1.41M
Category: mathematicsmathematics

Решение систем уравнений с двумя переменными (повторение)

1.

Решение систем уравнений
с двумя переменными
(повторение)

2.

План работы
• Посмотреть презентацию;
• Разобрать решение систем уравнений;
• Выполнить практическое задание по
ссылке:
https://edu.skysmart.ru/student/ruguvumero

3.

Задание 9 (Решу ОГЭ)

4.

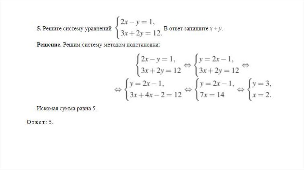
5.

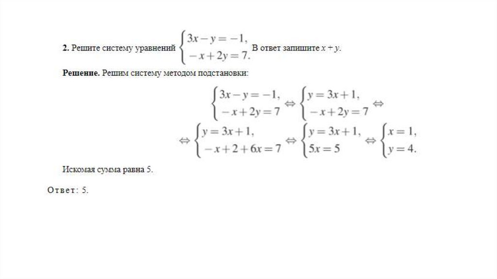
6.

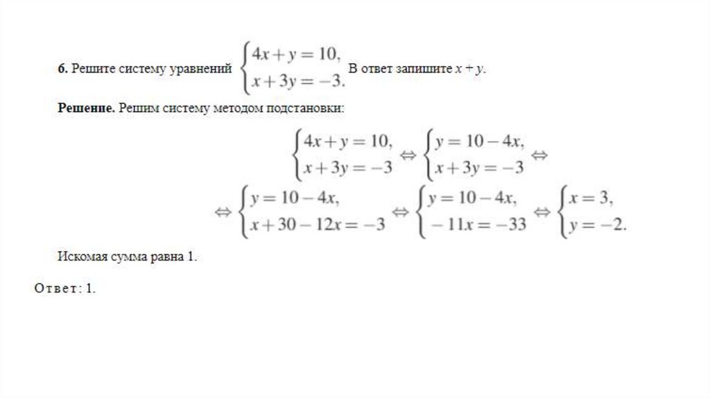
7.

8.

9.

10.

Обратная связь
Для отправки заданий
na-titova2020@mail.ru
В теме письма указываете: ФИ, дата, класс.
English     Русский Rules