Неопределенный интеграл. Основные методы интегрирования.
Понятие неопределенного интеграла
Свойства неопределенного интеграла
Таблица интегралов
Непосредственное интегрирование
Введение части функции под знак дифференциала.
Метод интегрирования подстановкой (заменой переменной)
Метод интегрирования по частям
Метод интегрирования по частям
530.99K
Category: mathematicsmathematics

Неопределенный интеграл. Основные методы интегрирования

1. Неопределенный интеграл. Основные методы интегрирования.

Понятие неопределенного интеграла
Свойства неопределенного интеграла
Таблица интегралов
Непосредственное интегрирование
Введение части функции под знак
дифференциала
Метод замены переменной
Метод интегрирования по частям
1

2. Понятие неопределенного интеграла

В дифференциальном исчислении решается задача: по данной
функции f(x) найти ее производную.
Интегральное исчисление решает обратную задачу: найти функцию
F(x) , зная ее производную F’(x) = f(x) :
Функция F(x) называется первообразной функции f(x) на
интервале (a; b), если
x a, b : F ( x ) f ( x )
Теорема
Если функция F(x) является первообразной функции f(x) на (a; b),
то множество всех первообразных для f(x) задается формулой:
F(x) + С, где С – постоянное число.
Доказательство:
F ( x ) C f ( x )
F(x) + С – первообразная функции f(x) .2

3.

Множество всех первообразных функций F(x) + С для f(x)
называется неопределенным интегралом от функции f(x) и
обозначается:
f ( x )dx F ( x ) C
Операция
нахождения неопределенного интеграла
от функции
Переменная
Подынтегральная
Подынтегральное
называется
называется интегрированием этой
функции.
интегрирования
функция
выражение
Знак неопределенного
интеграла
Геометрически неопределенный
интеграл представляет собой
семейство параллельных кривых
y = F(x) + С (интегральных
кривых)
y
y = F(x) +
С1
y = F(x) + С2
0
х
y = F(x) + С3
3

4.

4

5. Свойства неопределенного интеграла

Дифференциал от неопределенного интеграла равен
подынтегральному выражению, а производная от
неопределенного интеграла равна подынтегральной функции:
d f ( x )dx f ( x )dx
f ( x )dx f ( x )
Благодаря этому свойству правильность интегрирования
проверяется дифференцированием.
Неопределенный интеграл от дифференциала некоторой
функции равен сумме этой функции и произвольной
постоянной.
dF ( x ) F ( x ) C
Постоянный множитель можно выносить за знак
неопределенного интеграла.
a f ( x ) dx a f ( x ) dx
5

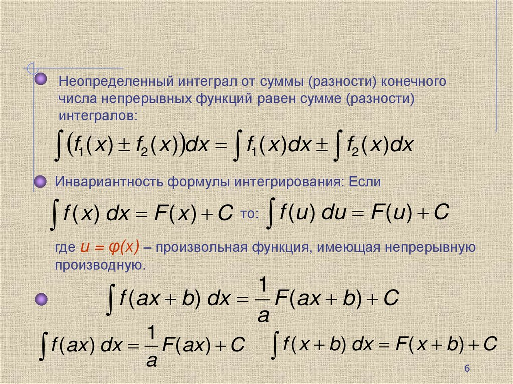
6.

Неопределенный интеграл от суммы (разности) конечного
числа непрерывных функций равен сумме (разности)
интегралов:
f ( x ) f ( x ) dx f ( x )dx f ( x )dx
1
2
1
2
Инвариантность формулы интегрирования: Если
f ( x ) dx F ( x ) C то: f (u ) du F (u ) C
где u = φ(x) – произвольная функция, имеющая непрерывную
производную.
1
f (ax b) dx a F (ax b) C
1
f (ax ) dx a F (ax ) C
f ( x b) dx F ( x b) C
6

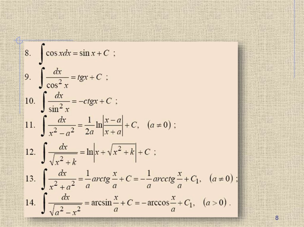
7. Таблица интегралов

7

8.

8

9. Непосредственное интегрирование

Метод интегрирования, при котором данный интеграл путем
тождественных преобразований подынтегральной функции и
применения свойств неопределенного интеграла приводится к
табличным интегралам, называется непосредственным
интегрированием.
e 2x 6 dx e dx 2x dx 6 dx
x
x
e x dx 2 x dx 6 dx e x x 2 6 x C
2
2
1
sin
x
cos
x
2
ctg x dx sin2 x dx sin2 x dx
1
1
1 dx
dx dx
2
2
sin x
sin x
ctg x x C
9

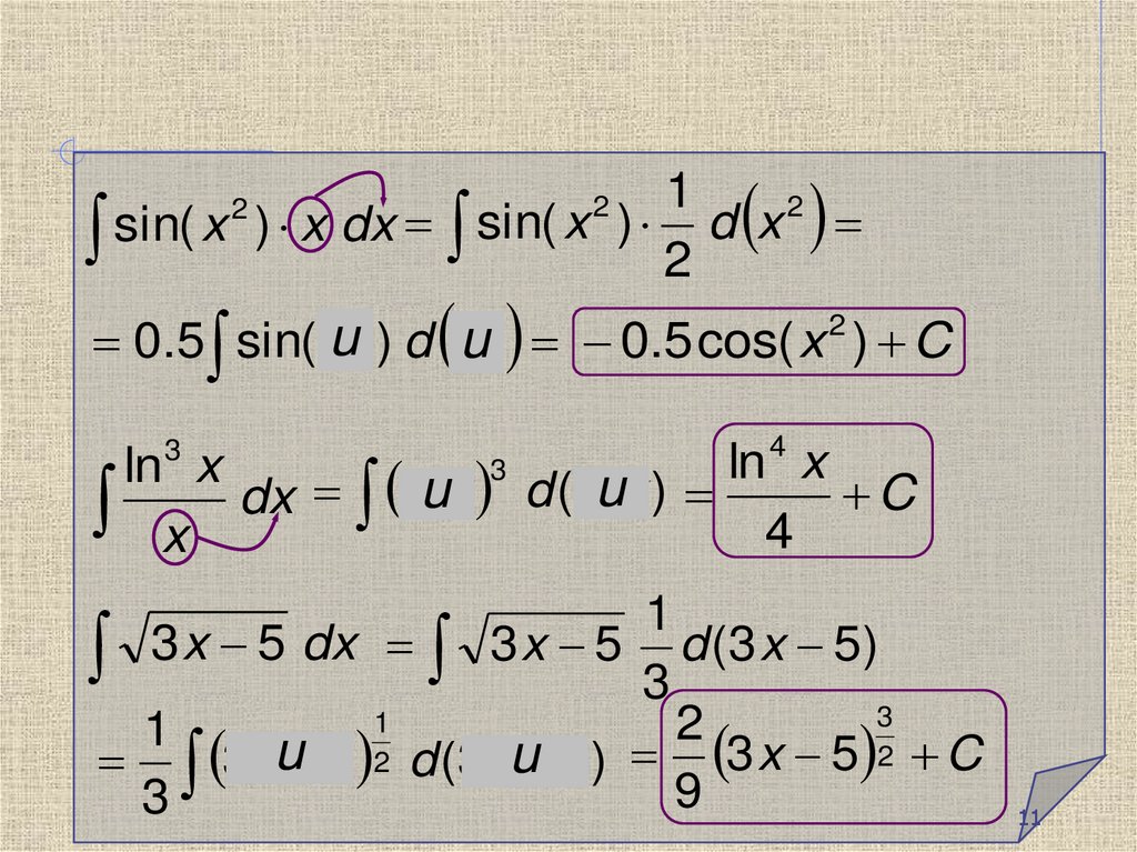
10. Введение части функции под знак дифференциала.

При сведении данного интеграла к табличному часто
применяются следующие преобразования дифференциала
( операция «подведения под знак дифференциала»)
du d (u b )
1
du d (au )
a
1
u du d (u 2 )
2
cos u du d (sin u )
f (u ) du d (f (u ))
du
d (ln u )
u
10

11.

1
2
sin(
x
)
d
x
sin(
x
)
x
dx
2
2
2
0.5 sin( xu2 ) d xu2 0.5 cos( x 2 ) C
4
ln
x
3
ln x
lnux d (lnux )
C
dx
x
4
3
1
3 x 5 dx 3 x 5 3 d (3 x 5)
3
1
2
1
3 xu 5 2 d (3 xu 5) 3 x 5 2 C
9
3
11

12. Метод интегрирования подстановкой (заменой переменной)

Метод интегрирования подстановкой заключается во введении
новой переменной интегрирования.
Пусть требуется вычислить интеграл
f ( x )dx.
Сделаем подстановку: x (t ) , где φ – функция, имеющая
непрерывную производную. Тогда:
dx (t )dt
Получим формулу интегрирования подстановкой:
f
(
x
)
dx
f
(
(
t
))
(t ) dx
Иногда целесообразно подбирать подстановку в виде
t (x )
Тогда подынтегральную функцию нужно представить в виде:
f ( ( x )) ( x ) dx f (t )dt.
t
dt
12

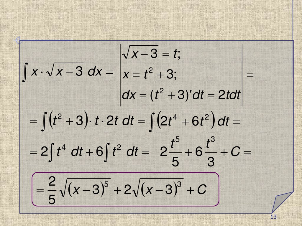
13.

x 3 t;
2
x
x
3
dx
x
t
3;
dx (t 3) dt 2tdt
2
t 2 3 t 2t dt 2t 4 6t 2 dt
5
3
t
t
2 t dt 6 t dt 2 6 C
5
3
2
5
3
x 3 2 x 3 C
5
4
2
13

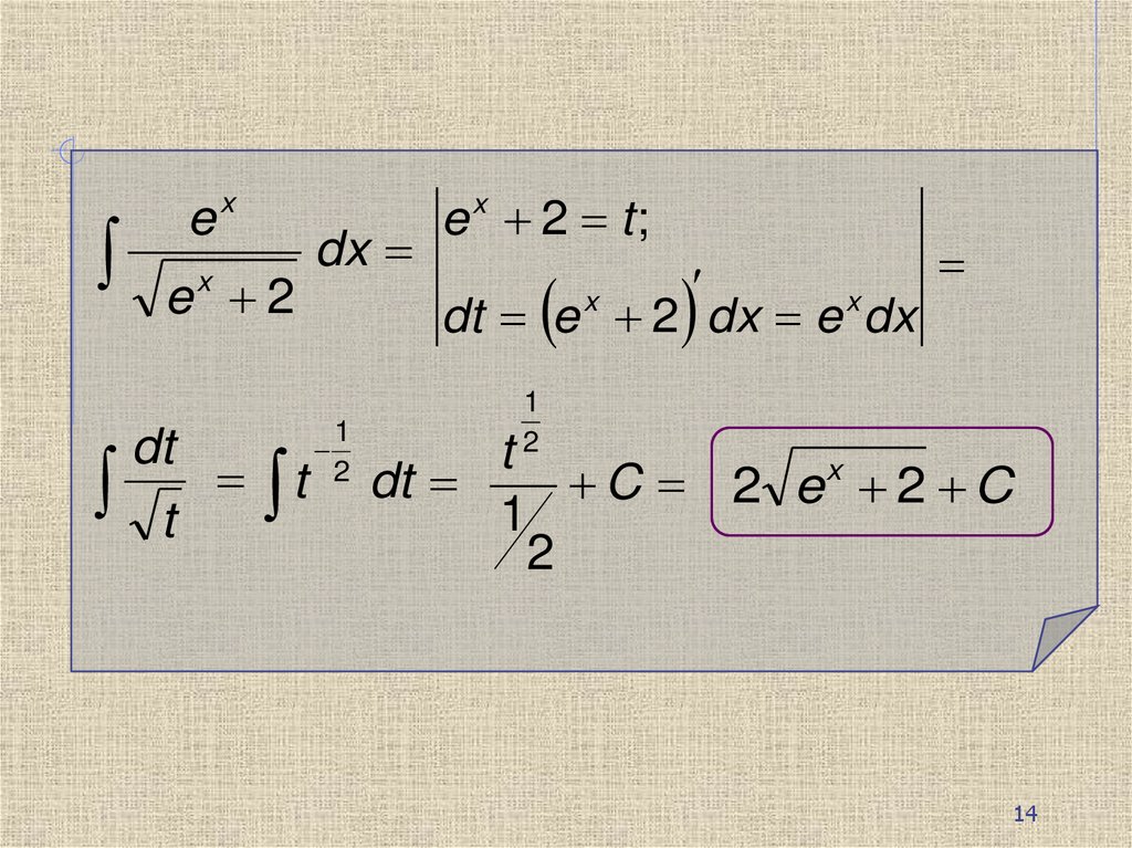
14.

e
x
e 2 dx
x
e x 2 t;
dt e x 2 dx e x dx
1
2
1
dt
t
x
2
t
dt
C
2
e
2 C
t
1
2
14

15. Метод интегрирования по частям

Пусть u = u(x) и v = v(x) - функции, имеющие непрерывную
производную. Тогда:
d (u v ) u dv v du
Интегрируя это равенство, получим:
d (uv ) udv vdu uv udv vdu
udv uv vdu (1)
Формула интегрирования
по частям
Интегрирование
по частям состоит в том, что подынтегральное
выражение представляется в виде произведения двух
сомножителей: u и dv , затем, после нахождения du и v
используется формула (1). Иногда эта формула применяется
несколько раз.
15

16.

Типы интегралов, которые удобно вычислять по частям:
Интегралы вида:
kx
P
(
x
)
e
dx;
P ( x ) sin kx dx; P ( x ) cos kx dx
где: P(x) – многочлен. Удобно положить u = P(x), dv –
остальные сомножители.
Интегралы вида: P ( x ) arcsin kx dx;
P ( x ) arctg kx dx; P ( x ) ln x dx;
Удобно положить dv = P(x)dx, u – остальные сомножители.
Интегралы вида:
ax
e
sin bx dx;
ax
e
cos bx dx
- интегралы, приводящиеся к исходному. За u можно принимать
16
любой сомножитель.

17.

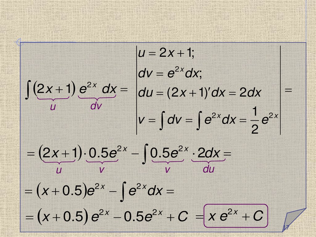
u 2 x 1;
dv e dx;
2x
2x 1 e dx du (2x 1) dx 2dx
dv
u
1 2x
2x
v dv e dx e
2
2x
2 x 1 0.5e 2 x 0.5e 2 x 2dx
u
v
v
du
x 0.5 e 2 x e 2 x dx
x 0.5 e
2x
0.5e
2x
C x e
2x
C
17

18. Метод интегрирования по частям

e x sin 4 x dx
u
dv
u ex;
dv sin 4 xdx;
du (e x ) dx e x dx
1
v dv sin 4 xdx cos 4 x
4
e ( 0.25 cos 4 x ) ( 0.25 cos 4 x e )dx
x
x
0.25e x cos 4 x 0.25 cos 4 x e x dx
0.25e x cos 4 x 0.25 1
I1
18

19.

u e ;
dv cos 4 xdx;
x
1 e x cos 4 x dx
u
du (e x ) dx e x dx
dv
1
v dv cos 4 xdx sin 4 x
4
e x 0.25 sin 4 x 0.25 sin 4 x e x dx
e x 0.25 sin 4 x 0.25
0.25e x cos 4 x 0.25(0.25e x sin 4 x 0.25 )
1 x
e (sin 4 x 4 cos 4 x )
17
19
English     Русский Rules