1.78M
Categories: financefinance sociologysociology

Об исполнении отделениями СФР Плана мероприятий

1.

Об исполнении отделениями СФР Плана мероприятий по проведению отделениями Фонда пенсионного и
социального страхования Российской Федерации закупок для обеспечения инвалидов и застрахованных лиц,
получивших повреждение здоровья вследствие несчастных случаев на производстве и профессиональных
заболеваний, техническими средствами реабилитации, протезами, протезно-ортопедическими изделиями и
отдельных категорий граждан из числа ветеранов протезами (кроме зубных протезов), протезноортопедическими изделиями в 2025 году, утвержденного приказом СФР от 9 сентября 2024 г. № 1567
Направление в Департамент закупочной деятельности информации о закупках,
информация о которых внесена в План-график закупок, с указанием планируемых
сроков размещения извещений
не позднее
21 октября 2024 года
Размещение извещений о проведении открытых конкурсов в
электронной форме
не позднее
01 ноября 2024 года
Размещение извещений о проведении открытых аукционов в
электронной форме
не позднее
08 ноября 2024 года
Данные из раздела «Сбор отчетности» внутреннего портала СФР и подсистемы «Управление закупками»
информационной системы «Единая информационная система автоматизации административно-хозяйственной
деятельности» по состоянию на 06.02.2025

2.

Наименование ОСФР
Выделенные
лимиты на
обеспечение
граждан ТСР
(закупки)
ВСЕГО 29 951 682 786,82
ОСФР по Воронежской области
188 565 366,18
ОСФР по Республике Ингушетия
6 260 342,00
ОСФР по Запорожской области
1 451 833,15
ОСФР по Херсонской области
1 243 534,87
ОСФР по Донецкой Народной Республике
4 365 000,00
ОСФР по Луганской Народной Республике
1 718 151,71
ОСФР по Костромской области
38 355 145,62
ОСФР по Республике Калмыкия
16 806 852,10
ОСФР по Саратовской области
40 351 200,00
ОСФР по Республике Алтай
21 596 000,00
ОСФР по Кировской области
90 514 066,00
ОСФР по Тульской области
90 436 376,10
ОСФР по Смоленской области
86 477 585,60
ОСФР по Карачаево-Черкесской Республике
18 357 500,00
ОСФР по Республике Адыгея
35 284 480,00
ОСФР по Псковской области
80 274 447,97
ОСФР по Хабаровскому краю и Еврейской автономной области
183 851 514,45
ОСФР по Республике Бурятия
99 664 729,69
ОСФР по Новгородской области
99 597 000,00
ОСФР по Калининградской области
96 916 097,68
ОСФР по Республике Марий Эл
32 784 086,98
Процент
Процент
Изменение
сформирован размещения
Общий
общего %
Процент
Кол-во Сумма по лотам Кол-во
НМЦК
ности лотов извещений в
процент выпол-ой
освоения
лотов ПГ
ПГ
закупок всего по закупкам
ПГ на
рамках
выполненной работы
лимитов
выделенные сформирован
работы ОСФР (сравнение
лимиты ных лотов ПГ
с 30.01.2025)
3 336 27 282 390 003,10
49
189 608 872,27
3
6 260 372,00
3
1 451 833,15
3
1 243 534,87
3
4 365 000,00
4
1 718 151,71
32
38 355 145,62
23
16 806 837,05
16
40 351 008,61
19
21 511 311,75
49
91 440 951,50
33
90 133 156,05
33
84 090 123,32
14
17 818 182,16
34
34 207 001,68
27
80 274 447,97
73
177 591 223,88
46
94 287 304,57
23
94 319 229,49
31
91 541 997,15
33
32 784 086,98
3 023 23 003 837 342,62
48
188 985 263,60
3
6 860 582,00
3
1 451 833,15
3
1 243 534,87
3
4 365 000,00
4
1 718 151,71
32
38 355 145,62
23
16 951 314,22
16
40 351 008,61
19
21 988 151,56
46
90 313 249,24
32
89 633 156,05
33
84 090 123,52
14
17 818 182,16
34
34 207 001,68
24
77 763 506,65
68
175 312 100,26
43
93 319 404,56
17
91 847 768,90
28
88 542 380,91
25
29 518 231,44
91,09%
100,55%
100,00%
100,00%
100,00%
100,00%
100,00%
100,00%
100,00%
100,00%
99,61%
101,02%
99,66%
97,24%
97,06%
96,95%
100,00%
96,59%
94,60%
94,70%
94,45%
100,00%
84,32%
99,67%
100,00%
100,00%
100,00%
100,00%
100,00%
100,00%
100,00%
100,00%
100,00%
98,77%
99,45%
100,00%
100,00%
100,00%
96,87%
98,72%
98,97%
97,38%
96,72%
90,04%
76,80%
100,00%
100,00%
100,00%
100,00%
100,00%
100,00%
100,00%
100,00%
100,00%
100,00%
99,78%
99,11%
97,24%
97,06%
96,95%
96,87%
95,36%
93,63%
92,22%
91,36%
90,04%
84,07%
100,07%
100,00%
100,00%
100,00%
100,00%
100,00%
100,00%
100,00%
100,00%
99,87%
99,86%
99,41%
98,16%
98,04%
97,96%
97,91%
96,89%
95,74%
94,77%
94,18%
93,36%
4,13%
1,40%
0,00%
0,00%
0,00%
0,00%
0,00%
0,00%
0,00%
0,00%
2,47%
14,49%
0,00%
-0,04%
0,00%
0,57%
-0,74%
1,14%
-0,01%
9,78%
0,14%
18,40%

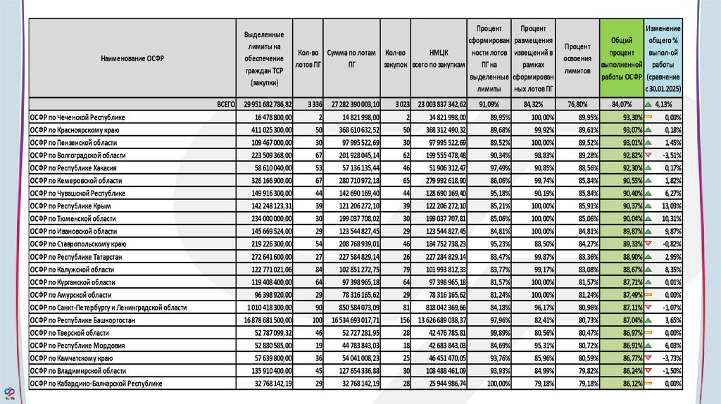
3.

Наименование ОСФР
ОСФР по Чеченской Республике
ОСФР по Красноярскому краю
ОСФР по Пензенской области
ОСФР по Волгоградской области
ОСФР по Республике Хакасия
ОСФР по Кемеровской области
ОСФР по Чувашской Республике
ОСФР по Республике Крым
ОСФР по Тюменской области
ОСФР по Ивановской области
ОСФР по Ставропольскому краю
ОСФР по Республике Татарстан
ОСФР по Калужской области
ОСФР по Курганской области
ОСФР по Амурской области
ОСФР по Санкт-Петербургу и Ленинградской области
ОСФР по Республике Башкортостан
ОСФР по Тверской области
ОСФР по Республике Мордовия
ОСФР по Камчатскому краю
ОСФР по Владимирской области
ОСФР по Кабардино-Балкарской Республике
Выделенные
лимиты на
обеспечение
граждан ТСР
(закупки)
ВСЕГО 29 951 682 786,82
16 478 800,00
411 025 300,00
109 467 000,00
223 509 368,00
58 610 040,00
326 166 900,00
149 916 300,00
142 248 123,31
234 000 000,00
145 669 524,00
219 226 300,00
272 641 600,00
122 771 021,06
119 408 400,00
96 398 920,00
1 010 418 300,00
16 878 681 500,00
52 787 099,32
52 880 585,00
57 639 800,00
135 910 400,00
32 768 142,19
Процент
Процент
сформирован размещения
Кол-во Сумма по лотам Кол-во
НМЦК
ности лотов извещений в
лотов ПГ
ПГ
закупок всего по закупкам
ПГ на
рамках
выделенные сформирован
лимиты ных лотов ПГ
3 336 27 282 390 003,10
2
14 821 998,00
50
368 610 632,52
30
97 995 522,69
67
201 928 045,14
53
57 136 135,44
67
280 710 972,18
44
142 690 169,40
39
121 206 272,10
30
199 037 708,02
29
123 544 827,45
54
208 768 939,01
27
227 584 829,14
84
102 851 272,75
64
97 398 965,18
29
78 316 165,62
90
850 584 073,09
100 16 534 693 017,71
46
52 727 281,95
19
44 783 843,03
36
54 041 008,23
45
127 654 336,88
29
32 768 142,19
3 023 23 003 837 342,62
2
14 821 998,00
50
368 312 490,32
30
97 995 522,69
62
199 555 478,48
46
51 906 312,47
65
279 992 618,90
44
128 690 169,40
39
122 206 272,10
30
199 037 707,81
29
123 544 827,45
46
184 752 738,23
26
227 284 829,14
79
101 993 812,33
64
97 398 965,18
29
78 316 165,62
81
818 042 369,66
156 13 626 689 038,37
28
42 476 785,81
18
42 683 843,03
25
46 451 470,05
30
108 488 461,09
28
25 944 986,74
91,09%
89,95%
89,68%
89,52%
90,34%
97,49%
86,06%
95,18%
85,21%
85,06%
84,81%
95,23%
83,47%
83,77%
81,57%
81,24%
84,18%
97,96%
99,89%
84,69%
93,76%
93,93%
100,00%
84,32%
100,00%
99,92%
100,00%
98,83%
90,85%
99,74%
90,19%
100,00%
100,00%
100,00%
88,50%
99,87%
99,17%
100,00%
100,00%
96,17%
82,41%
80,56%
95,31%
85,96%
84,99%
79,18%
Процент
освоения
лимитов
76,80%
89,95%
89,61%
89,52%
89,28%
88,56%
85,84%
85,84%
85,91%
85,06%
84,81%
84,27%
83,36%
83,08%
81,57%
81,24%
80,96%
80,73%
80,47%
80,72%
80,59%
79,82%
79,18%
Изменение
Общий
общего %
процент
выпол-ой
выполненной работы
работы ОСФР (сравнение
с 30.01.2025)
84,07%
93,30%
93,07%
93,01%
92,82%
92,30%
90,55%
90,40%
90,37%
90,04%
89,87%
89,33%
88,90%
88,67%
87,71%
87,49%
87,11%
87,04%
86,97%
86,91%
86,77%
86,24%
86,12%
4,13%
0,00%
0,18%
1,45%
-3,51%
0,17%
1,82%
6,27%
13,03%
10,31%
9,87%
-0,82%
2,95%
8,35%
0,01%
0,00%
-1,07%
3,65%
0,00%
6,03%
-3,73%
-1,50%
0,00%

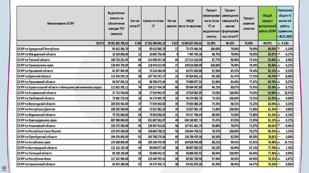
4.

Наименование ОСФР
Выделенные
лимиты на
обеспечение
граждан ТСР
(закупки)
ВСЕГО 29 951 682 786,82
ОСФР по Удмуртской Республике
95 412 560,70
ОСФР по Магаданской области
10 129 600,00
ОСФР по Томской области
160 710 251,45
ОСФР по Приморскому краю
128 443 700,00
ОСФР по Орловской области
81 057 894,98
ОСФР по Брянской области
113 244 970,10
ОСФР по Ярославской области
96 547 093,32
ОСФР по Архангельской области и Ненецкому автономному округу
112 832 305,12
ОСФР по Астраханской области
37 715 540,00
ОСФР по Тамбовской области
73 682 572,03
ОСФР по Вологодской области
103 670 402,00
ОСФР по Республике Дагестан
100 235 500,00
ОСФР по Мурманской области
75 732 600,00
ОСФР по Краснодарскому краю
887 000 000,00
ОСФР по Ульяновской области
150 175 500,00
ОСФР по Республике Саха (Якутия)
225 473 500,00
ОСФР по Оренбургской области
196 476 900,00
ОСФР по Алтайскому краю
154 288 800,00
ОСФР по Белгородской области
131 216 125,48
ОСФР по Липецкой области
86 108 169,88
ОСФР по Республике Коми
127 101 990,00
ОСФР по Сахалинской области
82 872 280,00
Процент
Процент
сформирован размещения
Кол-во Сумма по лотам Кол-во
НМЦК
ности лотов извещений в
лотов ПГ
ПГ
закупок всего по закупкам
ПГ на
рамках
выделенные сформирован
лимиты ных лотов ПГ
3 336 27 282 390 003,10
25
95 412 560,70
11
10 002 756,46
94
141 058 457,36
40
128 443 613,06
35
74 216 286,04
30
107 792 767,27
61
88 788 475,94
74
106 227 434,50
18
27 919 962,95
16
54 174 395,70
37
77 076 543,63
19
72 027 382,19
33
74 924 936,92
50
651 687 582,87
43
136 497 413,82
56
158 664 758,52
91
165 708 179,36
68
105 246 476,98
44
90 830 077,93
33
56 868 442,42
45
123 360 795,41
37
54 274 703,71
3 023 23 003 837 342,62
17
75 375 684,56
9
7 995 706,26
64
127 514 210,34
27
100 816 069,99
31
63 471 020,80
23
87 824 001,13
45
74 989 077,53
60
85 694 547,89
18
27 919 962,95
16
54 174 395,70
35
75 934 380,29
19
72 027 382,19
22
54 417 786,64
49
638 188 887,73
40
107 931 602,74
56
158 664 758,52
89
136 709 479,36
67
104 628 546,98
38
88 097 383,52
33
56 868 442,42
34
82 561 730,50
36
53 431 870,26
91,09%
100,00%
98,75%
87,77%
100,00%
91,56%
95,19%
91,96%
94,15%
74,03%
73,52%
74,35%
71,86%
98,93%
73,47%
90,89%
70,37%
84,34%
68,21%
69,22%
66,04%
97,06%
65,49%
84,32%
79,00%
79,94%
90,40%
78,49%
85,52%
81,47%
84,46%
80,67%
100,00%
100,00%
98,52%
100,00%
72,63%
97,93%
79,07%
100,00%
82,50%
99,41%
96,99%
100,00%
66,93%
98,45%
Процент
освоения
лимитов
76,80%
79,00%
78,93%
79,34%
78,49%
78,30%
77,55%
77,67%
75,95%
74,03%
73,52%
73,25%
71,86%
71,86%
71,95%
71,87%
70,37%
69,58%
67,81%
67,14%
66,04%
64,96%
64,47%
Изменение
Общий
общего %
процент
выпол-ой
выполненной работы
работы ОСФР (сравнение
с 30.01.2025)
84,07%
86,00%
85,87%
85,84%
85,66%
85,13%
84,74%
84,70%
83,59%
82,69%
82,35%
82,04%
81,24%
81,14%
81,12%
80,61%
80,25%
78,81%
78,48%
77,78%
77,36%
76,31%
76,14%
4,13%
-2,10%
-0,17%
8,30%
6,21%
0,23%
-0,48%
0,57%
8,71%
13,47%
0,60%
0,23%
0,00%
0,13%
0,27%
-0,46%
2,24%
0,00%
14,71%
1,18%
0,00%
0,87%
0,00%

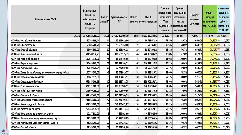
5.

Наименование ОСФР
ОСФР по Республике Карелия
ОСФР по г. Севастополю
ОСФР по Курской области
ОСФР по Челябинской области
ОСФР по Рязанской области
ОСФР по Пермскому краю
ОСФР по Республике Тыва
ОСФР по Ханты-Мансийскому автономному округу - Югра
ОСФР по Новосибирской области
ОСФР по Свердловской области
ОСФР по Иркутской области
ОСФР по Забайкальскому краю
ОСФР по Самарской области
ОСФР по г. Москве и Московской области
ОСФР по Нижегородской области
ОСФР по Ростовской области
ОСФР по Чукотскому автономному округу
ОСФР по Ямало-Ненецкому автономному округу
ОСФР по Республике Северная Осетия - Алания
ОСФР по Омской области
Выделенные
лимиты на
обеспечение
граждан ТСР
(закупки)
ВСЕГО 29 951 682 786,82
46 588 899,44
58 695 266,78
82 604 300,00
401 560 174,73
109 641 175,90
236 465 800,00
25 549 929,04
100 793 000,00
182 607 935,58
656 315 066,63
322 111 000,00
156 930 295,00
444 147 400,00
731 663 000,00
571 313 300,00
263 333 874,68
10 217 381,00
91 263 900,00
31 292 200,00
94 965 900,00
Процент
Процент
Изменение
сформирован размещения
Общий
общего %
Процент
Кол-во Сумма по лотам Кол-во
НМЦК
ности лотов извещений в
процент
выпол-ой
освоения
лотов ПГ
ПГ
закупок всего по закупкам
ПГ на
рамках
выполненной работы
лимитов
выделенные сформирован
работы ОСФР (сравнение
лимиты ных лотов ПГ
с 30.01.2025)
3 336 27 282 390 003,10
34
37 248 420,86
27
58 662 350,00
32
67 223 802,23
62
401 560 174,73
45
66 942 706,56
72
181 391 109,71
28
17 749 939,55
41
82 042 910,57
39
104 394 614,91
80
599 236 732,75
65
198 756 906,51
30
139 993 500,56
49
265 745 204,79
47
390 265 792,91
55
543 350 471,97
40
140 013 713,73
3
4 664 924,60
9
45 427 299,69
22
27 577 232,23
11
78 924 261,00
3 023 23 003 837 342,62
28
30 719 972,14
27
37 570 363,63
29
53 694 802,23
44
246 956 005,55
45
66 942 706,56
67
146 813 117,83
24
15 593 171,29
31
60 831 819,71
39
104 394 614,91
55
359 901 262,71
58
176 059 385,01
24
81 056 433,19
34
229 807 504,79
38
367 943 735,43
53
282 098 895,39
36
129 640 523,11
3
4 664 924,60
8
40 106 945,74
17
13 658 015,92
10
38 924 261,00
91,09%
79,95%
99,94%
81,38%
100,00%
61,06%
76,71%
69,47%
81,40%
57,17%
91,30%
61,70%
89,21%
59,83%
53,34%
95,11%
53,17%
45,66%
49,78%
88,13%
83,11%
84,32%
82,47%
64,05%
79,87%
61,50%
100,00%
80,94%
87,85%
74,15%
100,00%
60,06%
88,58%
57,90%
86,48%
94,28%
51,92%
92,59%
100,00%
88,29%
49,53%
49,32%
76,80%
65,94%
64,01%
65,00%
61,50%
61,06%
62,09%
61,03%
60,35%
57,17%
54,84%
54,66%
51,65%
51,74%
50,29%
49,38%
49,23%
45,66%
43,95%
43,65%
40,99%
84,07%
76,12%
76,00%
75,42%
74,33%
74,04%
73,24%
72,78%
71,97%
71,45%
68,73%
68,31%
66,25%
66,02%
65,97%
65,47%
65,00%
63,77%
60,67%
60,43%
57,80%
4,13%
5,57%
0,00%
-1,25%
0,00%
5,70%
9,49%
5,55%
0,35%
9,11%
-0,05%
0,64%
0,11%
0,00%
0,03%
0,00%
0,61%
0,00%
5,76%
1,23%
19,34%
English     Русский Rules