1.34M
Category: mathematicsmathematics

Прямая на плоскости

1.

§9. Прямая на плоскости
п.1. Метод координат на плоскости.
Суть метода: замена геометрических понятий
и фактов алгебраическими соотношениями
через координаты.

2.

Основные формулы
1) Расстояние между двумя точками на
плоскости.
M 1 ( x1 ; y1 ), M 2 ( x 2 ; y 2 ).
d M 1M 2
x2 x1 y 2 y1 .
2
2

3.

2) Деление отрезка в данном отношении.
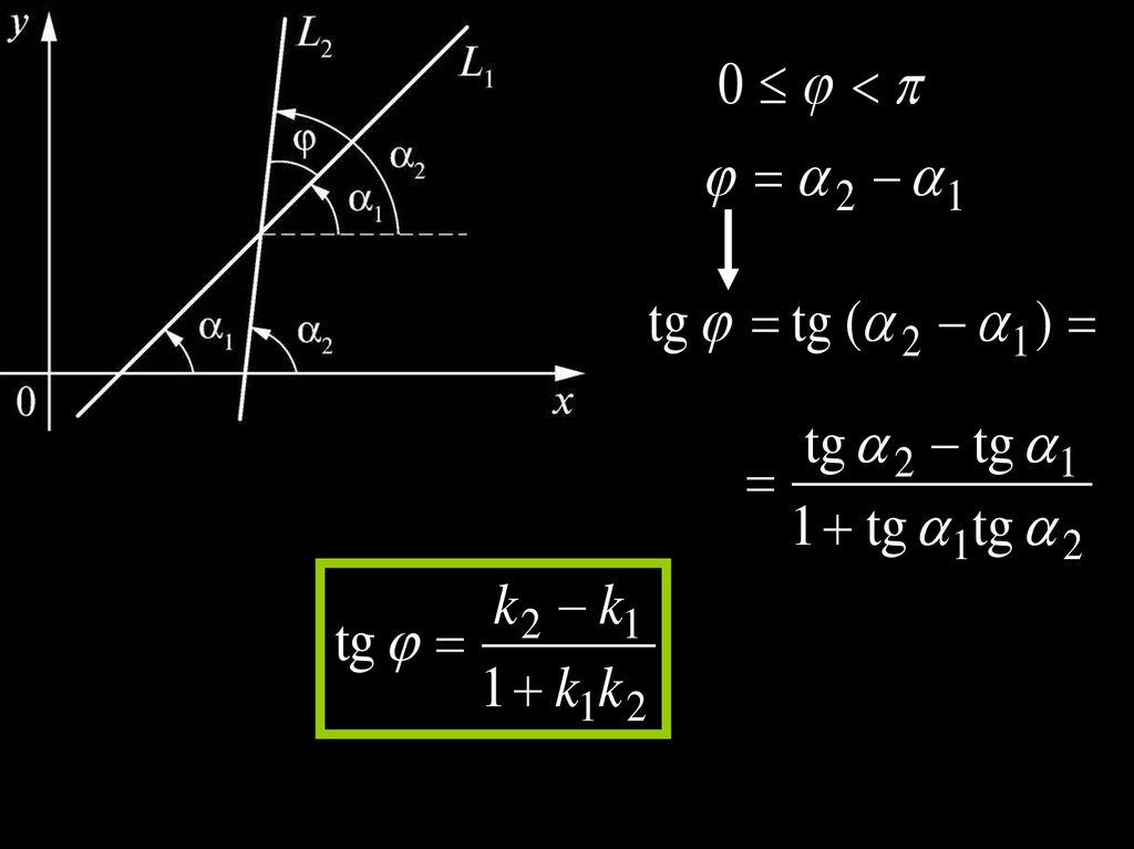
M(x;y)
M 1 ( x1 ; y1 ), M 2 ( x 2 ; y 2 ),
M 1M
.
MM 2
x1 x2
x
,
1
y1 y 2
y
.
1
Доказательство с помощью теоремы Фалеса.

4.

Если
M 1M MM 2 , т.е. M ─ середина отрезка
M 1M 2 , то 1 .
x1 x2
x
,
2
y1 y 2
y
.
2

5.

п.2. Уравнение линии.
Уравнение
F ( x , y ) 0,
связывающее x и y, называется уравнением
некоторой линии L, если этому
уравнению удовлетворяют координаты любой
точки, лежащей на линии L, и не
удовлетворяют координаты никакой точки, не
лежащей на L.

6.

Замечание 1. Чтобы определить, принадлежит
ли некоторая точка M ( x 0 ; y 0 ) заданной
линии L : F ( x , y ) 0 , следует подставить
координаты точки M в уравнение линии L.
Если F ( x 0 , y 0 ) 0 , то M принадлежит L,
иначе M не принадлежит L.

7.

Пример. Определите, лежит ли точка M ( 3; 4 )
на окружности
( x 1) ( y 2 ) 9 .
2
2
Решение. Так как
( 3 1) ( 4 2 ) 4 36 40 9 ,
2
2
то M не лежит на данной окружности.

8.

Замечание 2. Чтобы определить координаты
точки пересечения двух линий L1 : F1 ( x , y ) 0
и L 2 : F2 ( x , y ) 0 , следует решить систему
уравнений:
F1 ( x, y ) 0,
F2 ( x, y ) 0.

9.

Пример. Найти количество точек
пересечения прямой y 2 x и окружности
2
2
( x 1) ( y 2 ) 9 .
Решение. Решим систему уравнений
y 2 x,
( x 1) 2 ( y 2) 2 9;
( x 1) (2 x 2) 9;
2
2
5 x 6 x 4 0.
2
Т.к. D>0, то система имеет два решения, т.е.
линии пересекаются в двух точках.

10.

п.3. Различные виды уравнения
прямой.
Угол наклона прямой ─ это угол, на который
нужно повернуть ось Ox, чтобы положительное
направление совпало с одним из направлений
прямой.
y
Угловой коэффициент:
k tg
x

11.

1) Уравнение прямой с угловым коэффициентом.
NM
M ( x; y )
tg
BN
y b
N
y kx b
y b
k
x

12.

2) Уравнение прямой, проходящей через
данную точку, с данным угловым
коэффициентом.
y
M ( x1 ; y1 )
0
y kx b
x
y1 kx1 b b y1 kx1
y y1 k ( x x1 )

13.

3) Уравнение прямой, проходящей через
две данные точки.
y
M 1 ( x1 ; y1 )
y y1 k ( x x1 )
M 2 ( x2 ; y 2 )
0
x
y 2 y1 k ( x 2 x1 )
y 2 y1
k
x2 x1

14.

y y1
x x1
y 2 y1 x2 x1
Замечание 1.
Если y1 y 2 , то y y1 || Ox .
Если x1 x 2 , то x x1 || Oy .

15.

4) Уравнение прямой «в отрезках».
y
B
(
0
;
b
)
b
0
a
A (a ;0 )
x
x y
1
a b

16.

5) Общее уравнение прямой.
Теорема. В прямоугольной системе координат
любая прямая задается уравнением первой
степени
(1)
Ax By C 0
и, обратно, уравнение (1) при произвольных
коэффициентах А, В, С (А и В одновременно
не равны нулю) определяет некоторую прямую
в прямоугольной системе координат Oxy.

17.

Замечание 3. Вектор, параллельный данной
прямой, называется направляющим вектором
этой прямой.
Если прямая задана общим уравнением
Ax By C 0,
то вектор
l ( B , A)
является направляющим вектором этой
прямой.

18.

Замечание 4. Вектор, перпендикулярный
данной прямой, называется нормальным
вектором этой прямой.
Если прямая задана общим уравнением
Ax By C 0,
то вектор
n ( A, B )
является нормальным вектором этой прямой.
A ( x x0 ) B ( y y 0 ) 0
— уравнение прямой, проходящей через
данную точку перпендикулярно данному
вектору.

19.

6) Расстояние от точки до прямой.
y
M ( x0 ; y 0 )
d
d
0
x
Ax By C 0
Ax 0 By 0 C
A B
2
2

20.

п.2. Угол между двумя прямыми на
плоскости.
L1 : y k1 x b1
k1 tg 1
L 2 : y k 2 x b2
k 2 tg 2

21.

Угол между прямыми L1 и L2 ─ это угол, на
который нужно повернуть против часовой
стрелки прямую L1 до совпадения с прямой L2 .

22.

0
2 1
tg tg ( 2 1 )
k 2 k1
tg
1 k1k 2
tg 2 tg 1
1 tg 1tg 2

23.

k 2 k1
tg
1 k1k 2
L1 || L2 0 tg 0
k1 k 2
─ условие
параллельности

24.

1 k1k 2
ctg
k 2 k1
L1 L2 ctg 0
2
1 k1k 2 0
1
k1
k2
─ условие
перпендикулярности

25.

Пример. Составить общее уравнение прямой,
проходящей через точку M(3,-1) и
перпендикулярной прямой
y 2 x 1.
Решение.
1-й способ.
l1 : y 2 x 1
M
l1
k1 2.
l
Учитывая условие
перпендикулярности
1
k .
2

26.

Воспользуемся уравнение из пункта 2)
1
l : y 1 ( x 3)
2
x 2 y 1 0.
2-й способ.
l1 : y 2 x 1, 2 x y 1 0.
Направляющий вектор прямой l1
(1, 2)
является нормальным вектором прямой l.
Тогда
l:
1( x 3) 2( y 1) 0,
x 2 y 1 0.

27.

п.4. Взаимное расположение двух
прямых на плоскости.
L1 : A1 x B1 y C1 0
L2 : A2 x B 2 y C 2 0
A1 x B1 y C1 0,
A2 x B2 y C 2 0.

28.

y
A1 B1
A2 B2
M ( x; y )
0
x
прямые пересекаются

29.

y
0
A1 B1 C1
A2 B2 C 2
x
прямые параллельны

30.

y
0
A1 B1 C1
A2 B2 C 2
x
прямые совпадают
English     Русский Rules