ФГБОУ ВО УГМУ МИНЗДРАВА кафедра биохимии
План:
Заменимые аминокислоты
Общая схема обмена заменимых аминокислот( все реакции обратимы)…
…продолжение
Строение серина и глицина.
метионин –источник активных метильных групп
метионин- источник активных метильных групп
Cинтез серина.
Обмен серина
синтез коламина и холина
. Превращение серина в глицин
В превращениях серина и глицина ключевую роль играют ферменты, коферментом которых служат производные фолиевой кислоты.
Превращение серин цистеин
цистатион цистеин
Использование цистеина.
Образование сульфат-иона, его утилизация.
Использование ФАФС.
Пути использования глицина
катаболизм глицина
Патология обмена глицина
Метионин. Незаменимая аминокислота
Обмен обеспечивается витаминами В12, Фолиевой кислотой
Пути использования метильной группы метионина
гиповитаминоз В12 и фолиевой кислоты
Нарушения обмена метионина:
Цистатионинурия.
Обмен глутаминовой кислоты
Пути обмена глутамата
Синтез глутамата.
Нарушения обмена глутамата.
Строение аспарагиновой кислоты.
Аспарагиновая кислота.
Использование аспартата.
Фенилаланин. Незаменимая АК.
Фенилкетонурия.
Фенилкетонурия. Диагностика фенилкетонурии.
Фенилкетонурия. Диагностика фенилкетонурии.
тирозин. .
ОБМЕН ТИРОЗИНА
Обмен в нервной ткани
Тирозин. Обмен тирозина в меланоцитах.
Обмен до АцАцКоА и Фумарата. Алкаптонурия
Нарушения обмена тирозина.
Нарушения обмена тирозина.
Нарушения обмена тирозина.
обмен триптофана
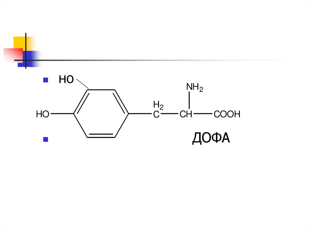
кинурениновый путь
Триптофан. Схема кинуренинового пути
Триптофан.
Гниение триптофана в кишечнике.
Нарушения обмена триптофана.
527.50K
Category: biologybiology

Частные пути обмена отдельных аминокислот

1. ФГБОУ ВО УГМУ МИНЗДРАВА кафедра биохимии

Частные пути обмена отдельных
аминокислот.
Патология обмена.
Доцент Каминская Л.А.
2025

2. План:

Заменимые аминокислоты
Серин, Глицин, Цистеин
Глутаминовая кислота,
Аспарагиновая кислота
Незаменимые аминокислоты
Метионин Фенилаланин
Тирозин Триптофан

3. Заменимые аминокислоты

Взаимно превращаются друг в друга.
Синтезируются в организме
Синтез заменимых аминокислот
связан с обменом глюкозы,
субстратами гликолиза и цикла
Кребса.

4. Общая схема обмена заменимых аминокислот( все реакции обратимы)…

Гл-6-ф
ПВК
3-ф-ГК
серин
аланин
метионин
глицин
цистеин

5. …продолжение

ПВК
ЩУК
а-КетоГЛУ
Аспартат
Глутамат
аргинин гистидин
пролин
гидроксипролин

6. Строение серина и глицина.

серин
СН2-СН-СООН
OH NH2
глицин
СН2 -СООН
NH2

7. метионин –источник активных метильных групп

незаменимая аминокислота метионин
трансфераза
1. Метионин + АТФ
S-аденозилметионин
+ Пирофосфат
SAM
СН3 - S - АМФ
СН2СН2СН(NН2) СООН
+

8. метионин- источник активных метильных групп

S-аденозилметионин
метилтрансфераза
В12, ТГФК
В12- СН3
гомоцистеин
СН2 –СН2-СН -СООН
SH
NН2

9. Cинтез серина.

Гл-6-ф
СООН НАД+ НАДН2 СООН
ГЛУ a-КГ
НС ОН
С О
Н2С ОРО3Н2
ДГ
Н2С ОРО3Н2 аминотрансфераза
3-фосфоглицерат
3-фосфогидроксипируват
СООН
H2O
Фн
НС NH2
H2C OPO3H2 фосфатаза
3-фосфосерин
COOH
HC NH2
H2C OH
серин

10. Обмен серина

серин
Глицин цистеин
аминоэтанол
холин
кефалин
ацетилхолин
лецитин
фосфатидилсерин
сериновые киназы мембраны клеток, ЛПВП

11. синтез коламина и холина

Серин
( сериндекарбоксилаза, В6)
+ s-аденозилметионин
(метилтрансфераза, В12 )
НO-СН2-СН2-NH2
аминоэтанол( коламин)
НO-СН2-СН2-N+(СН3)3 холин

12.

НO-СН2-СН2-N+(СН3)3
холин
+ АцКоА
ацетилхолин
СН3СОO-СН2-СН2-N+(СН3)3

13. . Превращение серина в глицин

:
1. COOH
HC NH2
H2C OH
ТГФК
метилен-ТГФК
COOH
H2C NH2
сериноксиметилтрансфераза
глицин
серин
2.
СО2+NH3
ТГФК
метилен-ТГФК
глицин
НАД+ НАДН2
глицинсинтаза

14. В превращениях серина и глицина ключевую роль играют ферменты, коферментом которых служат производные фолиевой кислоты.

витамин фолиевая
кислота
OH
O
N
N
H2N
N
H2
C
H
N
N
C
N
H
C
H2
C
H2
C
COOH
COOH
кофермент тетрагидрофолиевая
OH
H
кислота
H H
N
N
H
N
N
2-амино-4-окси-6-метилптерин
H2N
C
CH
C
H
2
ПАБК
Глутамат
O
H
N
C
H
N
H
C
H2
C
H2
C
COOH
COOH
H
производные кофермента ТГФК
метилен-Н4-фолат метил-Н4-фолат формил-Н4-фолат формимино-Н4-фолат

15. Превращение серин цистеин

цистатионсинтетаза
Серин + гомоцистеин
цистатионлиаза
цистатион
цистеин + гомосерин

16. цистатион цистеин

COOH
CH-NH2
COOH
CH2
CH-NH2
CH2 – S — CH2
СООН
CH-NH2
СН2- SН

17. Использование цистеина.

В белках для формирования
третичной структуры
SH-группы формируют
активный центр многих
ферментов
Идет на синтез глутатиона,
таурина, HS-KOA, ПВК
Источник сульфатов,
которые
идут на синтез ФАФС и ГАГ

18. Образование сульфат-иона, его утилизация.

a-КГ глу
О2
цистеин
цистеинсульфинат
цистеиндиоксигеназа
сульфинил
пируват
пируват
аминотрансфераза
SО3(2-)
O2
CO2
SO4(2-)
цистеиновая кислота
таурин
АТФ АДФ
АТФ
ФАС
ФАФС
парные желчные
кислоты

19. Использование ФАФС.

1.В обезвреживании ксенобиотиков:
СН3
ФАФС ФАФ
СН3
ФАФС
ФАФ
O
O
OH сульфотрансфераза О S OH OH сульфотрансфераза О S OH
O
O
крезол
крезолсерная
фенол
фенолсерная
кислота
кислота
2.В синтезе гликозаминогликанов (сульфирование ОН-групп
производных глюкозы, галактозы сульфотрансферазой)

20. Пути использования глицина

содержание в коллагене -33%
синтез гема(совместно с сукцКоА)
Синтез пуринового цикла( А, Гнуклеотиды, НК )
синтез глутатиона
синтез креатинина
желчные кислоты –гликохолевая
обезвреживание
эндогенных и
экзогенных токсических соединений

21. катаболизм глицина

1. глицин (МХ печени, ТГФК )
СО2 + NH3 + H2O
2. глицин (трансаминирование, В6)
НООС-СНО (окисление)
НООС-СООН щавелевая кислота
источник оксалатов ! силитиаз

22. Патология обмена глицина

1.
2.
Глицинурия – характеризуется
повышенным выделением глицина с
мочой (до 1 г/сут). Причина – нарушение
реабсорбции глицина в почках.
Первичная гипероксалатурия –
характеризуется постоянным выделением
оксалата с мочой. Дефект
глицинаминотрансферазы блокирует
превращение глиоксилата в глицин
(глицин – глиоксилат – оксалат).

23.

1.
Гиперглицинемия – характеризуется повышенной
концентрацией глицина в крови в следствии
дефекта глицинрасщепляющей ферментной
системы.

24. Метионин. Незаменимая аминокислота

Может регенирировать из
гомоцистеина с участием ТГФК
NH2
H3C
S
H2
C
H2
C
CH
COOH

25. Обмен обеспечивается витаминами В12, Фолиевой кислотой

участвует в синтезе белков организма;
является источником метильной группы,
используемой в реакциях
трансметилирования;
является источником атома серы,
необходимого для синтеза цистеина;
Метионил-тРНК участвует в инициации
процесса трансляции.

26. Пути использования метильной группы метионина

Синтез веществ в реакциях
трансметилирования
креатина
тимина из урацила
холина из коламина
адреналина из норадреналина
ансерина из карнозина

27. гиповитаминоз В12 и фолиевой кислоты

Нарушение обмена одноуглеродных
фрагментов и трансметилирования –
патология синтеза ДНК и РНК
возникает мегалобластная
(макроцитарная) анемия :
снижается количество эритроцитов,
содержание
Hb, увеличение
размеров эритроцитов.

28.

2.Увеличивается содержание
гомоцистеина в крови.
Особенно опасно в первые недели
беременности!- одна из причин
патологии развития плода.
Обязательный прием В12 и
фолиевой кислоты ! при плановой
беременности заранее 2-3 недели.

29. Нарушения обмена метионина:

Гомоцитинурия – характеризуется
наследственной недостаточностью
цистатионин-b-синтетазы,
гиповитаминозом фолиевой кислоты,
витаминов В6 и В12;
Цистатионинурия – характеризуется
выделением цистатионина с мочой. Этот
процесс вызывается блокированием
реакции распада цистатионина на
гомосерин и цистеин.

30. Цистатионинурия.

гомосерин
цистатионин
цистеин

31. Обмен глутаминовой кислоты

NH2
HOOC
H2
C
H2
C
CH
COOH

32. Пути обмена глутамата

В составе белков
Окислительное дезаминирование- превращение в
а-кетоГЛУ
Трансаминирование- синтез заменимых АК
Синтез пуринового цикла (А, Г, АТФ, ГТФ, НК )
Синтез глутамина( транспорт аммиака из тканей
в печень, поддержание КОС в почке)
Синтез ГАМК и ГОМК( медиаторы торможения )

33.

Синтез аминокислот:
орнитина( цикл мочевины)
гистидина
пролина
гидроксиролина
Синтез глутатиона
Источник аминогруппы для аминосахаров
( синтез ГАГ)
Источник НАД(Ф)Н в МСО и АОЗ

34. Синтез глутамата.

1.
2.
Восстановительное аминирование aкетоглутарата глутаматдегидрогеназой:
а- кетоГЛУ + NH3 + NAДН + Н+
глутаматдегидрогеназа
2.
ГЛУ + NAД+
Реакция переаминирования с участием
аминотрансфераз:
АК
a-КГ
аминотрансфераза
кетокислота
глутамат

35. Нарушения обмена глутамата.

Эпилепсия - хроническое заболевание
головного мозга человека. Характеризуется
повторными припадками
Расстройства вестибулярной системы;
Ишемия – заболевание, характеризующееся
уменьшением кровоснабжения участка тела,
органа или ткани вследствие ослабления или
прекращения притока к нему артериальной крови;

36. Строение аспарагиновой кислоты.

NH2
HOOC
H2
C
CH
COOH

37. Аспарагиновая кислота.

Синтез аспартата:
О
глюкоза
глу
НООС СН2 С СООН
ЩУК
a-КГ
NH2
НООС СН2 СН СООН
АСТ
аспартат

38. Использование аспартата.

в синтезе белков, липидов,
углеводов
в орнитиновом цикле при
синтезе мочевины
аспартат
β аланин
в синтезе карнозина, анзерина,
пуриновых и пиримидиновых нуклеотидов,
N-ацетиласпарагиновой кислоты

39. Фенилаланин. Незаменимая АК.

ОН
О2
Fe(2 +)
CH2
HC NH2
COOH
фенилаланин
СН2
НС NH2
COOH
фен
СН2
HC NH2
COOH
тир
фенилаланинмонооксигеназа

40. Фенилкетонурия.

Наследственное заболевание, связанное с
мутациями в гене фенилаланингидроксилазы
(частота 1:10000 новорожденных), которые
приводят к снижению активности фермента или
полной его инактивации.
При ФКУ концентрация фенилаланина
повышается в крови в 20-30 раз, в моче в 100-300
раз, по сравнению с нормой.
В крови и моче повышается содержание
метаболитов альтернативного пути:
фенилпирувата, фенилацетата, фениллактата и
фенилацетилглутамина.

41. Фенилкетонурия. Диагностика фенилкетонурии.

НАДН2 НАД+
a-КГ глу
СН2
НС ОН
СООН
В6
СН2
НС NH
COOH
фен
НАД+ НАДН2
фениллактат
CН2
С О
Н2О СО2
СООН
фенилпируват
тирозинаминотрансфераза
глу Н2О
CONH2
CH2
СН2
СН2
CH2
СООН
О С NH CH COOH
фенилацетат фенилацетилглутамин

42. Фенилкетонурия. Диагностика фенилкетонурии.

НАДН2 НАД+
a-КГ глу
СН2
НС ОН
СООН
В6
СН2
НС NH
COOH
фен
НАД+ НАДН2
CН2
С О
Н2О СО2
СООН
фенилпируват
тирозинаминотрансфераза
фениллактат
глу Н2О
CONH2
CH2
СН2
СН2
CH2
СООН
О С NH CH COOH
фенилацетат фенилацетилглутамин

43. тирозин. .

n
Условно заменимая АК, образуется из
фенилаланина. Содержание тир в пищевых
белках достаточно велико.
NH 2
HO
H2
C
CH
COOH

44. ОБМЕН ТИРОЗИНА

1.
2.
3.
4.
5.
в нервной ткани и надпочечниках:
синтез дофамина –
норадреналина - адреналина
в меланоцитах – синтез пигмента
меланина
щитовидная железа- синтез
тиреоидных гормонов
катаболизм в печени

45. Обмен в нервной ткани

Тирозин –(1) →
ДОФА –(2) →
Дофамин –-(3) → норадреналин →
(4)- адреналин

46.

1)- тирозингидроксилаза ( Fe +2 )регуляторный ф-т, ингибиторадреналин
(2)Дофадекарбоксилаза
(3)-Дофамингидроксилаза
( монооксигеназа, вит.С, Си+2)
(4)-N- метилтрансфераза( sаденозилметионин)

47.

HO
но
NH 2
H2
C
CH
COOH
ДОФА

48.

ДОФАМИН
OH
OH
HC
ОН
Н
H2C
NH2
дофамингидроксилаза

49.

Норадреналин
адреналин
OH
OH
OH
OH
HC
ОН
HC
ОН
H2C
NH2
H2C
NHСН3
2

50. Тирозин. Обмен тирозина в меланоцитах.

О2
тир
ДОФАхром
эумеланины
бензотиазин
феомеланины
ДОФА
Cu(2+)
тирозиназа
Эумеланины – черные, коричневые;
Феомеланины – желтые, красно-коричневые.

51. Обмен до АцАцКоА и Фумарата. Алкаптонурия

Тирозин
х
п-гидроксифенилпируват
Гомогентизиновая кислота
АцАцКоА + фумарат
отсутствует фермент диоксигеназа
гомогентизиновой кислоты

52. Нарушения обмена тирозина.

Болезнь Паркинсона – развивается при
снижении активности
тирозинмонооксигеназы и ДОФАдекарбоксилазы (частота 1:200 среди
людей старше 60 лет). Сопровождается
акинезией, регидностью и тремором;
Альбинизм – развивается при
наследственном дефекте тирозиназы
(1:20000). Проявляется отсутствием
пигментации кожи, сетчатки глаз и волос;

53. Нарушения обмена тирозина.

Болезнь Паркинсона – развивается при
снижении активности
тирозинмонооксигеназы и ДОФАдекарбоксилазы (частота 1:200 среди
людей старше 60 лет). Сопровождается
акинезией, регидностью и тремором;
Альбинизм – развивается при
наследственном дефекте тирозиназы
(1:20000). Проявляется отсутствием
пигментации кожи, сетчатки глаз и волос;

54. Нарушения обмена тирозина.

Алкаптонурия – развивается при дефекте диоксигеназы
гомогентизиновой кислоты. Клиническим проявлением является
потемнение мочи на воздухе, охроноз, артрит;
Тирозинемии:
I-типа(тирозиноз) – развивается при дефекте
фермента фумарилацетоацетатгидролазы;
II-типа(синдром РихнераХанхорта) – развивается при дефекте фермента
тирозинаминотрансферазы;
тирозинемия
новорожденных(кратковременная) - возникает в
результате понижения активности
n-гидроксифенилпируватдиоксигеназы, превращающего
n-гидроксифенилпируват в гомогентизиновую кислоту.

55. обмен триптофана

Незаменимая АК для человека и животных.
Является предшественником ряда важных
биологически активных веществ, в частности
серотонина и рибонуклеотида никотиновой
кислоты.
NH 2
C
H2
N
H
CH
COOH

56.

серотонин
Три
НАД+
мелатонин

57. кинурениновый путь

.
NH 2
C
H2
N
H
CH
COOH

58. Триптофан. Схема кинуренинового пути

+О2
три
-НСООН
формилкинуренин
триптофандиоксигеназа
+О2
кинуренин
кинуренинформилаза
-аланин
оксикинуренин
кинуренингидролаза
+О2
оксиантраниловая
кислота
кинурениназа
ФРПФ
рибонуклеотид
холиновой кислоты
-СО2
холиновая
кислота
оксидаза
+АТФ,+NH3
рибонуклеотид
никотиновой кислоты
НАД+

59. Триптофан.

Схема серотонинового пути:
OH
три
O2
CН2 СН2 NH2
5-окситриптофан
H2O
НАДФН2 НАДФ
СО2
фенилгидроксилаза
CH3O
NH
серотонин
декарбоксилаза
СН2 СН2 NH CO CH3
NH
мелатонин

60. Гниение триптофана в кишечнике.

NH
СН2 СН СООН
NH
глицин
триптофан
СО2
СН2 СН2 NH2
NH
триптамин
СН3
NH
скатол
NH
индол

61. Нарушения обмена триптофана.

Болезнь Хартнупа – происходит увеличение
концентрации индолилацетата и
индолилацетилглутамина в моче. Возникает
метаболический блок связанный с первой
реакцией нормального пути обмена триптофана,
т.е. превращение его в формилкенуренин;
Наследственный «порок» обмена
триптофана – болезнь «моча с запахом
кленового сиропа» - происходит увеличение
индолилацетата в моче.
English     Русский Rules