Пример к ИДЗ №6
90.37K

Пример к ИДЗ №6

1. Пример к ИДЗ №6

2.

1
1 sin
1) Постройте кривую в полярной системе координат по точкам, давая значения через промежуток
,
8
начиная от 0 .
2) Найдите уравнение полученной линии в прямоугольной декартовой системе координат, начало
которой совпадает с полюсом, а положительная полуось абсцисс – с полярной осью и по уравнению
определите вид кривой.

3.

sin
1 sin
0
0
1
1
0,3827
0,6
1,7
0,7071
0,3
3,3
0,9239
0,1
10
1
0
-
0,9239
0,1
10
0,7071
0,3
3,3
0,3827
0,6
1,7
0
1
1
-0,3827
1,4
0,7
-0,7071
1,7
0,6
-0,9239
1,9
0,53
-1
2
0,5
-0,9239
1,9
0,52
-0,7071
1,7
0,6
-0,3827
1,4
0,7
0
1
1
8
4
3
8
2
5
8
3
4
7
8
9
8
5
4
11
8
3
2
13
8
7
4
15
8
2

4.

5.

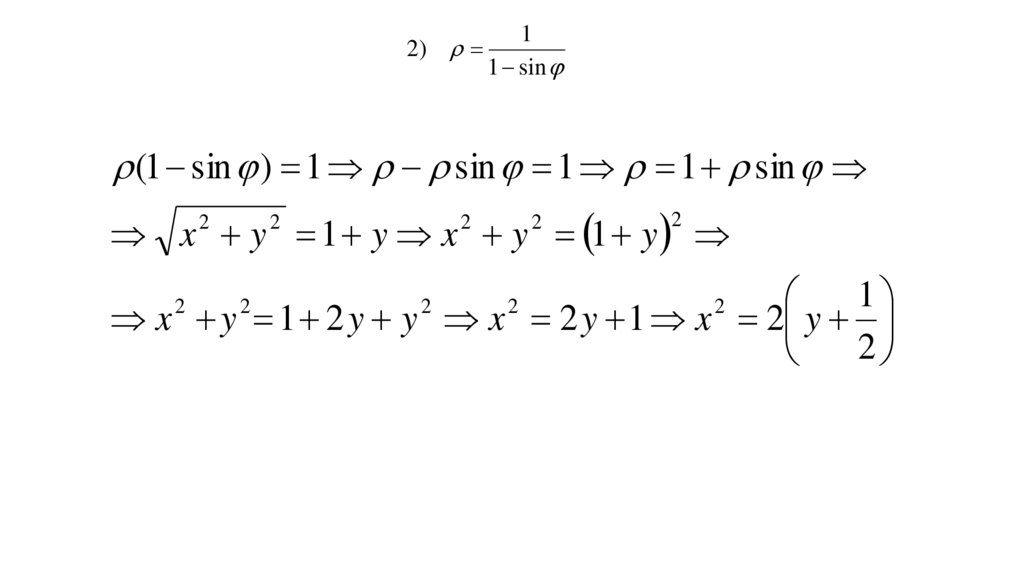
2)
1
1 sin
(1 sin ) 1 sin 1 1 sin
x y 1 y x y 1 y
2
2
2
2
2
1
x y 1 2 y y x 2 y 1 x 2 y
2
2
2
2
2
2
English     Русский Rules