Организация межклеточного матрикса в суставном хряще. ГК - гиалуроновая кислота; ДС дерматансульфат; ХС - хондроитинсульфат
6.97M
Category: chemistrychemistry

2025 Л7 часть 2 Углеводы

1.

Углеводы
ХИМИЯ
Лекция 7
Часть II

2.

План лекции
Классификация углеводов.
Стереоизомерия и цикло-оксо-таутомерия моносахаридов
на примере пентоз, гексоз и аминосахаров.
Образование O- и N-гликозидов.
Окисление и восстановление моносахаридов.
Особенности в химическом строении восстанавливающих
и невосстанавливающих дисахаридов.
Гомо- и гетерополисахариды.
Понятие о смешанных биополимерах.

3.

Углеводы – органические вещества, молекулы которых состоят
из атомов углерода, водорода и кислорода. Водород и
кислород, как правило, находятся в таком же соотношении,
что и в молекуле воды, поэтому общую формулу записывают
так: Сn(Н2О)n.

4.

Углеводы классифицируют по способности к гидролизу:
Моносахариды – углеводы не гидролизующиеся с
образованием более простых углеводов.
Олигосахариды

углеводы,
содержащие
2-10
моносахаридных остатков.
Полисахариды – гликаны – углеводы, в структуре которых
более 10 моносахаридных остатков.
Гомополисахариды – состоят из углеводных остатков
одного
моносахарида
(целлюлоза,
гликоген,
пектиновые вещества).
Гетерополисахариды – состоят из углеводных
остатков разных моносахаридов (гиалуроновая
кислота, хондроитинсульфат).

5.

Моносахариды и их производные
Моносахариды – полифункциональные соединения, в
молекулах которых содержатся карбонильная (кетонная или
альдегидная) и несколько гидроксильных групп, то есть они
являются
полигидроксикетонами
или
полигидроксиальдегидами.

6.

Моносахариды классифицируют:
по типу карбонильной группы:
альдозы, где n = 1-8;
кетозы, где n = 1-7.
по количеству атомов углерода в цепи:
триозы (глицериновый альдегид);
тетрозы (треоза, эритроза);
пентозы (рибоза, ксилоза и др.);
гексозы (глюкоза, фруктоза, галактоза) и т.д.

7.

8.

Триозы

9.

Пентозы
Рибоза
Ксилоза
CHO
Дезоксирибоза
CHO
CHO
CH2
H
OH
H
OH
HO
H
H
OH
H
OH
H
OH
H
OH
H
OH
CH2OH
CH2OH
CH2OH
CH2OH
CH2OH
O
O
OH
OH
OH
OH
OH

10.

Гексозы
Глюкоза
Галактоза
Манноза
CHO
Фруктоза
CHO
CHO
CH2OH
HO
H
H
OH
H
OH
HO
H
HO
H
HO
H
HO
H
H
OH
H
OH
HO
H
H
OH
H
OH
H
OH
H
OH
H
OH
CH2OH
CH2OH
O
OH
O
OH
O
CH2OH
CH2OH
CH2OH
CH2OH
HO
C
CH2OH
OH
OH
HO
OH
O
O
OH
CH2OH
OH
HO
OH
OH
OH
OH
OH
OH

11.

Моносахариды существуют в открытой и циклической форме.
Открытая форма записывается с помощью проекционных
формул Фишера.
Циклическая – перспективными формулами Хеуорса в виде
пиранозных – шестичленных или фуранозных –
пятичленных циклов, содержащих один гетероатом
кислорода.

12.

Процесс перехода открытой
формы
молекулы
в
циклическую
называется
циклооксотаутомерией.

13.

В циклической форме карбонильный (1-ый атом углерода у
альдоз, и 2-ой у кетоз) становится хиральным центром, его
называют аномерным.
Различают α-аномер - молекула в которой конфигурация
аномерного и концевого хирального центров одинакова; и βаномер – конфигурации центров противоположны.
Взаимопревращение α- и β-аномеров возможно через
оксоформу в результате раскрытия цикла, этот процесс
называют
аномеризацией.
В
растворе
возможно
одновресменное существование как циклических, так и
открытых форм.

14.

Таутомерные формы D-глюкозы

15.

Углеводы содержат несколько ассиметричных атомов углерода,
поэтому для них характерно наличие стереоизомеров:
энантиомеров – стереоизомеры соотносящиеся как предмет
и его зеркальное отражение;
эпимеров – диастереомеры, различающиеся конфигурацией
только одного асимметрического атома углерода. Например,
D-глюкоза и D-манноза.
CHO
CHO
H
OH
HO
H
HO
H
HO
H
H
OH
H
OH
H
OH
H
OH
CH2OH
CH2OH

16.

Для моносахаридов характерна кето-енольная таутомерия.
CHO
O
H
H
C
H
C
H
HO
H
H
OH
H
OH
OH
C
OH
C
OH
HO
H
HO
H
H
OH
H
OH
CH2OH
CH2OH
C
H
HO
OH
CH2OH
H
OH
CH2OH
O
HO
H
H
OH
H
OH
CH2OH

17.

Производные моносахаридов
Дезоксисахара – моносахариды, у которых 1 или 2
гидроксильные группы заменены на атом водорода,
например 2-дезокси-D-рибоза.
CHO
CH2OH
CH2
H
OH
H
OH
CH2OH
O
OH
OH

18.

Аминосахара – моносахариды, у которых вместо
гидроксильной группы у С-2 находится аминогруппа,
например D-глюкозамин и N-ацетил-D-глюкозамин.
CH2OH
CH2OH
O
O
OH
OH
OH
OH
NH2
OH
OH
NHCOCH3

19.

Нейраминовая кислота и сиаловые кислоты – N- и Оацилированные производные нейраминовой кислоты. В
свободном состоянии находятся в спинномозговой
жидкости.
COOH
COOH
C O
C
CH2
CH2
H C OH
H
C
OH
C HN
C
H
HO
C
H
H C OH
H
C
OH
H C OH
H
C
OH
NH2
C H
HO C H
CH2OH
O
O
H3 C
CH2OH

20.

Сиаловые кислоты входят в состав групповых веществ крови,
олигосахаридов молока, а также ганглиозидов мозга,
участвующих в проведении нервных импульсов.

21.

Аскорбиновая кислота – витамин С. Участвует в реакциях
окисления и восстановления, является антиоксидантом.

22.

Химические свойства моносахаридов
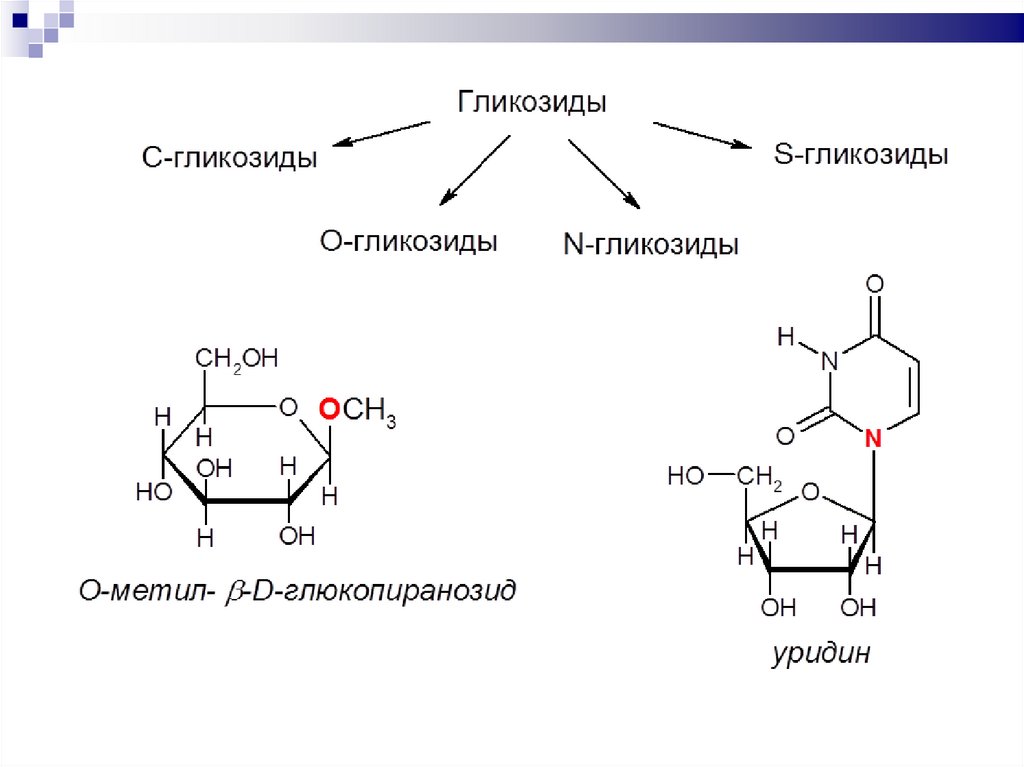
Реакции этерификации через гликозидный
приводят к образованию гликозидов.
D-глюкопираноза
O-метил-b-D-глюкопиранозид
гидроксил
O-метил-a-D-глюкопиранозид

23.

24.

Реакции ацилирования
D-глюкопираноза
1,2,3,4,6-пентаацетал-Dглюкопираноза

25.

Реакции восстановления углеводов ведут к образованию
многоатомных спиртов – альдитов. Например из ксилозы
образуется ксилит.

26.

Реакции окисления моносахаридов ведут к образованию
трех видов кислот:
в нейтральной среде мягкими окислителями (бромная
вода) образуются монокислоты – альдоновые кислоты;

27.

в кислой среде сильными окислителями приводит к
образованию дикислот – альдаровые кислоты;

28.

окисление первичноспиртовой группы при защищенной
альдегидной группе ведет к образованию альдуроновых
кислот, которые
являются компонентами растительных и бактериальных
полисахаридов, в организме связывают токсичные вещества
и в виде гликозидов выводят их.

29.

реакция «серебряного зеркала», с реактивом Толленса;
реакция с реактивами Бенедикта и Фелинга.

30.

Глюкоза, как и другие моносахариды, дает положительную
реакцию на α-диольный фрагмент.

31.

Одна из важнейших реакций глюкозы – фосфорилирование

32.

33.

Метаболизм глюкозы

34.

Метаболизм галактозы

35.

Метаболизм фруктозы и галактозы

36.

Фруктоза – кетоза, один из часто употребляемых изомеров
глюкозы. Качественной реакцией на фруктозу является
реакция Селиванова.

37.

Дисахариды
Подразделяют на:
Восстанавливающие – те, у которых имеется свободная
полуацетальная гидроксильная группа у первого атома
углерода. Эти углеводы способны к циклооксотаутомерии,
их
свежеприготовленные
растворы
способны
к
мутаротации – изменение во времени угла вращения
плоскости поляризации света растворами углеводов.
Невосстанавливающие – те, у которых гликозидная связь
между двумя молекулами моносахаридов образована
первым и вторым атомами углерода.

38.

Сахароза
Молекула состоит из α-D –глюкозы в пиранозной форме и β-D–
фруктозы в фуранозной форме, соединенных α-1-2 гликозидной
связью

39.

Лактоза – молочный сахар
Молекула состоит из β–D-галактозы и α-D –глюкозы, соединенных
β – 1-4 гликозидной связью

40.

Мальтоза – солодовый сахар
Молекула состоит из α-D – глюкозы, соединенных
α – 1-4 гликозидной связью
это промежуточный продукт
гидролиза крахмала, образуется
под
действием
ферментов
пищеварительного тракта

41.

Целлобиоза
Молекула состоит из β – глюкозы, соединенных
β -1-4 гликозидной связью

42.

Полисахариды
Гомополисахариды
- Крахмал - состоит из двух форм, состоящих из молекул Dглюкозы, связанных α(1→4) и α(1 → 6) - гликозидными
связями:
Амилоза (линейная форма); α(1→4)
Амилопектин (разветвленная форма) α(1→4) и α(1 → 6).
Источники: зерна злаков, клубни, луковицы.
Продукты гидролиза: декстрины, мальтоза и глюкоза.

43.

Амилоза

44.

Амилопектин

45.

Гликоген - животный крахмал состоит из молекул Dглюкозы, связанных α-1-4- и α-1-6-гликозидными связями.
Синтезируется и накапливается в большом количестве в
клетках печени и мышцах. Служит для поддержания уровня
глюкозы в крови.

46.

47.

48.

49.

Целлюлоза состоит из β-D-глюкозы, связанных β-1-4
гликозидной связью. Источники: клеточные стенки растений.
Не усваивается организмом человека. «Нерастворимая
клетчатка».

50.

Декстраны - полисахариды имеют бактериальное
происхождение. Декстраны - разветвленные полисахариды,
построенные из остатков α-D-глюкопиранозы. Основным
типом связи являются a(1-6)-, а в местах разветвления - α(14), α(1-3)- и реже α(1-2)-гликозидные связи.
Хитин - линейный полисахарид, в котором остатки Nацетил-D-глюкозамина
связаны
α(1-4)-гликозидными
связями.
Пектовая кислота - полисахарид, в котором остатки Dгалактуроновой кислоты связаны α(1-4)-гликозидными
связями
Альгиновыми кислотами называют неразветвленные
полисахариды, в которых остатки D-маннуроновой кислоты и
ее эпимера по С-5 - L-гулуроновой кислоты - связаны (1-4)связями.

51.

Растворы высокомолекулярного декстрана с хлоридом
натрия,
глюкозой
или
маннитолом,
являются
полифункциональными плазмозамещающими растворами.
Нормализуют гемодинамику, увеличивают объем жидкости
в кровяном русле. Растворы низкомолекулярного
декстрана, кроме того, способствуют улучшению
микроциркуляции, уменьшают агрегацию форменных
элементов крови, вязкость крови.

52.

Гетерополисахариды – мукополисахариды
Это
углеводы,
построенные
из
повторяющихся
дисахаридных единиц. Являются компонентами межклеточного
матрикса,
который
выполняет
в
организме
самые
разнообразные функции:
• являются универсальным «биологическим» клеем;
• участвуют в регуляции водно-солевого обмена;
•образуют
каркас
органов
и
тканей,
высокоспециализированные структуры (кости, зубы, хрящи,
сухожилия, базальные мембраны).
В эту группу входят
гиалуроновая кислота,
хондроитинсульфаты, гепарин, гепаритинсульфат, мурамин и
другие.

53.

54.

Гиалуроновая кислота
Несульфированный
гликозаминогликан, входящий
в состав соединительной,
эпителиальной и нервной
тканей.
Является одним из основных
компонентов
внеклеточного
матрикса,
содержится
во
многих
биологических
жидкостях
(слюне,
синовиальной жидкости и др.)
Принимает
значительное
участие в пролиферации и
миграции клеток.

55.

Хондроитин-4-сульфат
Представитель

полимерных
сульфатированных
гликозаминогликанов.
Являются
специфическими
компонентами хряща. Вырабатываются хрящевой тканью
суставов, входят в состав синовиальной жидкости и
различных препаратов хондропротекторов.

56.

Гепарин
Кислый серосодержащий гликозаминогликан; впервые выделен
из
печени.
В
клинической
практике
известен
как антикоагулянт прямого действия, то есть как вещество,
препятствующее свёртыванию крови.

57.

Гликопротеины
– соединения в
которых
с
белковыми
молекулами
ковалентно связаны
олигосахаридные
цепи N-гликозидной
связью
(муцин,
иммуноглобулины,
вещества,
определяющие
групповую
принадлежность
крови).

58.

Углеводсодержащие смешанные биополимеры:
Протеогликаны – углевод-белковый биополимер, в котором
преобладает углеводный компонент (соединен О-гликозидной
связью). Являются основной составляющей соединительной
ткани.

59. Организация межклеточного матрикса в суставном хряще. ГК - гиалуроновая кислота; ДС дерматансульфат; ХС - хондроитинсульфат

Организация межклеточного матрикса в суставном
хряще.
ГК
гиалуроновая
кислота;
ДС
дерматансульфат; ХС - хондроитинсульфат

60.

61.

Пептидогликаны – содержат короткие пептидные цепи
(муреин – пептидогликан, является опроно-механическим
компонентом клеточных стенок бактерий).

62.

Гликолипиды

углевод-липидные
биополимеры
участвуют в формировании белого и серого вещества
нервной ткани.
English     Русский Rules