Неравенства с параметром
Линейные неравенства с параметром
Пример 1
Пример 2
Пример 3
Пример 4
Квадратные неравенства с параметром
Пример 5
Пример 5. Решить неравенство   при всех значениях параметра a.
Пример 5. Решить неравенство  при всех значениях параметра a.
Неравенства с параметром, содержащие модуль
Неравенства с параметром, содержащие модуль
Неравенства с параметром, содержащие модуль
Неравенства с параметром, содержащие модуль
Неравенства с параметром, содержащие модуль
Пример 7
Пример 7. Найдите все значения a, при каждом из которых решения неравенства |3x-a|+2≤|x-4| образуют отрезок длины 1.
Пример 7. Найдите все значения a, при каждом из которых решения неравенства |3x-a|+2≤|x-4| образуют отрезок длины 1.
Пример 7. Найдите все значения a, при каждом из которых решения неравенства |3x-a|+2≤|x-4| образуют отрезок длины 1.
Задание 1 (самостоятельно)
Иррациональные неравенства с параметром
Логарифмические неравенства с параметром
Комбинированные неравенства с параметром
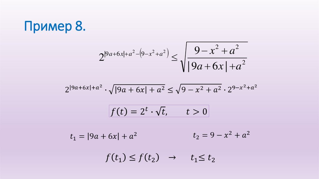
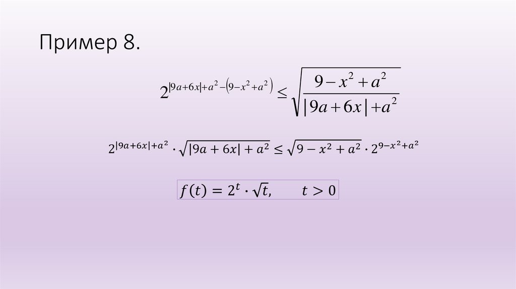
Пример 8.
Пример 8.
Пример 8.
Пример 8.
Пример 8.
Найдите все значения параметра a, при каждом из которых неравенство √(6+x-x^2 )/(x-2a)≤√(6+x-x^2 )/(2x-2a+4) имеет ровно два
План решения (пример 9)
1.54M
Category: mathematicsmathematics

Неравенства с параметром

1. Неравенства с параметром

2. Линейные неравенства с параметром

ax b
a 0
a 0
a 0 (0 x b )
b
x
a
b
x
a
b 0
b 0
решений нет
x R

3. Пример 1

Для всех значений параметра k решить уравнение (k + 4)х 2k - 1

4. Пример 2

Найти область определения функции
English     Русский Rules