Векторное произведение векторов
Свойства векторного произведения
Приложения векторного произведения к задачам геометрии и механики.
Смешанное произведение векторов
Приложения смешанного произведения к задачам геометрии
Модуль 2
Плоскость и её основные уравнения
303.00K
Category: mathematicsmathematics

Векторное произведение векторов

1. Векторное произведение векторов

• Векторным произведением
векторов а и b называется
вектор с , обозначаемый c a b,
который удовлетворяет
следующим трём условиям:

2.

• 1. с | a b | a b sin ;
• 2. c à, c b ,
• 3. тройка a , b , c – правая (т.е.
при наблюдении
из
конца
вектора с кратчайший
поворот от а к b виден
совершающимся против
часовой стрелки.

3.

4. Свойства векторного произведения

(
b
a
)
• 1. a b
b (a b )
• 2. ( a )
c
• 3. a ( b c ) a b a
• 4. a b 0 a || b

5.

• Если a x1 , y1 , z1
b x2 , y2 , z2
то векторное произведение
вычисляется по формуле
i
a b x1
x2
j
y1
y2
k
z1
z2

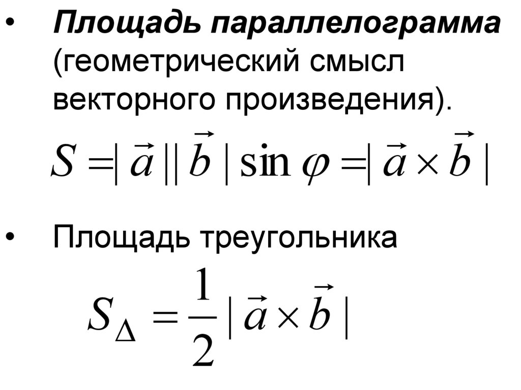
6. Приложения векторного произведения к задачам геометрии и механики.

7.


Площадь параллелограмма
(геометрический смысл
векторного произведения).
S | a || b | sin | a b |
Площадь треугольника
1
S | a b |
2

8.


Момент силы (механический
смысл векторного
произведения).
Пусть точка А твердого тела
закреплена, а в точке
В
приложена сила F . Тогда
возникает вращающий момент
M AB F

9.

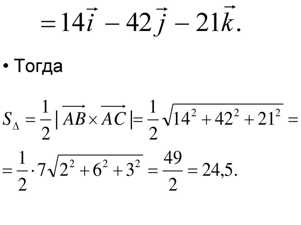
• Пример. Вычислить площадь
треугольника с вершинами
A(7,3,4), B(1,0,6) , C(4,5,-2).

10.

• Решение. Находим векторы
AB ( 6, 3, 2), AC ( 3, 2, 6).
• Вычисляем векторное
произведение

11.

i
j
AB AC 6 3
3
2
3 2
i
j
2 6
k
6 3
3
2
k
2
6
6
2
3 6

12.

14i 42 j 21k .
• Тогда
1
1
2
2
2
S | AB AC |
14 42 21
2
2
1
49
2
2
2
7 2 6 3
24,5.
2
2

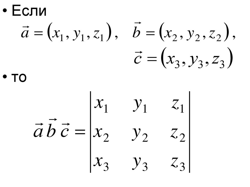
13. Смешанное произведение векторов

• Определение. Смешанным
произведением
трех
векторов
a , b , c называется число
a b c (a b ) c

14.

• Если
a x1 , y1 , z1 , b x2 , y 2 , z 2 ,
с x3 , y3 , z3
• то
x1
а b с x2
x3
y1
y2
y3
z1
z2
z3

15. Приложения смешанного произведения к задачам геометрии

16.


Объём параллелепипеда,
построенного
на векторах
a , b , c (геометрический смысл
смешанного произведения).
V | a b c |
Объём пирамиды
1
V |ab c |
6

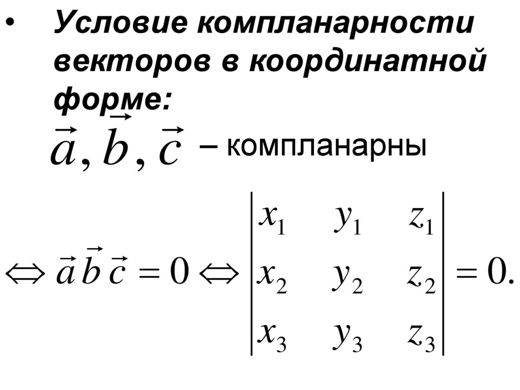
17.


Условие компланарности
векторов в координатной
форме:
– компланарны
a, b , c
x1
a b c 0 x2
x3
y1
y2
y3
z1
z 2 0.
z3

18.

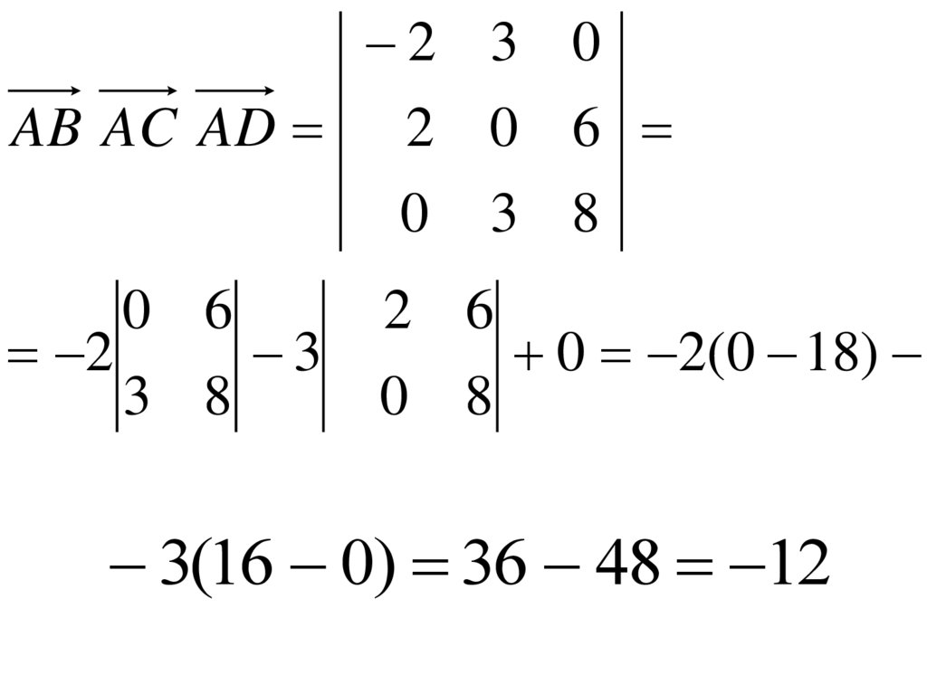
• Пример. Вычислить объём
пирамиды с вершинами в
точках A(2,0,0), B(0,3,0),
C(4,0,6), D(2,3,8).

19.

• Решение. Находим векторы
AB ( 2, 3, 0)
AC (2, 0, 6)
AD (0, 3, 8)
Вычислим смешанное
произведение этих векторов:

20.

2 3 0
AB AC AD 2 0 6
0 3 8
0 6
2
3
3 8
2 6
0 2(0 18)
0 8
3(16 0) 36 48 12

21.

• Тогда
1
| 12 |
V | AB AC AD |
2.
6
6

22.

23. Модуль 2

АНАЛИТИЧЕСКАЯ ГЕОМЕТРИЯ

24. Плоскость и её основные уравнения

• Рассмотрим плоскость P в
прямоугольной декартовой
системе координат.

25.

• Положение плоскости вполне
определяется
точкой
M 0 ( x0 , y 0 , z 0 ) P
и вектором нормали
n ( A, B, C ) P (n 0)

26.

27.

• Возьмём любую точку
M ( x, y, z ) P
и построим вектор
M 0 M ( x x0 , y y 0 , z z 0 )

28.

• Так как n M 0 M , то скалярное
произведение
n M 0 M 0,
или
A( x x 0 ) B( y y 0 ) C ( z z 0 ) 0.

29.

• Получили уравнение плоскости,
заданной
точкой M 0 ( x 0 , y 0 , z 0 )
и вектором нормали n ( A, B, C )

30.

• Если в уравнении
A( x x0 ) B( y y0 ) C ( z z0 ) 0
раскрыть скобки и обозначить
D Ax 0 By 0 Cz 0
то получим общее уравнение
плоскости:
Ax By Cz D 0
( A B C 0)
2
2
2

31.

• Теорема. Всякое уравнение
вида
Ax By Cz D 0
( A B C 0)
2
2
2
определяет некоторую
плоскость в пространстве.

32.

• Если в этом уравнении какойлибо из коэффициентов A, B, C
равен нулю, то плоскость
расположена параллельно той
оси, координата которой
отсутствует в уравнении.

33.

• Например, при A = 0 плоскость
By + Cz + D = 0 параллельна оси
Ox; при A = B = 0 плоскость Cz +
D = 0 параллельна осям Ox и
Oy, т.е. плоскости xOy и т.д.

34.

• Пусть в уравнении
Ax By Cz D 0
ни один из коэффициентов не
равен 0. Перепишем это
уравнение в виде
Ax By Cz D
разделим обе части этого
равенства на - D и обозначим

35.

D
D
D
a, b, c
A
B
C
Получим уравнение плоскости
в отрезках:
x y z
1,
a b c

36.

• где a, b, c – это величины
направленных отрезков,
отсекаемых плоскостью на осях
координат

37.

38.

• Если три точки M ( x , y , z )
1
1
1
1
M 2 ( x2 , y 2 , z 2 )
M 3 ( x3 , y 3 , z 3 )
не лежат на одной прямой, то
через эти точки проходит
единственная плоскость:

39.

40.

• Уравнение плоскости,
проходящей через три точки,
имеет вид:
x x1
x 2 x1
x3 x1
y y1
y 2 y1
y 3 y1
z z1
z 2 z1 0.
z 3 z1

41.

• Пусть даны две
P1 : A1 x B1 y C1 z D1 0
и
P2 : A2 x B2 y C2 z D2 0
• Угол φ между
плоскостями
равен углу между
их векторами
нормали:

42.

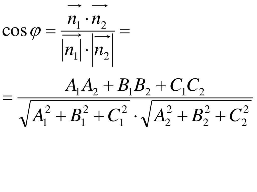
cos
n1 n2
n1 n2
A1 A2 B1 B2 C1C2
A B C A B C
2
1
2
1
2
1
2
2
2
2
2
2

43.

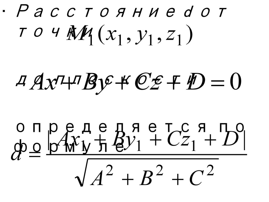
• Расстояние d от
точки
M 1 ( x1 , y1 , z1 )
до
Axплоскости
By Cz D 0
определяется по
|
Ax
By
Cz
D
|
1
1
1
формуле
d
2
2
2
A B C

44.

• Пример. Даны две
точки
M 1 ( 2, 0, 1)
M (1, 4, 2)
2
Записать
уравнение
M 1M 2 .
плоскости,
проходящей через
точку M1
перпендикулярно

45.

• Решение.
Поскольку
искомая
M 1M 2
плоскостьn
перпендикулярна
M 1 M 2 (3, 4, 1)
вектору
, то в
качестве вектора
нормали
возьмем вектор

46.

47.

• Подставив теперь

(x
x0 ) B( y y 0 ) C ( z z 0 ) 0
уравнение
A 3, B 4, C 1
а
также
x0 2, y 0 0, z 0 1
координаты точки
M1:
получим

48.

3( x 2) 4( y 0) 1( z 1) 0
или
3x 4 y z 5 0
– это и есть
искомое общее
уравнение
плоскости
English     Русский Rules