Трёхшарнирные рамы
Рис. 5.2.
Рамы могут состоять из главных и второстепенных элементов
Алгоритм расчёта рам на действие постоянных нагрузок
Кинематический анализ: количественный анализ
Структурный анализ
839.36K
Category: mathematicsmathematics

Статически определимые рамы. Лекция 8

1.

Лекция 8
Статически
определимые
рамы

2. Трёхшарнирные рамы

С
А
В
Рис. 5.1
Трёхшарнирная рама – это система состоящая
из двух ломаных стержней, соединённых между
собой ключевым цилиндрическим шарниром (С)
и пятовыми шарнирами (А и В) с диском
«земля».

3. Рис. 5.2.

Рамы являются геометрически неизменяемыми,
если все три шарнира не лежат на одной
прямой. Пятовые шарниры обычно
располагаются на одном уровне, если нет, то
такие рымы называют «ползучими».

4.

Рис. 5.3. Рама с затяжкой

5.

В трёхшарнирных системах от
действия вертикальной нагрузки
возникают опорные реакции,
вертикальные и горизонтальные
составляющие которых отличны от
нуля. Такие системы называют
распорными, а горизонтальные
составляющие опорных реакций –
распорами ( на рис. 5.4. это HA и HB).

6. Рамы могут состоять из главных и второстепенных элементов

Рис. 5.5.

7.

Главнаячасть
Второстепеннаячасть

8.

Рабочая схема – это схема
взаимодействия главных и второстепенных
частей и элементов рамы, показывающая
порядок передачи нагрузки.
Главная часть это та часть, которая
может самостоятельно воспринимать
заданную нагрузку.
Второстепенная часть это та часть,
которая теряет несущую способность, если
отбросить соседние части. Она опирается на
главную часть.

9.

Грузовой участок – часть стержня, для
которого эпюра напряжения описывается
единой формулой.

10. Алгоритм расчёта рам на действие постоянных нагрузок

1. Кинематический анализ
2. Рабочая схема
3. Определение опорных реакций
Расчет производят, начиная с верхнего
элемента, воздействие (опорная реакция)
передается от верхнего к нижнему элементу с
обратным знаком (третий закон Ньютона).
4. Построение эпюры изгибающих
моментов

11.

5. Построение эпюры поперечных сил
Эпюру поперечных сил строят по эпюре
моментов, используя два подхода. Вопервых, значения поперечной силы на
грузовых участках находят как первую
производную от функции моментов
dM
Q tg
ds
Во-вторых, значения поперечной силы на
грузовых участках можно определить,
рассматривая равновесие элемента (из
уравнений статики).

12.

Первый подход используют для тех участков, в
пределах которых изгибающий момент
меняется по линейному закону.
Второй подход – для грузовых участков,
загруженных равномерно распределённой
нагрузкой.
6. Построение эпюры продольных сил
Для построения эпюры продольных сил
используют метод вырезания узлов. С эпюры
поперечных сил в узел выставляют значения
внутренних усилий и уравновешивают их
значениями продольной силы.

13.

Расчёт статически определимой рамы
на действие постоянной нагрузки с
определением перемещений

14. Кинематический анализ: количественный анализ

15.

С03
С05
С04
С01
С02

16.

Н1
Н2
С03
С05
С04
С01
С02

17.

Количественный анализ
3Д-(2Н+С0)≤0
Д=3, Н=2, С0=5
3×3-(2×2+5)=9-9=0
Вывод:
1) Рам является статически определимой
системой;
2)выполняется необходимое, но не достаточное
условие геометрической неизменяемости
рамы.

18. Структурный анализ

Н1
Н2
Д3
Д1
Д2
Д0
С05
С04
С01
С02
С03

19.

Три диска (Д0, Д1, Д2) соединяются
тремя шарнирами, не лежащими на одной
прямой. Эти диски образуют геометрически
неизменяемую систему.
К этой геометрически неизменяемой
системе шарниром и опорной связью
присоединяется диск Д3 . Шарнир не лежит
на линии опорной связи.
Вывод: Настоящая рама является статически
определимой, геометрически неизменяемой
системой (ГНС), поэтому дальнейший расчет
имеет смысл.

20.

Рабочая схема

21.

2) Определение опорных реакций
Расчет производят, начиная с верхнего
элемента, воздействие (опорная
реакция) передается от верхнего к
нижнему элементу с обратным знаком
(третий закон Ньютона).

22.

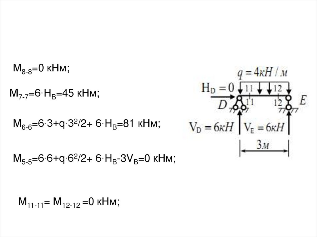
Определение опорных реакций во
второстепенной части (простая балка со
стандартной нагрузкой):
∑Fy=0 => VD=VE=q∙ℓ/2=6кН

23.

Определение
опорных реакций в
главной части
рамы:
∑mA=0;
M + 3F + 6∙6q - 6VВ + 9·6
= 0;
6VВ = 36 + 72 + 144 + 54;
VВ=51кН;
∑mВ=0; M + 3∙6 + 6VА - 3F - 6q·0 = 0
6VА = - 36 – 18 + 72
VА = 3кН
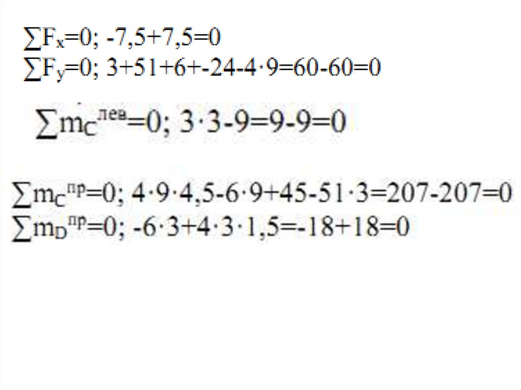
Проверка: ∑Fy = 0;
3 + 51 – 24 - 6∙4 – 6 = 0;
54-54=0; 0=0 верно.

24.

25.

∑mСпр=0;
3·6q+6·6+6НВ-3VВ=0
6НВ=-72-36+153;
НВ=7,5кН;
Проверка: ∑Fx=0;
НА-НВ=0;
7,5-7,5=0;
0=0 верно.

26.

Построение эпюр внутренних усилий в
раме.
Первой строят эпюру изгибающихМмоментов
1-1=36кНм;
М
М2-2=М-6HA=-9 кНм;
М3-3=9 кНм;
М4-4=М-6HA+3VA=0 кНм;
М10-10=0 кНм;
М9-9=6∙3+q∙32/2=
=36 кНм;

27.

М8-8=0 кНм;
М7-7=6∙HB=45 кНм;
М6-6=6∙3+q∙32/2+ 6∙HB=81 кНм;
М5-5=6∙6+q∙62/2+ 6∙HB-3VB=0 кНм;
М11-11= М12-12 =0 кНм;

28.

29.

Эпюру поперечных сил строят по эпюре
моментов, используя два подхода.
Первый способ:

30.

второй способ:
третий грузовой участок

31.

32.

пятый грузовой участок

33.

34.

Для построения эпюры продольных сил
используют метод вырезания узлов. С
эпюры поперечных сил в узел выставляют
значения внутренних усилий и
уравновешивают их значениями продольной
силы.

35.

36.

Проверка равновесия отсечённой части
(ригеля):

37.

38.

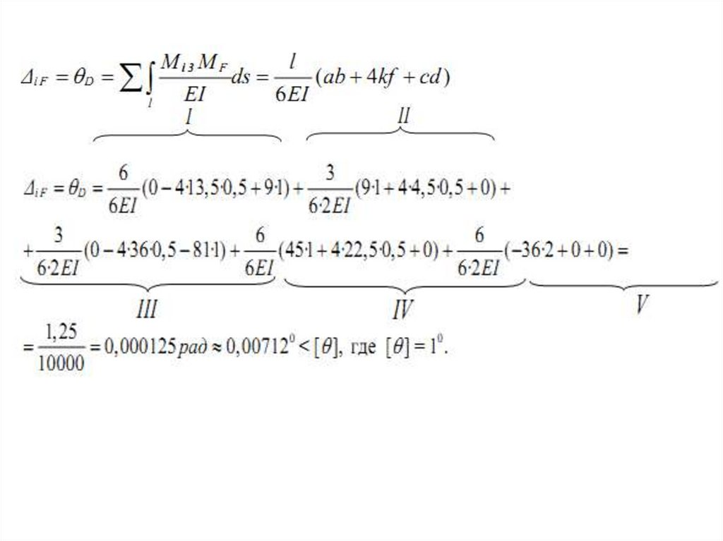
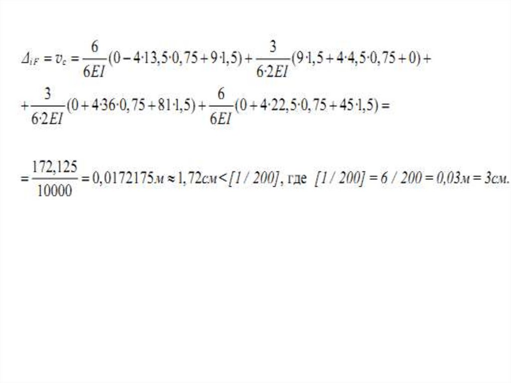
Определение перемещений
При жесткости EI=10000кНм2 требуется
определить вертикальное vC и
горизонтальное uC перемещения точки С, а
также взаимный угол поворота θD
точки D.

39.

Построение эпюр моментов от единичных
силовых воздействий, соответствующих
определяемым перемещениям

40.

41.

42.

43.

44.

45.

fc
2
2
u c vc

46.

47.

48.

The end
English     Русский Rules