1.00M
Category: mathematicsmathematics

Особо важные точки графика функции у = f(x)

1.

Особо важные точки
графика функции у = f(x):
— стационарные и критические точки;
— точки экстремума;
— точки пересечения графика с осями координат;
— точки разрыва функции.

2.

1) Если функция y = f(x) непрерывна на всей числовой прямой, то
достаточно найти стационарные и критические точки, точки
экстремума, промежутки монотонности, точки пересечения графика с
осями координат и при необходимости выбрать ещё несколько
контрольных точек.
2) Если функция у = f(x) определена не на всей числовой прямой, то
начинать следует с отыскания области определения функции и с
указания её точек разрыва.

3.

3) Можно исследовать функцию на чётность, так как графики четной
или нечетной функции обладают симметрией (соответственно
относительно оси у или относительно начала координат), и,
следовательно, можно сначала построить только ветвь графика при
х > 0, а затем достроить симметричную ветвь.

4.

Признак существования вертикальной асимптоты:
если f(x) = и при х = а (икс равно а) знаменатель обращается в нуль, а
числитель отличен от нуля, то х = а – вертикальная асимптота
графика функции у = f(x).

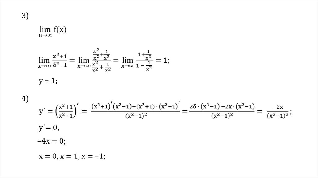
5.

Решение.
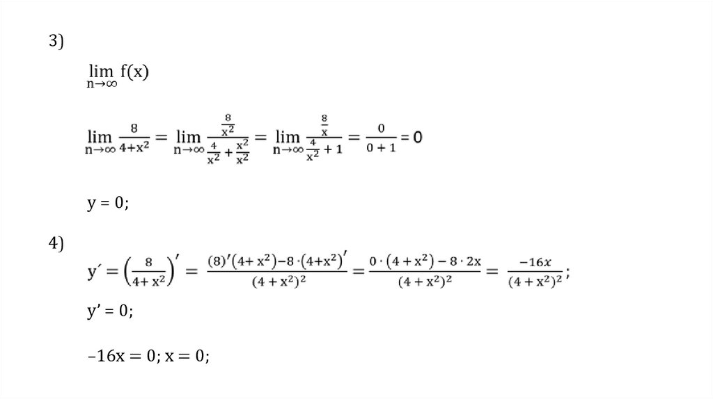
1)
2)

6.

3)
у = 0;
4)
y’ = 0;
–16х = 0; х = 0;

7.

f(x)

+
f´(x)
–1
0
max
x < 0, y´> 0 — f(x) ↗;
x > 0, y´< 0 — f(x) ↘;
х = 0 — max;
1

8.

5)
x
0
y
2
1
2
1
3

9.

6)
(0; 2)
у = 0;

10.

Решение.
1)
х ≠ 1, х ≠ –1;
2)

11.

3)
у = 1;
4)
у'= 0;
–4x = 0;
х = 0, х = 1, х = –1;

12.

f´(x)
f(x)
+
–1
х < –1, –1 < x < 0 — у‘ > 0;
0 < х < 1, x > 1 — у‘ < 0;
х = 0;

+
0
max

1
2

13.

5)
x
0
y
–1
2
3
4

14.

6)
(0; –1) — max;
у = 1;
х = 1;
х > 0.
(0; –1)
English     Русский Rules