6.47M

МА_Л10_Кривол1рода

1.

ВНИМАНИЕ!
ИСПОЛЬЗОВАНИЕ СРЕДСТВ СВЯЗИ, ФОТО,
ВИДЕО И ЗВУКОЗАПИСИ ЗАПРЕЩЕНО!

2.

ВОЕННО-КОСМИЧЕСКАЯ АКАДЕМИЯ ИМЕНИ А.Ф. МОЖАЙСКОГО
Кафедра №111
Учебная дисциплина
«Математичекий анализ»
Лекция 10
Доктор педагогических наук, доцент
Кунтурова Н.Б.
Т2

3.

Рекомендуемая литература
• Кудрявцев Л.Д. Математический анализ, в 2-х т. – М.:
Высшая школа, 2010.
• Пискунов Н.С. Дифференциальное и интегральное
исчисление. – М.: Физматлит, т 2., 2010. [2], стр. 234240
• Письменный, Д. Т. Конспект лекций по высшей
математике: полный курс. — 4-е изд. — М.: Айриспресс, 2006. — 608 с: ил.
• Фихтенгольц Г.М. Курс дифференциального и
интегрального исчисления. М.: Физматлит, 2003.
• http://alexandr4784.narod.ru/ma.html

4.

Учебные вопросы
ТЕМА 7. ИНТЕГРАЛЬНОЕ ИСЧИСЛЕНИЕ
ФУНКЦИИ НЕСКОЛЬКИХ ПЕРЕМЕННЫХ
ЛЕКЦИЯ 10. КРИВОЛИНЕЙНЫЕ ИНТЕГРАЛЫ
ПЕРВОГО РОДА
1. ОПРЕДЕЛЕНИЕ, ОСНОВНЫЕ СВОЙСТВА
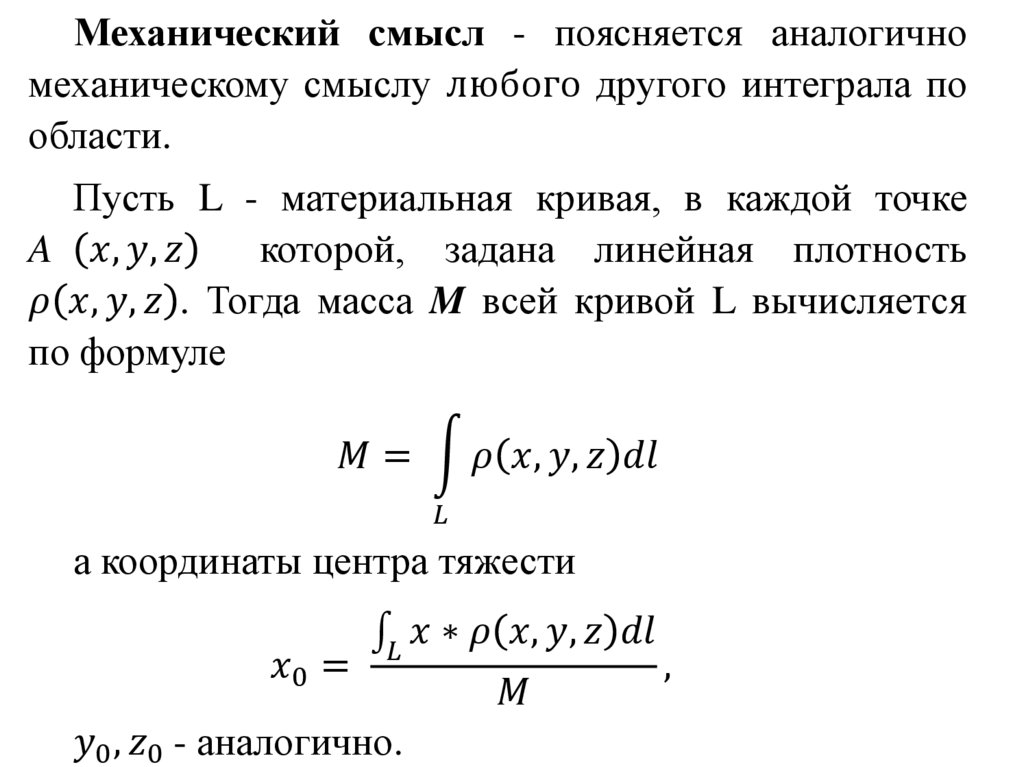
2. МЕХАНИЧЕСКИЙ СМЫСЛ
3. ВЫЧИСЛЕНИЕ
КРИВОЛИНЕЙНЫХ
ИНТЕГРАЛОВ ПЕРВОГО РОДА

5.

Лекция 1. ЧИСЛОВЫЕ РЯДЫ
Учебный вопрос №1
ОПРЕДЕЛЕНИЕ, ОСНОВНЫЕ СВОЙСТВА

6.

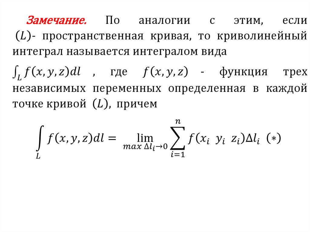
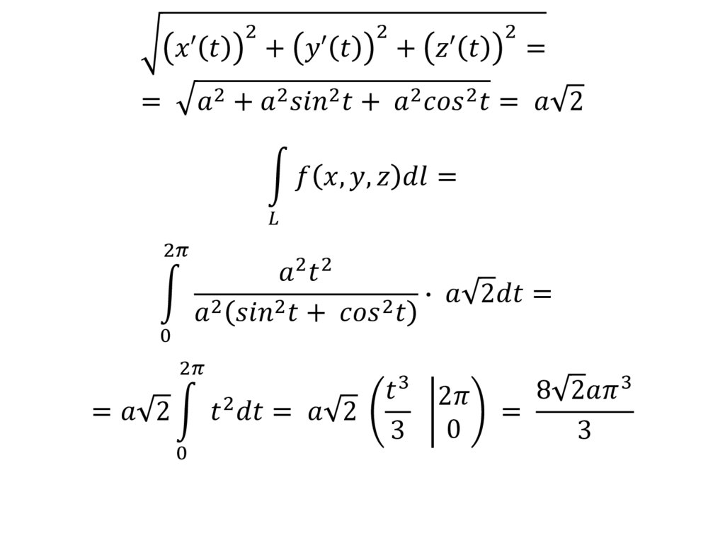
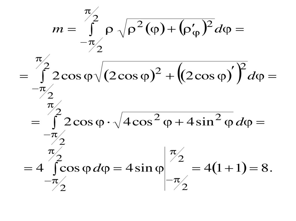
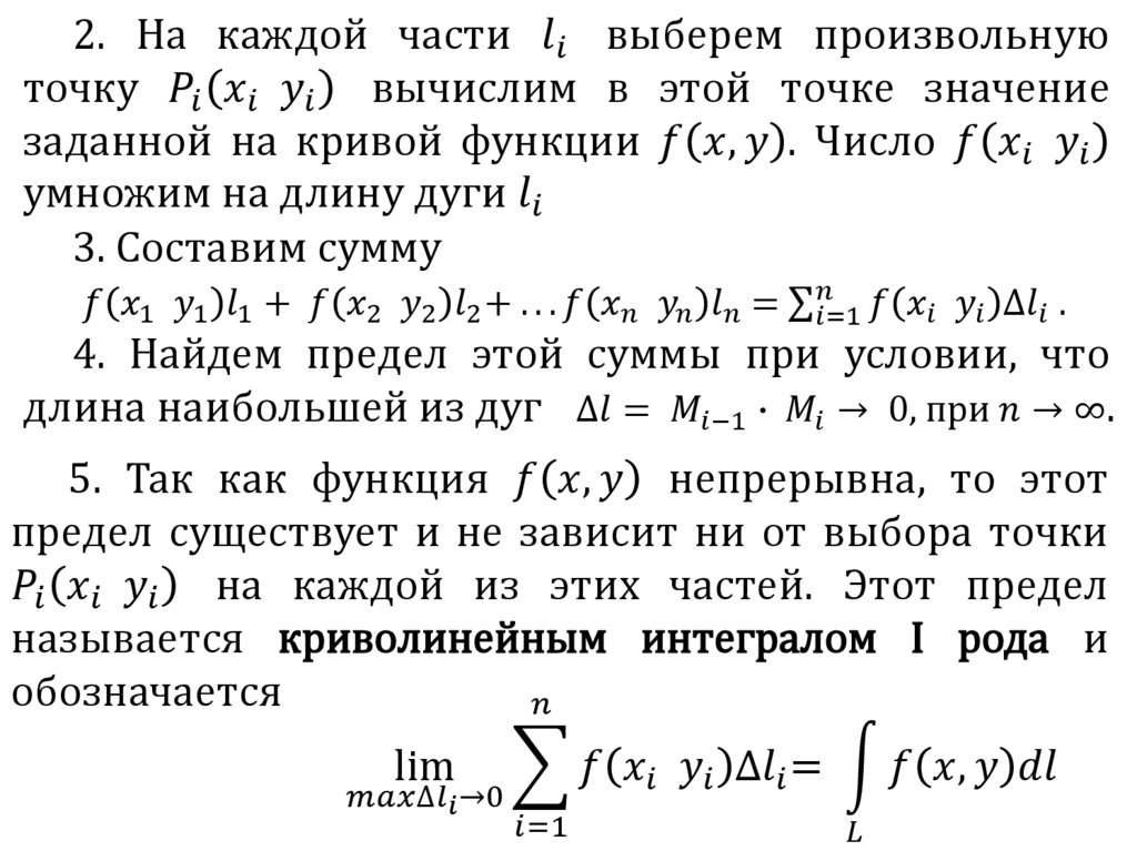
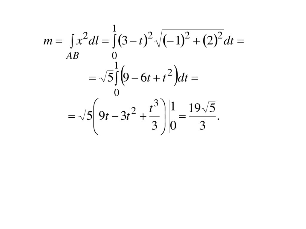
Пусть функция f x, y, z определена в
каждой точке гладкой кривой l . Разобьём
участок кривой l от точки A до точки B
Z
(рис. 1) произвольным образом на n частей
точками:
A M 0 , M1, M 2 ,...M i , M i 1,..., M n B .
English     Русский Rules