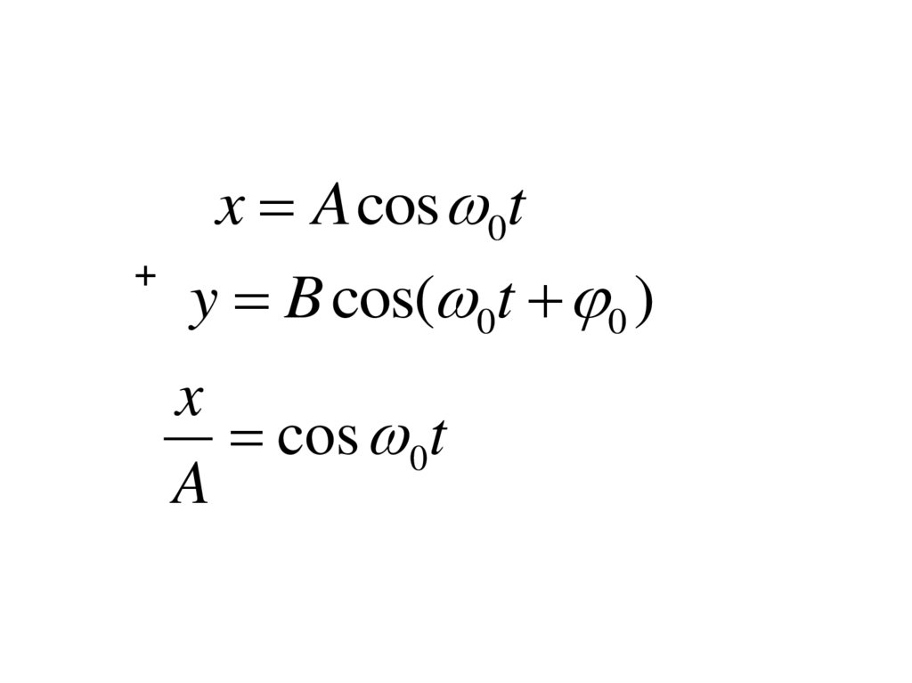
Сложение перпендикулярных колебаний
Затухающие колебания
Затухающие колебания пружинного маятника
Затухающие колебания в колебательном контуре
371.00K
Category: physicsphysics

Сложение перпендикулярных колебаний

1. Сложение перпендикулярных колебаний

2.

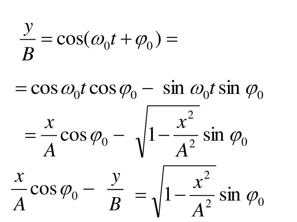
x A cos 0t
+
y B cos( 0t 0 )
x
cos 0t
A

3.

y
cos( 0t 0 )
B
cos 0t cos 0 sin 0t sin 0
2
x
x
cos 0 1 2 sin 0
A
A
2
x
y
x
cos 0
1
sin
0
2
A
B
A

4.

2
x
y
x
y
2
2
cos
cos
0
0
2
2
A
B
A
B
2
2
x
2
(1 2 ) sin 0
A
2
2
x
x y
2
y
sin
2
cos
0
0
2
2
A
AB
B
Уравнение эллипса

5.

0 m
cos 0 1
sin 0 0
B
y x
A
-уравнение прямой
Линейно поляризованные колебания

6.

y
B
y x
A
B
x
A
A
B
m 0, 2, 4 четные

7.

y
B
y x
A
B
x
A
A
B
m 1, 3
нечетные

8.

0 (2m 1)
2
2
sin 0 1
cos 0 0
2
x
y
1
2
2
A B
-уравнение эллипса
эллиптически поляризованные
колебания

9.

y
B
A
x

10.

• Если частоты складываемых колебаний
различны, то получаются сложные
траектории, называемые фигурами
Лиссажу

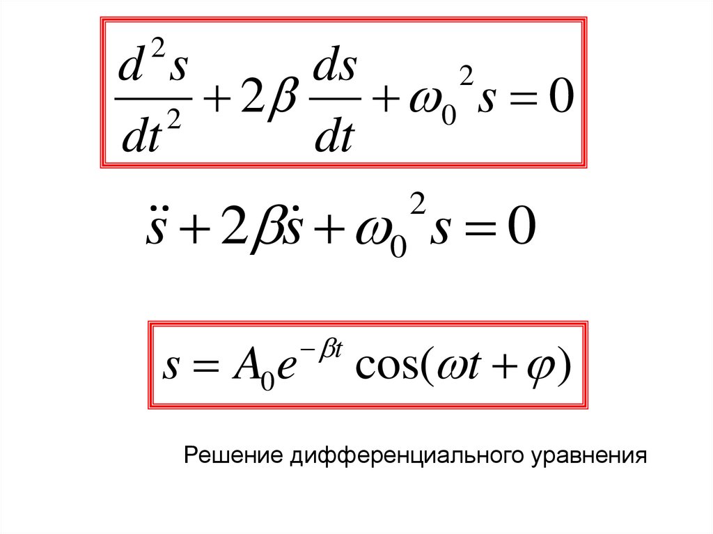
11. Затухающие колебания

• Затухающие колебания –амплитуда
которых с течением времени
уменьшается

12.

2
d s
ds
2
2
s
0
0
2
dt
dt
s 2 s 0 s 0
2
s A0 e
t
cos( t )
Решение дифференциального уравнения

13.

A0 e
t
A0
- Амплитуда колебаний
- Начальная амплитуда
s
t

14.

коэффициент затухания
0 собственная частота
2
0
T
2
2
2
0
2
частота затухающих
колебаний
период затухающих
колебаний

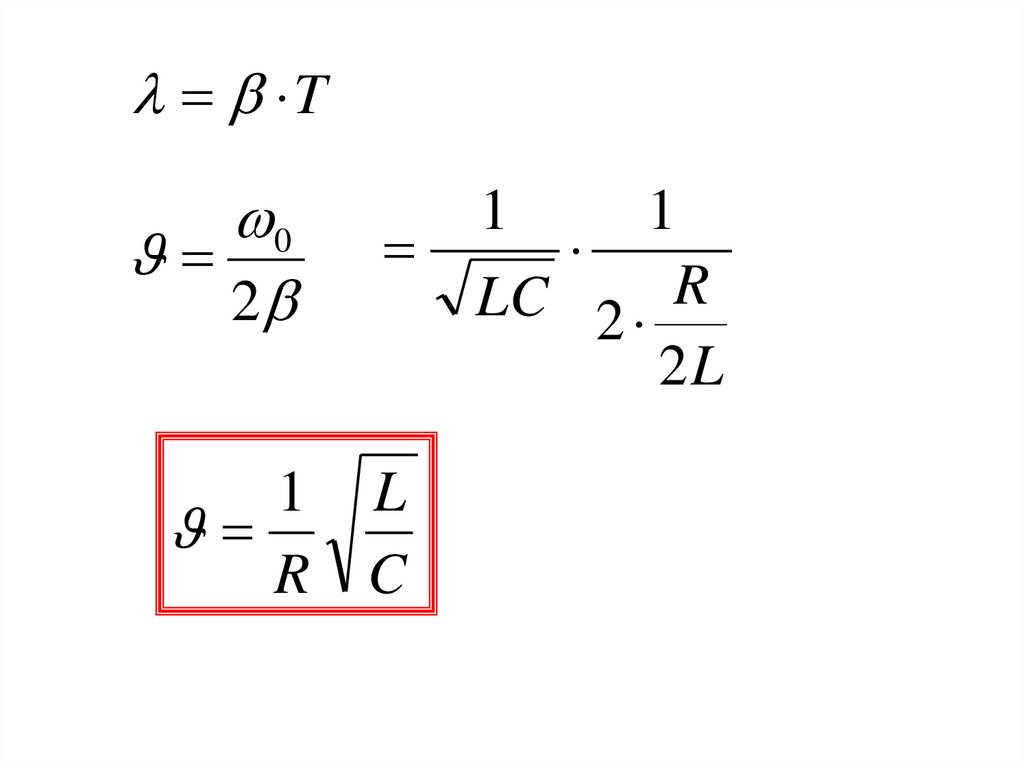
15.

1
- время релаксации
t
A(t )
A0 e
( t T )
A(t T ) A0 e
- декремент затухания
t
A0 e
A(t )
T
ln
ln
( t T )
A0 e
A(t T )
-логарифмический декремент
-затухания
- добротность

16.

При малом затухании
0
2
2
2
T T0
0
0
2

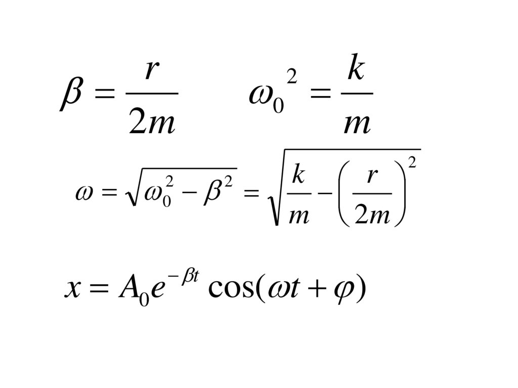
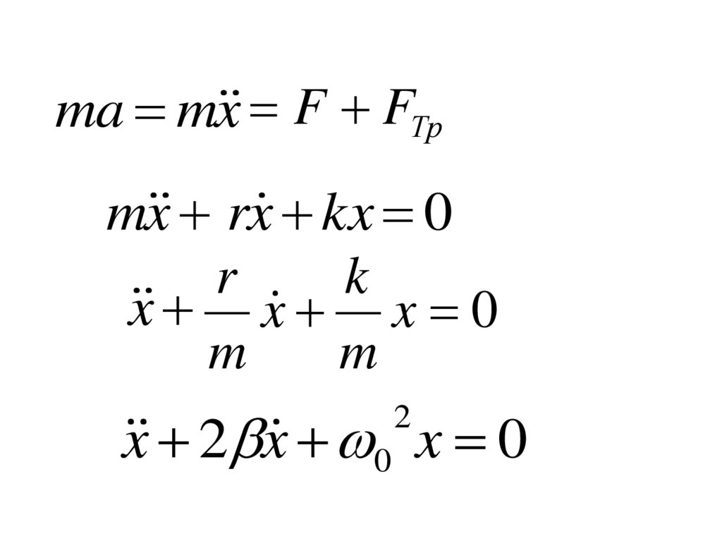
17. Затухающие колебания пружинного маятника

F kx
FТР rV
X- смещение маятника от положения
равновесия
Сила трения пропорциональна скорости,
r- коэффициент сопротивления
Знак «-» указывает, что сила трения и
скорость противоположно направлены

18.

ma m x F FТр
m x rx kx 0
r
k
x x x 0
m
m
x 2 x 0 x 0
2

19.

k
0
m
r
2m
2
2
0
x A0 e
t
2
k r
m 2m
cos( t )
2

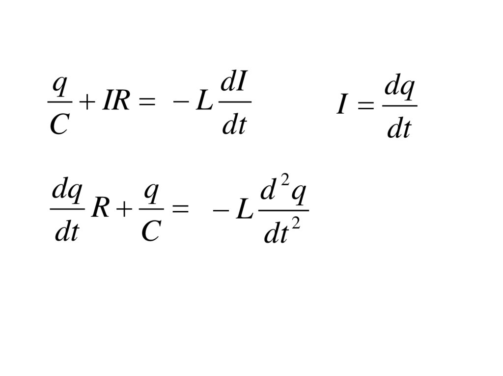
20. Затухающие колебания в колебательном контуре

21.

UC U R S
С
L
q
UC
C
dI
S L
dt
R
U R IR

22.

q
dI
IR L
C
dt
dq
I
dt
2
dq
q
d q
R L 2
dt
C
dt

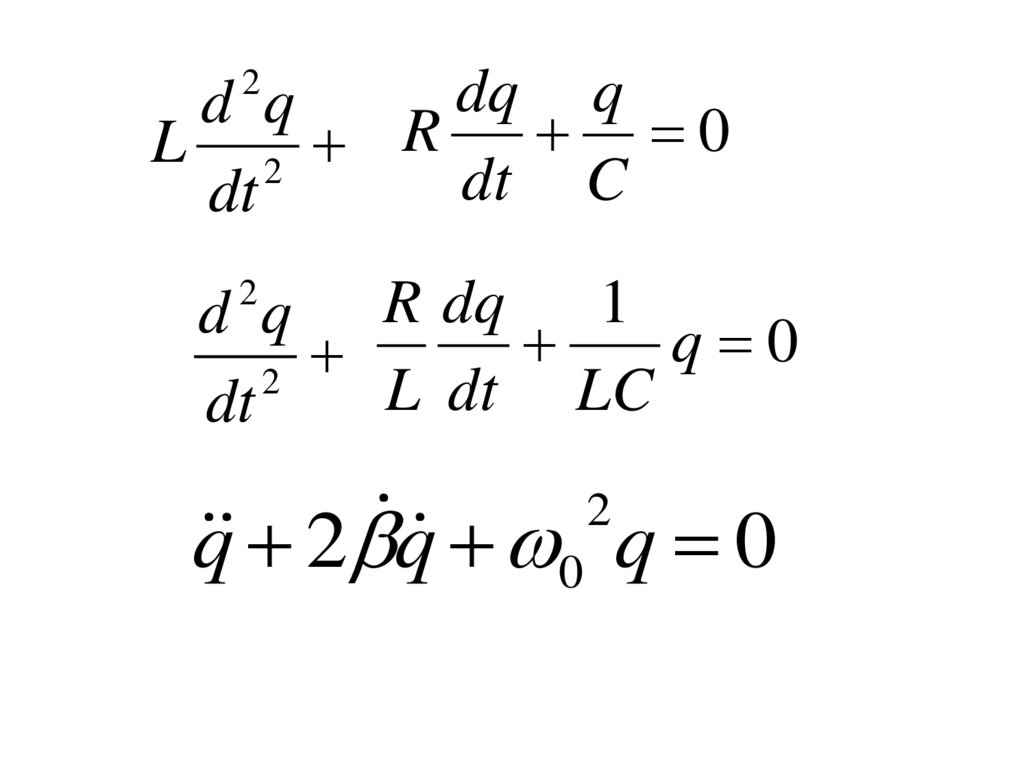
23.

dq q
d q
0
L 2 R
dt C
dt
2
d q R dq 1 q 0
2
L dt LC
dt
2
2
q 2 q 0 q 0

24.

1
0
LC
R
2L
2
q q0 e
t
cos( t )
2
0
2
0
R 0
0
2
1
R
2
LC 4 L

25.

T
0
2
1 L
R C
1
1
LC 2 R
2L

26.

2
0
2
0
2
1
R
2
LC 4 L
L
RКР 2
C
Критическое сопротивление,
при котором прекращаются
колебания
English     Русский Rules