Теория механизмов и машин
Полное статическое уравновешивание кривошипно- ползунного механизма
Частичное статическое уравновешивание кривошипно-ползунного механизма
Балансировка роторов.
Статическая неуравновешенность
Моментная неуравновешенность
Динамическая неуравновешенность
700.00K
Category: physicsphysics

Вибрации и колебания

1. Теория механизмов и машин

Часть №5
ВИБРАЦИИ И КОЛЕБАНИЯ

2.

3.

4. Полное статическое уравновешивание кривошипно- ползунного механизма

Полное статическое
уравновешивание кривошипноползунного механизма

5.

Постановка задачи:
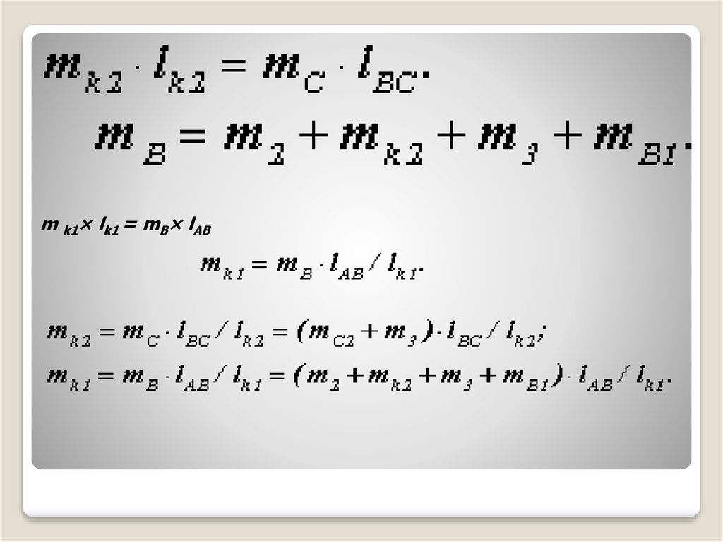
Дано: lAB, lBC, lAS1, lBS2, lCS3=0, m1, m2, m3
Определить: mk1, mk2
Распределим
массы
звеньев
по
методу
замещающих масс и сосредоточим их в центрах
шарнировA,B,C.
Тогда
mB = mB1 + mB2 , m C = m3 + mC2 , mA = mA1 ,

6.

m k1× lk1 = mВ× lАВ

7. Частичное статическое уравновешивание кривошипно-ползунного механизма

Частичное статическое
уравновешивание кривошипноползунного механизма

8.

Постановка задачи:
Дано: lAB, lBC, lAS1, lBS2, lCS3=0,
m1, m2, m3
Определить: mk1

9.

10.

11.

Постановка задачи:
Дано: lAB, lBC, lAS1, lBS2,
lCS3=0, m1, m2, m3
Определить: mk1

12.

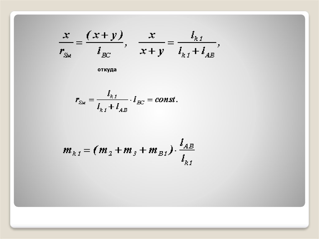
SkВС = Sk А Sм
x/y =. lk1 / lAB
Статический момент относительно точки Sм: mk1

13.

откуда

14.

15. Балансировка роторов.

16.

17. Статическая неуравновешенность

18. Моментная неуравновешенность

19. Динамическая неуравновешенность

English     Русский Rules