311.52K
Category: mathematicsmathematics

Основные методы интегрирования

1.

Вычисление интегралов с помощью основных
свойств неопределенного интеграла и
таблицы интегралов называется
непосредственным или элементарным
интегрированием.

2.

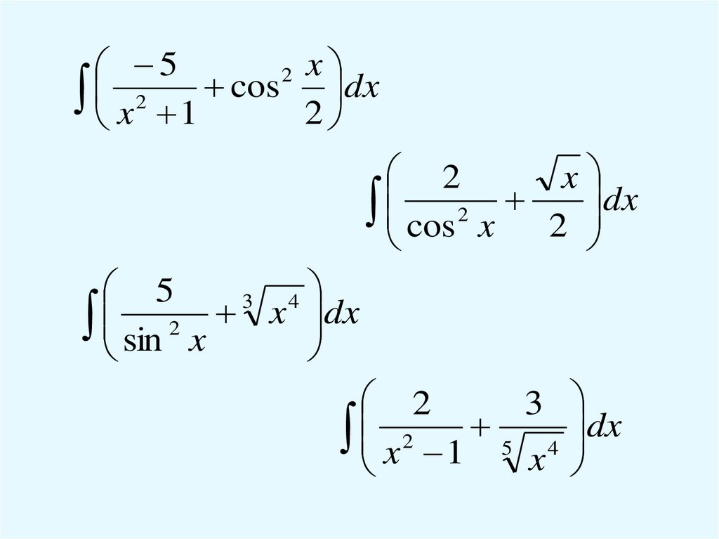
Вычислить интегралы:
1
(2 sin x 6 3x )dx
2

3.

(
2
sin
x
6
3
x
)
dx
2
2 sin x dx 6 dx 3 x dx
2
2 sin x dx 6 dx 3 x dx
2
3
x
2 cos x 6 x 3
C
3

4.

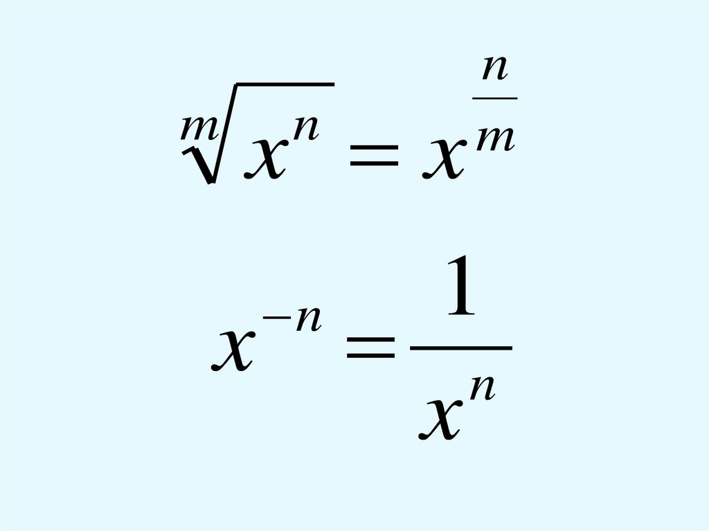
m
x x
n
n
m
1
n
x n
x

5.

2
5
6
3
x
dx
x
dx
3 14
5 x dx
4
x 5 dx
12
7
4
x dx
3
x
5
dx
1
3
x
5
dx

6.

2
3x x x 2
dx
2
x
4
3

7.

3x 4 x 3 x 2
dx
2
x
1
1
2
3 x x 2 2 dx
x
x
1
2
3 x dx x dx dx 2 x 2 dx
x
2
1
x
x
x3
ln x 2
C
2
1
2
x
2
3
x
ln x C
2
x

8.

3
2
2 x
x 2 1 sin 2 dx

9.

2
2 x
x 2 1 sin 2 dx
1
2 x
2 2
dx sin
dx
x 1
2
1
2arctgx (1 cos x)dx
2
1
1
2arctgx x sin x C
2
2

10.

( 5 sin x 6 x 5 x )dx
4
8
5
(4 cos x x 6 x )dx
3x 2 5 x 3 2 x 7
dx
3
x
4
2
5x 4 x x 2
dx
4
x

11.

5
2 x
x 2 1 cos 2 dx
2
x
cos 2 x 2 dx
5
4
3
x
dx
2
sin x
2
3
2
x 1 5 x 4 dx

12.

Метод замены
формулой:
переменной
описывается
f ( x)dx f ( (t )) (t )dt
1

13.

Вычислить интегралы:
1
x( x 1) dx
12

14.

x 1 t
x t 1
x( x 1) dx x dx t 1 dt
12
dx dt
(t 1) t dt t dt t dt
12
12
13
t 13 t 14
( x 1)13 ( x 1)14
C
C
13 14
13
14

15.

2
sin x cos x dx
4

16.

sin x t
4
sin x cos x dx sin x dx t dt
cos x dx dt
dt
1 5
1
t dt t C sin 5 x C
5
5
4

17.

Пусть F(x) – некоторая
первообразная для функции f(x).
Тогда
1
f (kx b)dx k F (kx b) C

18.

Вычислить интегралы:
1
3 xdx
3

19.

n 1
x
x
dx
C
n 1
n
3 xdx 3 x dx
3
1
3
4
k 1
3
(3 x) 3 C
b 3
4

20.

2
1
4 x 3 dx

21.

1
dx
ln
x
C
x
k 4 1
1
4 x 3 dx b 3 4 ln 4 x 3 C

22.

Пусть функции u(x) и v(x)
определены и дифференцируемы на
промежутке Х и функция
u ( x) v( x)
имеет первообразную на этом
промежутке.

23.

Тогда функция
v ( x ) u ( x )
тоже имеет первообразную на
этом промежутке и справедлива
формула
u
(
x
)
v
(
x
)
dx
u
(
x
)
v
(
x
)
v
(
x
)
u
( x)dx

24.

Поскольку
u ( x)dx du
v ( x) dx dv
То последнее равенство часто записывают в
виде:
u
dv
u
v
v
du

25.

Вычислить интегралы:
1
x e dx
x

26.

u x
x e dx du dx
x
dv e dx
x
v e
x
x e e dx x e e C
x
x
x
x

27.

2
ln xdx

28.

u ln x
1
ln
xdx
du dx
x
dv dx
v x
x
x ln x dx x ln x x C
x

29.

3
x cos xdx
2

30.

2
u
x
dv cos xdx
2
x cos xdx du 2 xdx v sin x
x sin x 2 x sin xdx
2
u x dv sin xdx
du dx v cos x
x 2 sin x 2 x cos x 2 cos xdx
x sin x 2 x cos x 2 sin x C
2

31.

Можно
показать,
что
формула
интегрирования по частям применима для
следующих типов интегралов:
x e dx
x sin mxdx
x cosmxdx
x ln xdx
n
n
ax
n
k
n

32.

x arcsin xdx
x arccosxdx
x arctgxdx
x arcctgxdx
k
k
k
k
Где a, m, k – действительные числа, n – целое
положительное число.
English     Русский Rules