1.16M
Category: mathematicsmathematics

Дифференциал функции. Производные и дифференциалы высших порядков

1.

Первое высшее техническое учебное заведение России
Санкт-Петербургский горный университет императрицы
Екатерины II
ДИФФЕРЕНЦИАЛЬНОЕ ИСЧИСЛЕНИЕ
ФУНКЦИЙ ОДНОЙ ПЕРЕМЕННОЙ
ЛЕКЦИЯ 3
Дифференциал функции.
Производные и дифференциалы высших
порядков.
18.03.2025
г. СанктПетербург
2025
1/14

2.

Содержание лекции
•Понятие дифференциала
•Геометрический смысл дифференциала.
•Свойства дифференциала
•Приложения к приближенным вычислениям.
•Производные и дифференциалы высших
порядков
2|14

3.

Дифференциал функции
Пусть функция y = f ( x) дифференцируема в точке тогда x0
Dy = f '()(),
x0 Dx + a Dx Dx
Линейная часть
a ( Dx) ® 0 ( Dx ® 0)
Нелинейная часть
x0
Дифференциал функции y = f ( x) в точке
это линейная относительно Dx часть приращения функции в
этой точке
dy = f '()'()
x0 Dx = f
x0 dx
dx -дифференциал независимой переменной: dx = Dx
f '()x
dy
=
dx
3|14

4.

Геометрический смысл дифференциала функции
Y
y = f ( x)
M
Dy
P1
M0
P
0
Dx
X
Dy = PP1 + P1 M = dy + P1 M
Дифференциал функции в точке x0 геометрически
представляет собой приращение ординаты касательной к
графику функции в этой точке на интервале Dx
4|14

5.

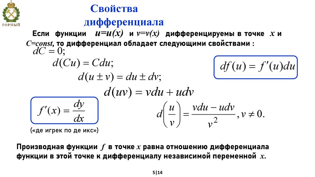
Свойства
дифференциала
,
.
Если функции u=u(x) и v=v(x) дифференцируемы в точке x и
С=const, то дифференциал обладает следующими свойствами :
dC = 0;
d (Cu ) = Cdu;
d (u ± v) = du ± dv;
dy
f ¢( x) =
dx
(«де игрек по де икс»)
df (u ) = f ¢(u )du
.
d (uv) = vdu + udv
æ u ö vdu - udv
dç ÷ =
,
v
¹
0
.
2
v
è ø
v
Производная функции f в точке х равна отношению дифференциала
функции в этой точке к дифференциалу независимой переменной х.
5|14

6.

Инвариантность формы дифференциала
, т.е.
Если х- независимая переменная, а у=f(x) – дифференцируемая
функция, то dy = y ¢x × dx
Пусть x = х (t ) дифференцируемая функция одной переменной
и dx = x 't × dt . Для сложной функции y=y(x(t)) :
dy
dy
dx
dy = yt¢ × dt =
× dx = y ¢x dx
× × dt =
dx
dx dt
Свойство инвариантности (независимости) формы 1-го
дифференциала по отношению к аргументу:
дифференциал функции не зависит от того, является ли
аргумент функцией или независимой переменной
6|14

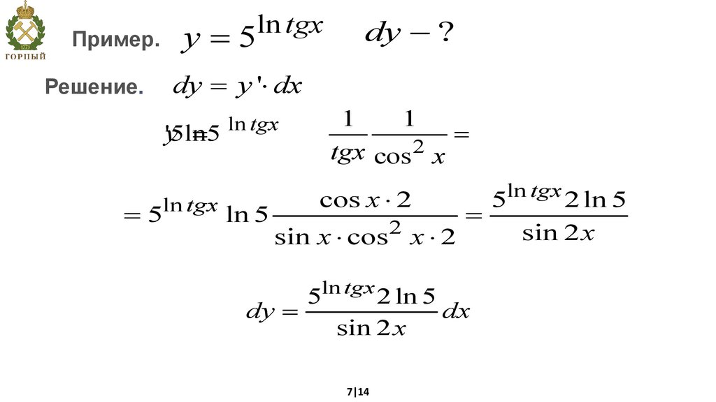
7.

ln tgx
y=5
Пример.
dy - ?
dy = y '× dx
Решение.
'5ln5
y =
ln tgx
=5
1
1
=
tgx cos 2 x
ln tgx
ln 5
cos x × 2
2
sin x × cos x × 2
dy =
ln tgx
5
=
2 ln 5
dx
sin 2 x
7|14
ln tgx
5
2 ln 5
sin 2 x

8.

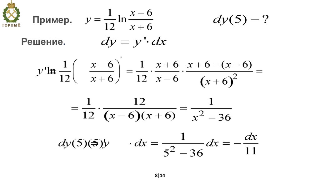
Пример.
1
x-6
y=
ln
12 x + 6
dy (5) - ?
dy = y '× dx
Решение.
1 æ
y 'ln
=
ç
12 è
'
x-6ö
1 x + 6 x + 6 - ( x - 6)
×
×
=
÷ =
2
x+6ø
12 x - 6
(x + 6 )
1
12
1
=
×
=
2
12 ( x - 6 )( x + 6)
x - 36
dy (5)(5)'
= y
1
dx
× dx =
dx = 2
11
5 - 36
8|14

9.

Применение дифференциала
в приближенных вычислениях
Dy = f '()()
x0 Dx + a Dx Dx »
Dy » dy ,
Dx ® 0
f ()()'(),
x0 + Dx - f x0 » f
x0 Dx
f ()()'()
x0 + Dx » f x0 + f
Пример.
39 =
Рассмотрим функцию
36 + 3 »
f ( x) = x
1
2 36
×3 =
= 6 + 1 = 6, 25
4
x + Dx » x + ( x )¢Dx
1
2 х
x0 Dx
36 +
Dx
f '()x0 Dx = dy
9|14

10.

Производные высших порядков
Пусть функция f(x) имеет производную
во всех точках интервала (a,b)
¢
f ¢¢( x ) = ( f ¢( x ) )
задана функция f ¢(x)
¢
¢
y¢¢ = (y )
Производной от функции f порядка n называется 1–я
производная от производной (n-1)-го порядка от функции f
f
( n)
(
( x) = f
( n-1 )
( x)
)
¢
y
( n)
(
= y
)
( n-1 ) ¢
Функция f(x) называется n раз дифференцируемой на интервале (a,b),
если существуют ее производные до порядка n
10|14

11.

Дифференциалы высших порядков
Пусть функция y=f(x) дифференцируема на интервале (a;b).
Тогда ее дифференциал dy = f ¢( x ) dx
функция только х
Дифференциал 2 -го порядка от функции y=f(x) в точке х – это дифференциал от 1–го
дифференциала:
2
¢¢
¢
¢¢
¢
2
y
dx
d y = d (dy ) = d ( f ( x)dx ) = dx = const = dx × d ( f (x ) ) = dx × f ( x ) dx =
d y = d (d
n
n -1
y )= f
(n)
( x)dx
Для сложной функции y=y( (t)), х= (t):
n
f
(n)
( x) =
d 2 y = d (dy ) = d ( f ¢( x)dx ) =
n
d y
dx
n
ìd (uv) = udv + vdu ü = d ( f ¢( x) )dx + f ¢( x)d (dx) = ¢¢
2
2
¢
f
(
x
)
dx
+
f
(
x
)
d
x
í
ý
îdx = j ¢(t )dt ¹ const þ
¢
2
( f ¢( x ) ) dx
d x
Если x=at+b, a,b – постоянные,
Вывод: дифференциалы высших порядков сложной то вид 2-го дифференциала не
функции не обладают свойством инвариантности формы.
2
меняется, т.к.
d x=0
11|14

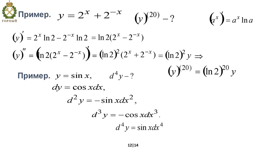
12.

Пример. y = 2 x + 2- x
(у )
( 20)
(a ) = a ln a
x ¢
-?
x
-x
¢
x
-x
(у ) = 2 ln 2 - 2 ln 2 = ln 2(2 - 2 )
(
)
2 x
-x
²
2
x
-x ¢
(у ) = ln 2(2 - 2 ) = (ln 2) (2 + 2 ) = (ln 2) y
(у )
( 20)
4
Пример. y = sin x,
d y -?
dy = cos xdx,
d 2 y = - sin xdx 2 ,
3
3
d y = - cos xdx .
4
d y = sin xdx
12|14
4
= (ln 2 ) у
20
x

13.

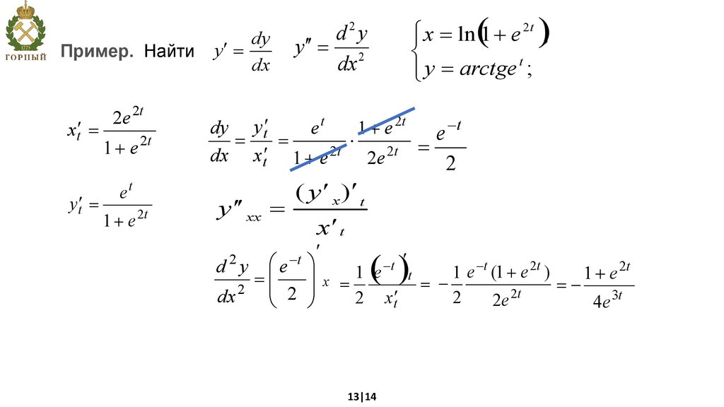
Пример. Найти
xt¢ =
y t¢ =
2e 2 t
1+ e
2t
et
1+ e
2t
dy
y¢ =
dx
2t
ì
(
),
x
=
ln
1
+
e
ï
í
t
ï
î y = arctge ;
2
d y
y¢¢ = 2
dx
-t
dy y t¢
et
1 + e 2t
e
=
×
=
dx xt¢ 1 + e 2t 2e 2t = 2
y ¢¢ xx =
( y ¢ x)¢ t
x¢t
-t ö ¢
( )
æe
-t
2t
-t ¢
2t
e
(
1
+
e
)
1
1
e
1+ e
t
ç
÷x =
=
= =2
ç
÷
2
t
dx
2
2 xt¢
2e
è 2 ø
4e 3t
2
d y
13|14

14.

Спасибо за внимание
Санкт-Петербургский горный
университет
императрицы Екатерины II,
199106, г. Санкт-Петербург,
Малый пр. В.О., д. 83
Тел.: +7(812) 328-82-98;
14|14
English     Русский Rules