Степенная функция её свойства и график
3.22M
Category: mathematicsmathematics

Степенная функция её свойства и график

1. Степенная функция её свойства и график

2.

Степенная функция её свойства и график.
Вспомним функции

3.

!

4.

1
2
3
4
5
6

5.

6.

1
2
3
4
5
6

7.

8.

1
2
3
4
5
6

9.

10.

1
2
3
4
5
6

11.

12.

1
2
3
4
5

13.

14.

1
2
3
4
VN

15.

16.

Степенная функция её свойства и график.
Щелкай по строчкам, чтобы увидеть
решение!
т.е.
VN

17.

18.

Степенная функция её свойства и график.
Щелкай по строчкам, чтобы увидеть
решение!
VN

19.

20.

Степенная функция её свойства и график.
Решени
е
1
2
3
VN

21.

Степенная функция её свойства и график.
Решени
е
1
2
1
1
VN
3
1
1
1
1

22.

Степенная функция её свойства и график.
Решени
е
1
VN
1
2
1
1
1
3
-1
1
1
-1

23.

Степенная функция её свойства и график.
Решени
е
1
2
VN

24.

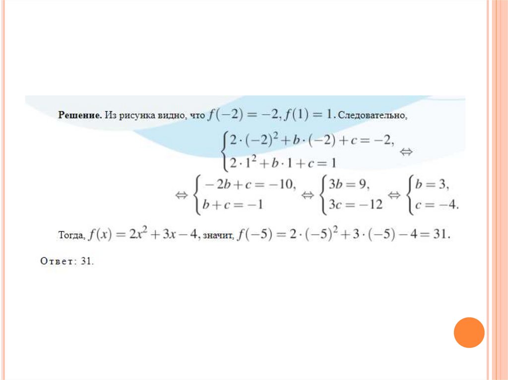
На рисунке изображён график функции
Найдите

25.

26.

27.

28.

1)
2)
English     Русский Rules