1.18M
Category: mathematicsmathematics

Интегрирование рациональных функций

1.

Первое высшее техническое учебное заведение России
Санкт-Петербургский горный университет императрицы
Екатерины II
Раздел: НЕОПРЕДЕЛЁННЫЙ ИНТЕГРАЛ
Лекция 9
24.05.2025
ИНТЕГРИРОВАНИЕ РАЦИОНАЛЬНЫХ
ФУНКЦИЙ
кафедра высшей математики
1/15

2.

Алгебраические
функции
1. целая рациональная функция (алгебраический многочлен
или полином):
n
y = Pn ( x) = a 0 x + a1 x
2. дробная рациональная функция
(рациональная дробь):
n -1
+ a2 x
n-2
+ ... + a n -1 x + a n ,
Qm ( x )
R( x) =
Pn ( x)
3. иррациональная функция:
y = 2x + 3
2/15
2
3
y = x +2 x

3.

Разложение на множители многочлена
Многочлен Pn ( x), n > 0 разделим на двучлен x - c ,
где c – произвольное число:
Pn ( x) = (x - c )Qn -1 ( x) + Pn (c),
где Qn-1 ( x) – алгебраический многочлен степени n–1.
Если c – корень многочлена Pn (x) , то он делится без остатка на x - c :
Pn (c) = 0
Pn ( x) = (x - c )Qn -1 (x )
Многочлен
3
2
f ( x) = x - 6 x + 11x - 6
f (1) = 0
делится без остатка на (х–1)
(
f ( x) = (x - 1) x - 5 x + 6
3/15
2
)

4.

Основная теорема высшей алгебры:
Всякий многочлен Pn (x) степени n > 0 имеет, по крайней мере,
один корень, вещественный или комплексный.
Следствие. Всякий многочлен Pn (x) может быть представлен в виде:
Pn ( x) = a 0 (x - c1 )( x - c 2 ) L ( x - c n ), где c1 , c 2 ,..., c n – корни многочлена Pn (x) .
(
f ( x) = (x - 1) x - 5 x + 6
f ( 2) = 0
2
)
f ( x) = (x - 1)(x - 2 )(x - 3)
f (3) = 0
Теорема. Если значения двух многочленов n-й степени совпадают при
n+1 различных значениях аргумента, то эти многочлены
тождественно равны.
4/15

5.

Если корень сm встречается k раз , то сm - корень кратности k
k
(
)
x
c
В разложении многочлена есть множитель
m
Если кратность корня равна 1, то это простой корень
f ( x) = x - 5 x +8 x - 4 = (x - 2) (x - 1)
3
2
2
c1 = 2 – двукратный корень
c 2 = 1 – простой корень
Если a + ib – корень многочлена Pn (x ) с действительными коэффициентами,
то сопряжённое число a - ib тоже корень.
[x - (a + ib )][x - (a - ib )]= [(x - a )- ib][(x - a )+ ib]=
2
2
2
2
2
= (x - a ) + b = x - 2ax + a + b .
5/15

6.

Произведение 2–х линейных множителей (соответствуют паре
сопряженных комплексных корней) – квадратный трехчлен:
2
x + px + q
p = -2a, q = a + b
2
2
2
p - 4q < 0
Вывод: алгебраический многочлен степени n с вещественными
коэффициентами можно представить через произведение
вещественных линейных и квадратичных множителей:
Pn ( x) = a0 (x - c1 ) ...( x - cr )
k1
kr
(x + p x + q ) ...(x + p x + q ) ,
2
1
1
l1
2
k1 + k 2 + ... + k r + 2l1 + 2l 2 + ... + 2l s = n.
4
2
f ( x) = x + 2 x - 8 x + 5
(
)
f ( x) = x 2 + 2 x + 5 (x - 1)2
x =1
– двукратный корень
x = -1 ± 2i – простые корни
6/15
s
s
ls

7.

Рациональная R( x) = Qm ( x) ,
m
m -1
Qm ( x) = b0 x + b1 x
+ L + bm-1 x + bm
дробь:
Pn ( x)
m<n
правильная дробь
Pn ( x) = a0 x n + a1 x n-1 + L + a n-1 x + a n
N ( x)
R( x) = M ( x) +
Рn ( x )
m ³ n неправильная дробь
f ( x) =
x
4
2
x - x +1
f ( x) = x + x -
x4
x2 – x + 1
x 4 – x 3+ x 2 x 2 +x
целая часть
3
2
x –x
P2 ( x)
x
2
правильная дробь
целая часть
Q4 ( x )
x 3– x 2+ x
2
x - x +1
–x
7/15
остаток

8.

ПРОСТЕЙШИЕ ДРОБИ
– правильные рациональные дроби вида:
I
тип
корни знаменателя
действительные
A
(x - a )
II
тип
III
тип
A
(x - a )
k
k ³ 2, k Î N
корни знаменателя
комплексные
Mx + N
2
x + px + q
IV
тип
(x + px + q )
2
l
l³2
2
p - 4q < 0
Qm ( x )
Всякую правильную рациональную дробь P ( x)
n
Mx + N
с вещественными коэффициентами,
можно представить в виде суммы простейших дробей
Знать разложение знаменателя на простейшие множители
k
2
l
(x - a )
x + px + q
(
8/15
)

9.

Интегрирование простейших дробей 1–го и 2–го типа
ó A dx
d
(
x
а
)
ó
= A ln x - a + C
ô
=
A
ô
õ x-a
õ x-a
A
ó
dx
ô
õ (x - a )m
= Aò(x - a )
-m
A(x - a )
=
- m +1
- m +1
d ( x - а)
+C
A
1
=
×
+
С
(1 - m ) (x - a )m-1
9/15

10.

Интегрирование простейшей дроби 3–го типа
Ax + B
ò x 2 + px + q dx =

2
2
p
p p
x + px + q = ( x + 2 x +
)+ q 4
2
4
2
2
p 2 4q - p 2
= (x + ) +
2
4
2
p
4
q
p
x 2 + px + q = ( x + ) 2 + a 2 , a 2 =
> 0,
2
4
p
t = x + , Ax + B = A(t - p ) + B = At + ( B - Ap ), D = B - Ap
2
2
2
2
At + D
2
2
dt
A
2
t
A
d
(
t
+
a
)
1
t
dt
D
=
=
dt
+
+ D arctg =
ò
ò
2
2
2
2
2
2
ò
2
2
2
t +a
t +a
t +a
2
t +a
a
a
d (t 2 + a 2 ) = 2tdt
A
2 B - Ap
2x + p
A
D
t
2
2
2
arctg
+ C.
= ln(t + a ) + arctg + C = ln( x + px + q) +
2
2
2
2
a
a
4q - p
4q - p
10/15

11.

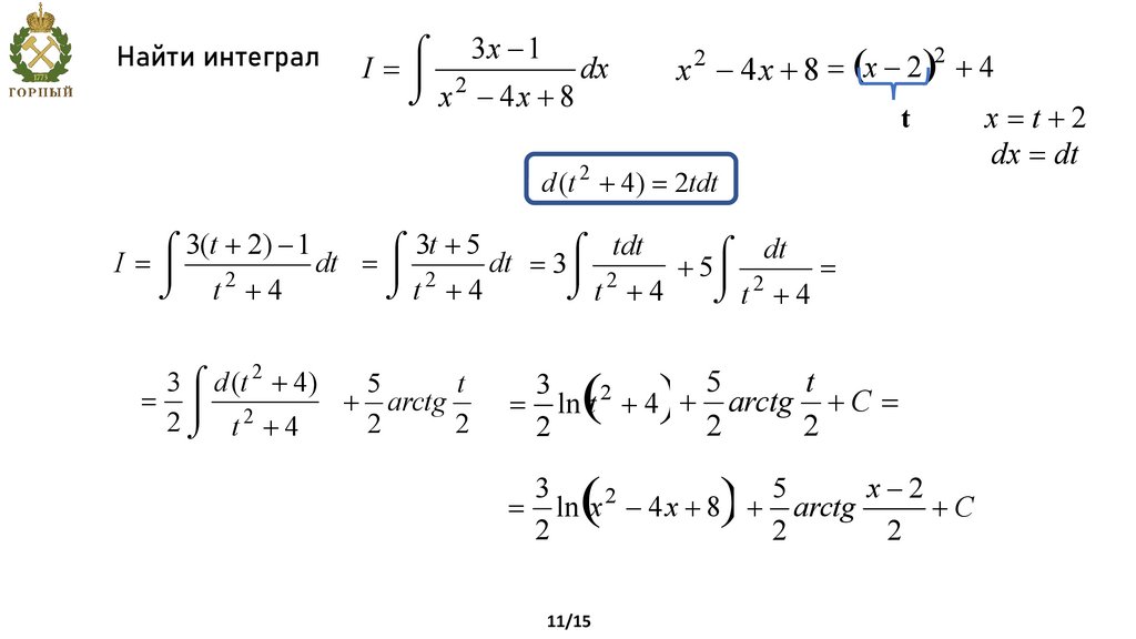
Найти интеграл
3x - 1
ó
I =ô 2
dx
õ x - 4x + 8
x - 4 x + 8 = (x - 2 ) + 4
t
х=t+2
dх = dt
2
2
d (t 2 + 4) = 2tdt
3(t + 2) - 1
3t + 5
tdt
ó
ó
dt
ó
ó
I =ô
dt
=
dt
= 3ô 2
+ 5ô 2
=
ô 2
2
õ t +4
õt +4
õt +4
õt +4
3 ó d (t 2 + 4)
5
t
= ô 2
+ arctg
2õ t +4
2
2
(
)
5
t
3
2
= ln t + 4 + arctg + C =
2
2
2
(
)
3
5
x-2
2
= ln x - 4 x + 8 + arctg
+C
2
2
2
11/15

12.

Интегрирование простейшей дроби 4–го типа
At + D
Ax + B
dt
А
d
(
t
+
a
)
+ Dò 2
dt
dx
=
=
2 к
ò 2
ò
ò
2
2
к
к
2
2 к
(
t
+
a
)
2
(
t
+
a
)
(t + a )
( x + px + q )
2
Ik = ò
dt
(t 2 + a 2 ) k
U=
1
(t 2 + a 2 ) k
dV = dt ,
=
t
2 k + 2k ò
(t 2 + a )
t 2 dt
(t 2 + a 2 ) k +1
(t 2 + a 2 ) - a 2
2
A
Ik
2( k - 1 )( t 2 + a 2 ) k -1
[
]dt = 2 - 2kt2 k +1 dt
2 -k ¢
2
dU = (t + a )
(t + a )
V =t
Ik =
t
2
+
2
kI
2
ka
I
k
k +1
2
2 k
(t + a )
dt
2
dt
ò (t 2 + a 2 ) k +1 dt = ò (t 2 + a 2 )k - a ò (t 2 + a 2 )k +1
12/15

13.

Разложение правильных дробей на простейшие
связано с разложением знаменателя Q n(x) на простые множители
1. Каждому множителю (x–a) в разложении Qn(x)
соответствует одна простейшая дробь 1 го типа
A
x-a
Ak
A1
A2
+
+
...
+
.
2
k
x
a
(
x
a
)
(
x
a
)
соответствует сумма k дробей 1 го и 2 го типа:
2. Корню знаменателя k – ой степени
3. Множителю
x 2 + px + q
( x - a) k
в разложении знаменателя
соответствует одна простая дробь 3 го вида
Ax + B
x 2 + px + q
4. Множителю ( x 2 + px + q ) k соответствует A x + B
Ak x + Bk
A2 x + B2
1
1
+ 2
+ ... + k
.
2
2
k
сумма k дробей 3 го и 4 го типа:
x + px + q ( x + px + q)
( x + px + q)
13/15

14.

Найти интеграл
I =ò
Разложим рациональную
дробь на простейшие:
2x3 + x 2 + x + 2
2
2x 3 + x 2 + x + 2
( x - 1) 2 ( x 2 + x + 1)
2
( x - 1) ( x + x + 1)
x2 + x +1
( x - 1)( x 2 + x + 1)
A1
=
x -1
+
dx.
A2
( x - 1)
+
2
( x - 1) 2
Mx + N
x2 + x +1
2 x 3 + x 2 + x + 2 = A1 ( x - 1)( x 2 + x + 1) + A2 ( x 2 + x + 1) + ( Mx + N )( x 2 - 2 x + 1)
3
2
2 x + x + x + 2 = x 3 ( A1 + M ) + x 2 ( A2 + N - 2 M ) + x ( A2 + M - 2 N ) + ( - A1 + A2 + N )
приравняем
коэффициенты при
одинаковых степенях:
2
1
14/15
1
2

15.

Первое высшее техническое учебное заведение России
Санкт-Петербургский горный университет императрицы
Екатерины II
15/15
English     Русский Rules