Тема: НЕОПРЕДЕЛЕННЫЙ ИНТЕГРАЛ
Таблица простейших интегралов
Пример 1. Используя таблицу и свойства интегралов, найти интегралы.
1.3. Основные методы вычисления неопределенных интегралов
Примеры
Интегрирование заменой переменной
Пример
Интегрирование по частям
Некоторые типы интегралов, которые можно вычислять методом интегрирования по частям
Пример. Вычислить неопределенные интегралы методом интегрирования по частям.
527.50K
Category: mathematicsmathematics

1

1. Тема: НЕОПРЕДЕЛЕННЫЙ ИНТЕГРАЛ

§1. Неопределенный интеграл и его
свойства.

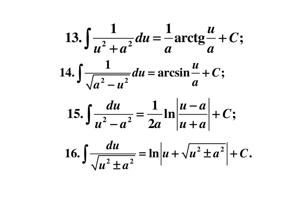
2. Таблица простейших интегралов

1. 0 du C;
3. u du
1
u
1
2. 1 du u C;
C , 1;
1
1
4. 2 du C;
u
u
1
6. du ln u C;
u
1
5.
du 2 u C ;
u
u
a
u
7. a du
C;
ln a
9. sin udu cos u C;
10. cos udu sin u C;
1
11.
du tgu C ;
2
cos u
1
12. 2 du ctgu C;
sin u
8. e udu e u C;

3.

1
1
u
13. 2
du arctg C;
2
u a
a
a
14.
1
u
du arcsin C ;
2
2
a
a u
du
1
u a
15. 2
ln
C;
2
u a
2a u a
16.
du
u2 a 2
ln u u a C .
2
2

4.

Вычисление интегралов с помощью
преобразования
подынтегрального
выражения к табличной форме и
использования свойств неопределенного
интеграла называется непосредственным
интегрированием.
Вспомогательные сведения
1. a a a
m
n
m n
1
; 3. n a n ;
a
m
2.
a
m n
a ;
n
a
4.
n
a a
m
m
n
.

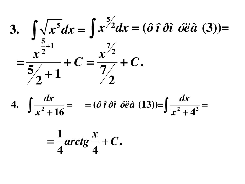
5. Пример 1. Используя таблицу и свойства интегралов, найти интегралы.

5 1
dx
x
5
1. 5 x dx (ô î ðì óëà (3))=
C
x
5 1
1
4 C.
4x
x
x
2. (2 x 7 )dx 2 xdx 7 dx
2
x
x
x
7
7
2
(ô î ðì óëû (3), (7))= 2
C x
C.
2 ln 7
ln 7

6.

3.
2
x
dx (ô î ðì óëà (3))=
x dx
5
5
1
2
5
7
x
x 2
=
C
C.
5 1
7
2
2
dx
4. 2
x 16
dx
(ô î ðì óëà (13))= 2
2
x 4
1
x
arctg C .
4
4

7.

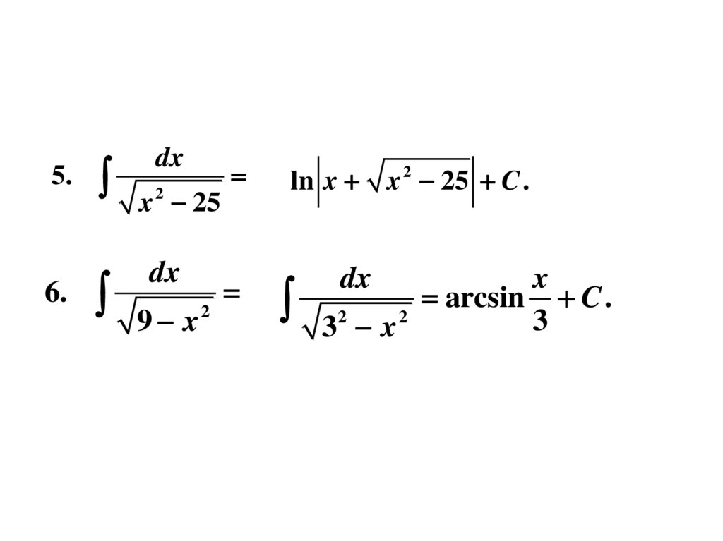
5.
6.
dx
x 25
2
dx
ln x x 2 25 C .
9 x
2
dx
x
arcsin C .
3
32 x 2

8. 1.3. Основные методы вычисления неопределенных интегралов

Непосредственное интегрирование
Метод интегрирования, при котором
данный интеграл путем тождественных
преобразований подынтегральной функции
(или выражения) и применения свойств
неопределенного интеграла приводится к
одному или нескольким табличным
интегралам, называется непосредственным интегрированием.

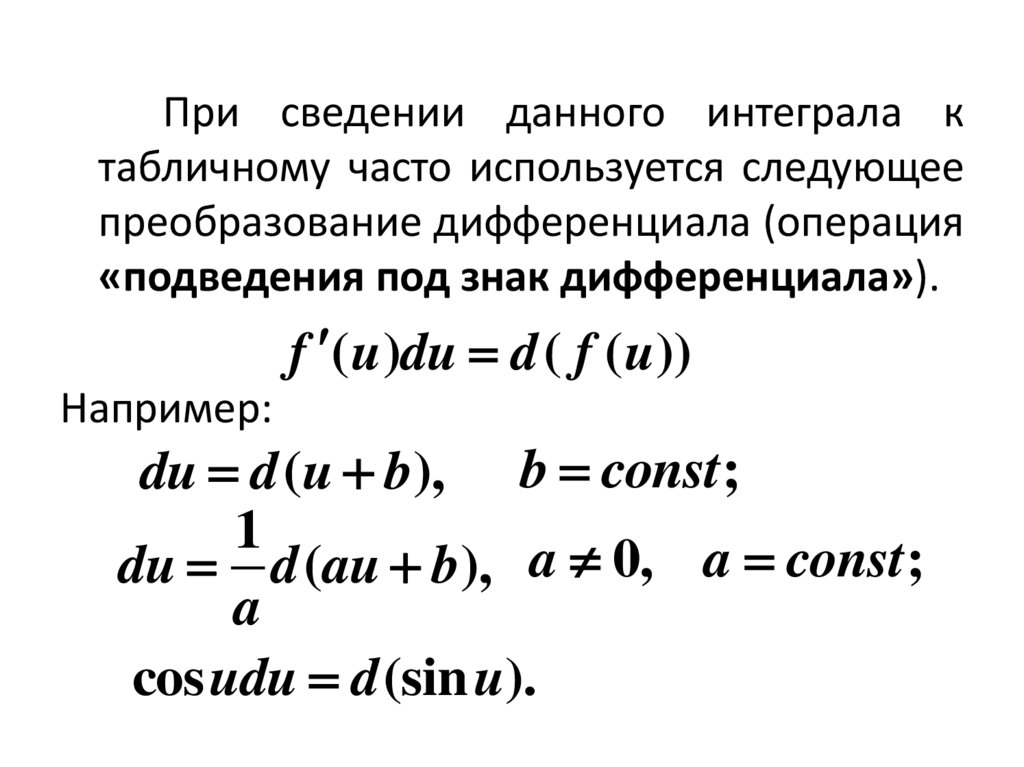
9.

При сведении данного интеграла к
табличному часто используется следующее
преобразование дифференциала (операция
«подведения под знак дифференциала»).
f ( u)du d ( f ( u))
Например:
du d (u b), b const;
1
du d (au b), a 0, a const;
a
cos udu d (sin u).

10. Примеры

1
9
1. (3 x 1) dx (3 x 1) d (3 x 1)
3
10
1 (3 x 1)
C.
3
10
9
dx
1 d (4 x 5)
2.
4x 5 4 4x 5
1
ln 4 x 5 C .
4

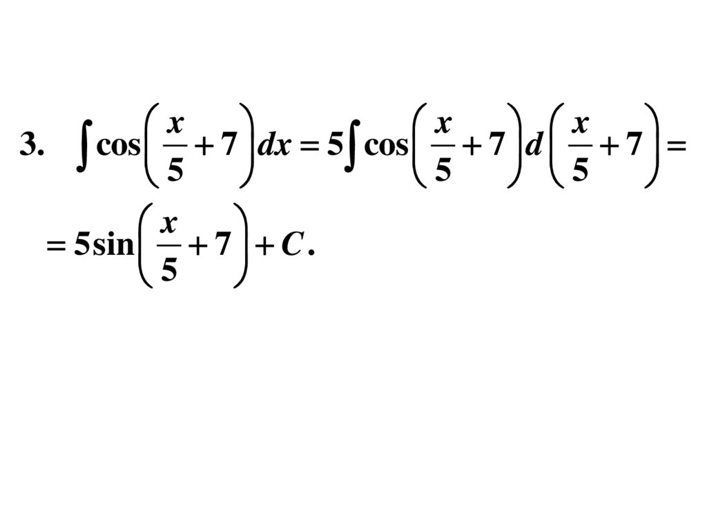
11.

x
x
x
3. cos 7 dx 5 cos 7 d 7
5
5
5
x
5sin 7 C .
5

12. Интегрирование заменой переменной

Метод замены переменной (метод
подстановки) состоит в преобразовании
интеграла f(x)dx
в другой интеграл
f(u)du,
который вычисляется проще, чем исходный.

13. Пример

(6
x
3)
dx
t 6x 3
dt
dt 6dx , dx
6
6
1 5
1t
t dt
C ( t 6 x 3)
6
66
1.
5
1
6
(6 x 3) C .
36

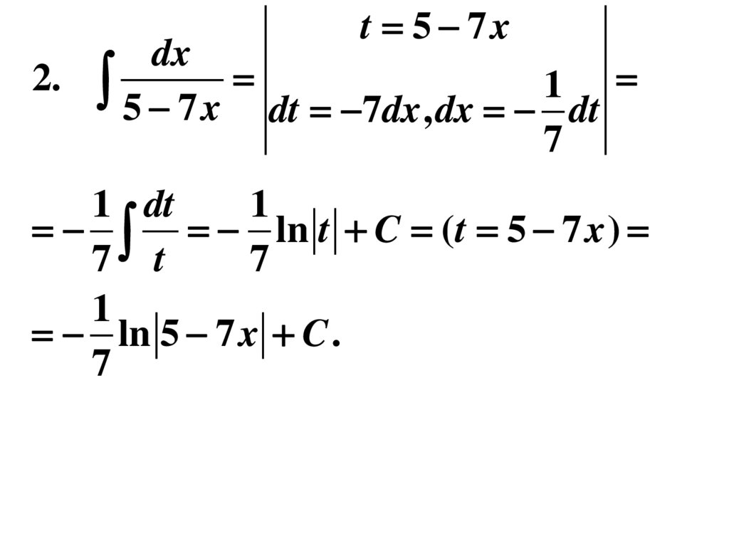
14.

t 5 7x
dx
2.
1
5 7 x dt 7dx , dx dt
7
1 dt
1
ln t C (t 5 7 x )
7 t
7
1
ln 5 7 x C .
7

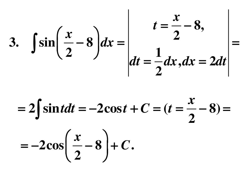
15.

x
t 8,
x
2
3. sin 8 dx
1
2
dt dx , dx 2dt
2
x
2 sin tdt 2cos t C ( t 8)
2
x
2cos 8 C .
2

16. Интегрирование по частям

Формула
udv uv vdu,
где u u( x ) и v v ( x ) – дифференцируемые
функции, называется
формулой интегрирования по частям.
Метод
интегрирования
по
частям
целесообразно применять, если
vdu
более прост в вычислении, чем
udv
.

17. Некоторые типы интегралов, которые можно вычислять методом интегрирования по частям

1. Интегралы вида Pn ( x )e mx dx , Pn ( x )a mx dx,
P ( x)sin mxdx, Pn ( x )cos mxdx,
n
где Pn ( x ) − многочлен, m − число.
Здесь полагают u Pn ( x ),
за dv обозначают остальные сомножители.

18.

2. Интегралы вида Pn ( x )ln xdx, Pn ( x )arcsin xdx,
P ( x)arccos xdx, P ( x)arctgxdx, P ( x)arcctgxdx.
n
n
n
Pn ( x )dx dv
Здесь полагают
за u обозначают остальные сомножители.
3. Интегралы вида e ax cos bxdx, e ax sin bxdx ,
где a и b − числа.
ax
За u можно принять функцию e .

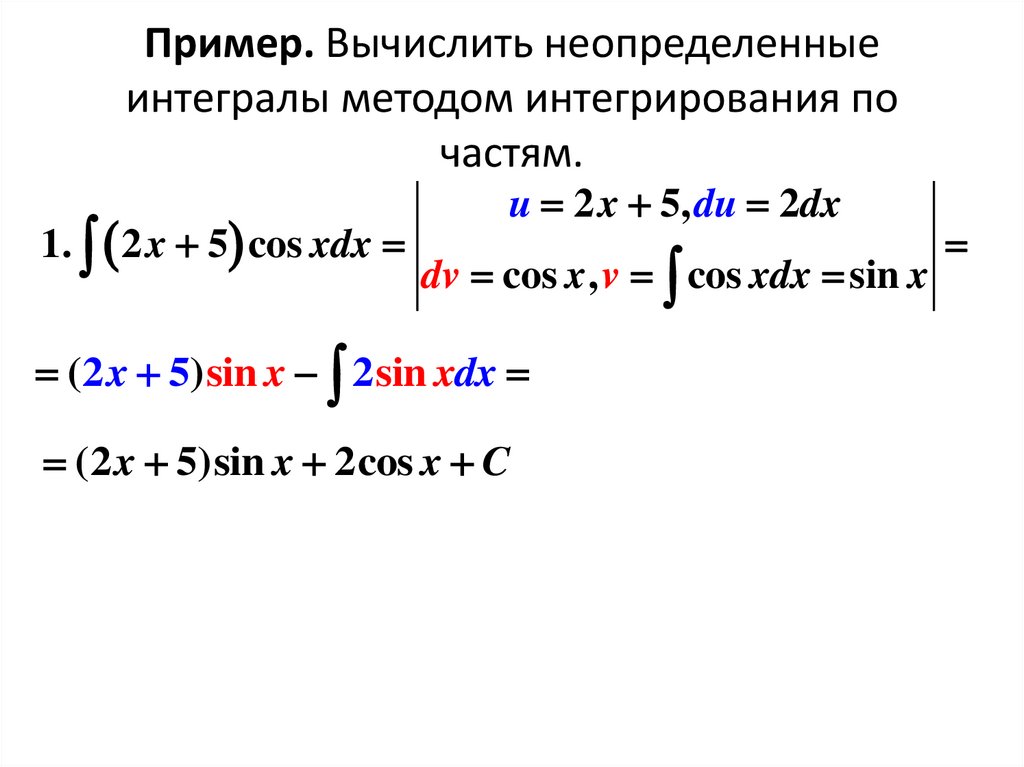
19. Пример. Вычислить неопределенные интегралы методом интегрирования по частям.

1. 2 x 5 cos xdx
u 2 x 5, du 2dx
dv cos x , v cos xdx sin x
(2 x 5) sin x 2 sin xdx
(2 x 5)sin x 2cos x C
English     Русский Rules