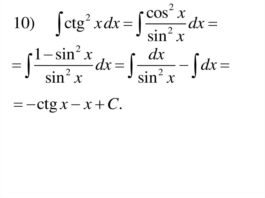
2
cos x
10) ctg x dx 2 dx
sin x
2
1 sin x
dx
dx
dx
2
2
sin x
sin x
2
ctg x x C.

25.

Теорема. Любая непрерывная на
отрезке функция имеет на этом
отрезке первообразную.
Действие отыскания неопределенного
интеграла или, что то же самое,
нахождение всех первообразных от
данной функции, называется
интегрированием этой функции.
Дифференцирование и интегрирование
являются взаимно обратными
операциями.

26.

Геометрический смысл
неопределенного интеграла
Назовем график первообразной
функции от f ( x) интегральной кривой.
F ( x) f ( x),
y F ( x) есть
Таким образом, если
то график функции
интегральная кривая.

27.

Неопределенный интеграл
геометрически представляется
семейством всех интегральных кривых
y
0
y F ( x) C2
y F ( x) C1
y F ( x)
x

28.

Пример.
2
x
dx
x
C
.
2
Построить интегральные кривые.
Пусть
C 0;
y x .
y
2
C 1;
y x 1.
C 2;
y x 2.
2
2
2
1
0
x

29.

Интегралы, не берущиеся в
элементарных функциях
В дифференциальном исчислении
производная от любой элементарной
функции есть функция элементарная.
Другое дело операция, обратная
дифференцированию, – интегрирование.

30.

Можно привести примеры элементарных
функций, первообразные от которых хотя
и существуют, но не являются
элементарными функциями. Так,
например, по теореме существования для
функций
e
x2
sin x cos x 1
,
,
,
x
x ln x
существуют первообразные, но они не
выражаются в элементарных функциях.

31.

Несмотря на это, все эти первообразные
хорошо изучены и для них составлены
таблицы, помогающие практически
использовать эти функции.
Так, например, большое значение в
приложениях играет первообразная
от функции
1
e
2
x2
2
( x)
,
удовлетворяющая дополнительному
условию ( x) 0.

32.

Эта функция встречается в теории
вероятностей и называется интегралом
вероятностей.
Если первообразная для некоторой
функции не является элементарной
функцией, то говорят, что интеграл не
берется в элементарных функциях.

33.

Тема: Замена переменной в
неопределенном интеграле

34.

Введем вместо x новую
переменную t , связанную с
соотношением x (t ).
x
Тогда
f ( x) dx f (t ) (t ) dt.

35.

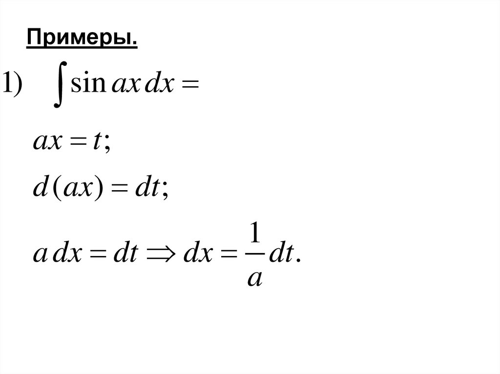
Примеры.
1)
sin
ax
dx
ax t ;
d (ax) dt ;
1
a dx dt dx dt .
a

36.

dt 1
sin t sin t dt
a a
1
1
cos t C cos ax C.
a
a

37.

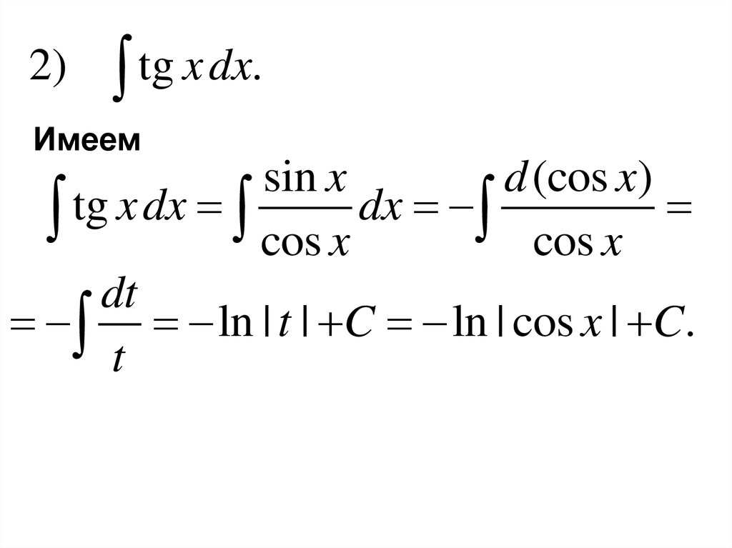
2)
tg
x
dx
.
Имеем
sin x
d (cos x)
tg
x
dx
dx
cos x
cos x
dt
ln | t | C ln | cos x | C.
t

38.

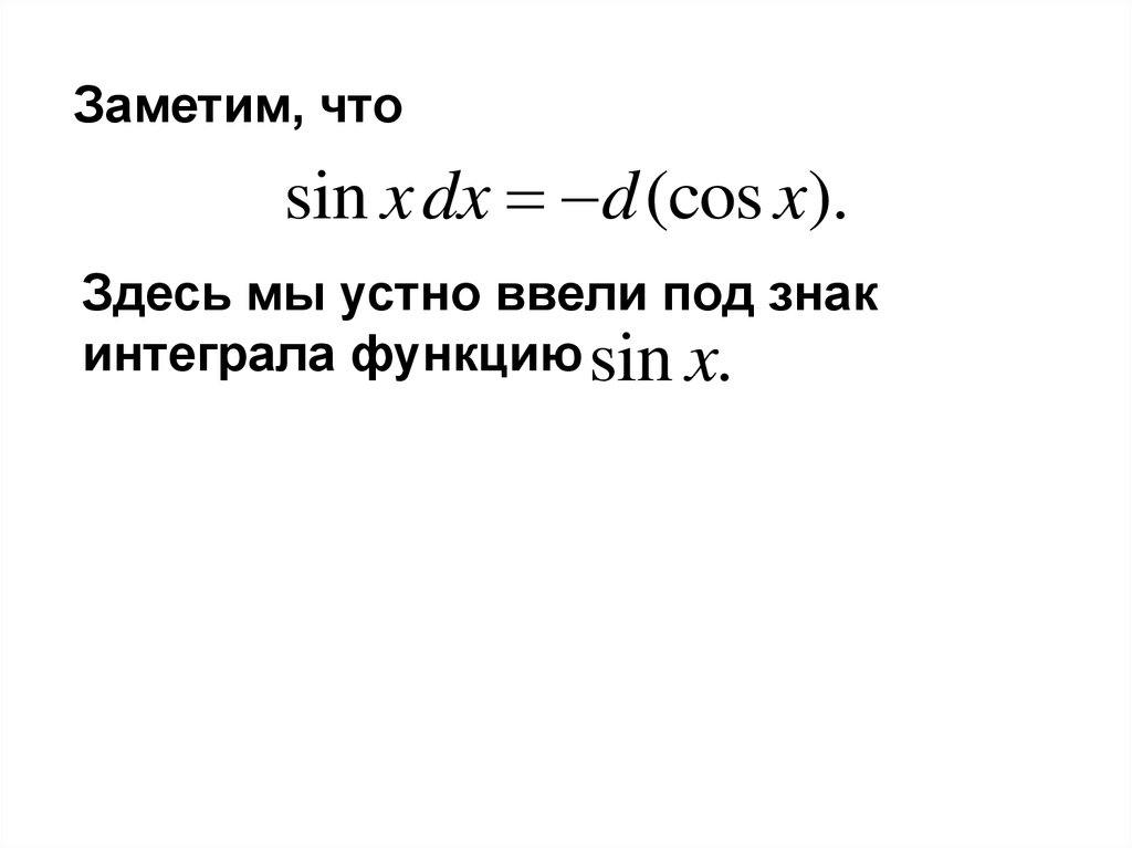
Заметим, что
sin x dx d (cos x).
Здесь мы устно ввели под знак
интеграла функцию sin x.

39.

3)
x
1
x
dx
.
2
1
2
Замечая, что x dx d x 1 ,
2
получаем
1
1
2
2 2
2
x
1
x
dx
1
x
d
x
1
.
2
3
3
2
2
2
2
x 1
1 x 1
C
C.
3
2
3
2

40.

4)
Интегралы вида
sin
mx
sin
nx
dx
,
sin
mx
cos
nx
dx
,
cos
mx
cos
nx
dx
.
Эти интегралы вычисляются
методом разложения на основании
тригонометрических тождеств.

41.

sin(m n) x sin(m n) x
sin mx cos nx
,
2
cos(m n) x cos(m n) x
sin mx sin nx
,
2
cos(m n) x cos(m n) x
cos mx cos nx
.
2

42.

2
x
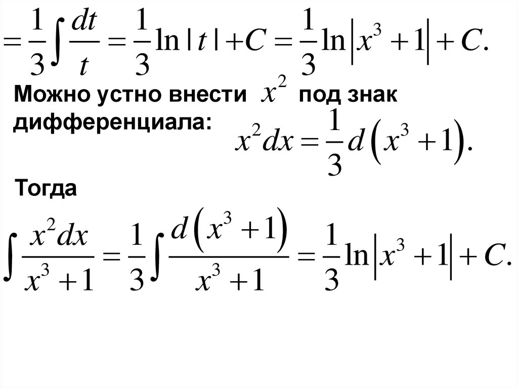
5) 3 dx
x 1
3
x 1 t;
d x 1 dt ;
3
3 x dx dt ;
2
1
x dx dt.
3
2

43.

1 dt 1
1
3
ln | t | C ln x 1 C.
3 t 3
3
2
Можно устно внести x под знак
дифференциала:
1
2
3
x dx d x 1 .
3
Тогда
x dx 1 d x 1 1
3
ln
x
1
C
.
3
3
x 1 3 x 1 3
2
3

44.

6)
sin
x
cos
x
dx
.
Рассмотрим три способа.
sin x cos x dx sin x d (sin x)
2
sin x
C.
2
sin x cos x dx cos x d (cos x)
2
cos x
C.
2

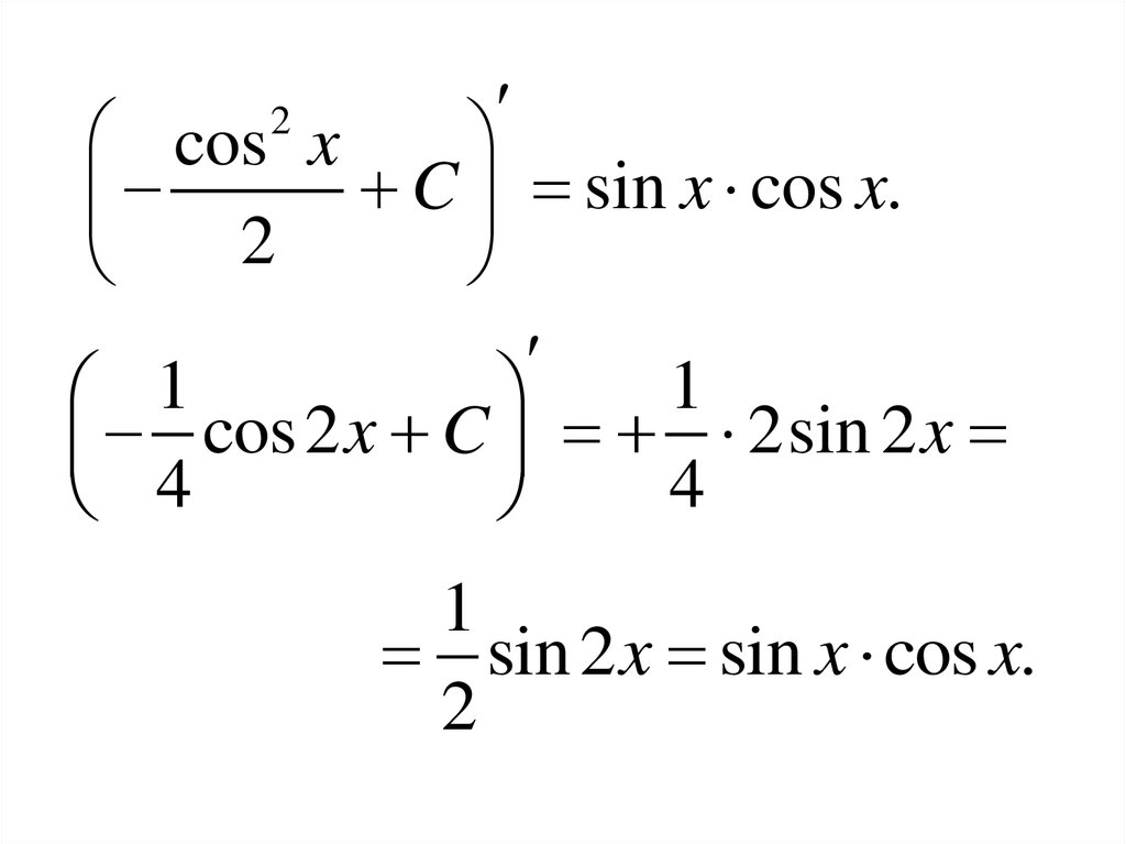
45.

1
sin
x
cos
x
dx
sin
2
x
dx
2
1 1
1
sin 2 x d (2 x) cos 2 x C.
2 2
4
Проверка.
sin x
C sin x cos x.
2
2

46.

cos x
C sin x cos x.
2
1
1
cos 2 x C 2sin 2 x
4
4
2
1
sin 2 x sin x cos x.
2

47.

1
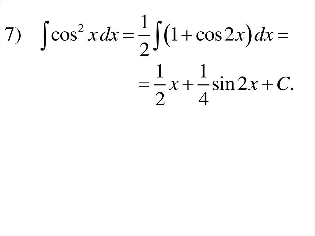
7) cos x dx 1 cos2 x dx
2
1
1
x sin 2 x C.
2
4
2

48.

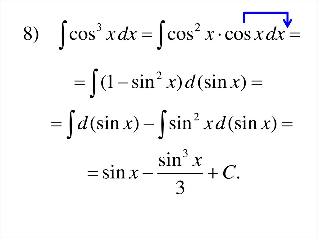
8)
cos
x
dx
cos
x
cos
x
dx
3
2
(1 sin x) d (sin x)
2
d (sin x) sin x d (sin x)
2
3
sin x
sin x
C.
3
English     Русский Rules