11.03M
Category: mathematicsmathematics

Производная функции

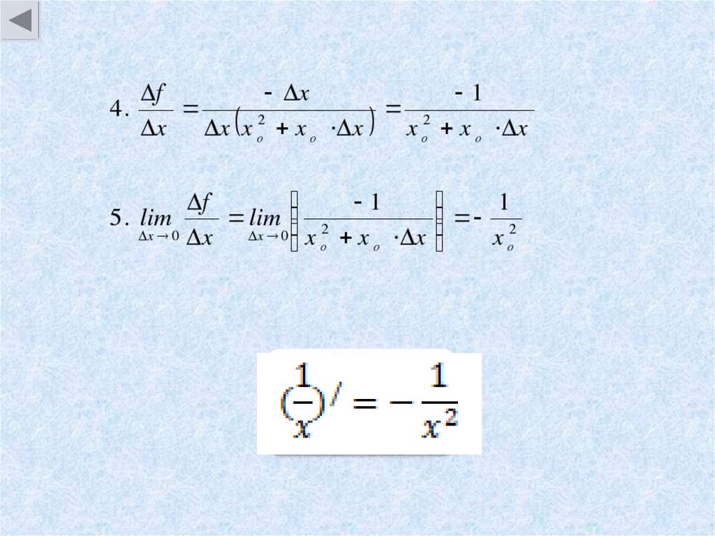
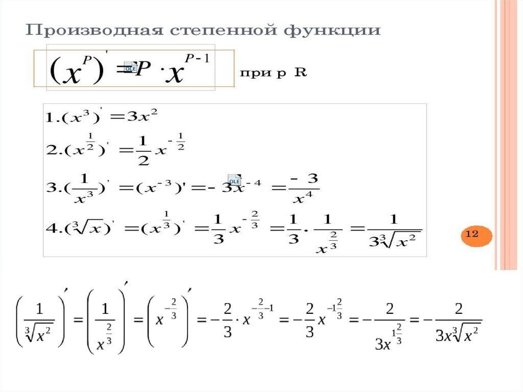
1.

Производная
функции

2.

3.

4.

5.

6.

7.

8.

9.

10.

11.

12.

13.

14.

15.

16.

17.

18.

19.

20.

21.

22.

23.

24.

25.

26.

Примеры и разбор решения заданий
Пример 4.
Точка движется по закону х(t)=2t-1. Найдите
среднюю скорость движения за промежуток
времени от t=0,8 до t=1.
Решение:
1).Найдем ∆t= 1-0,8=0,2
2). x t0 =х(0,8)= 2·0,8-1= 0,6
x t0 t = х(1)= 2·1-1= 1=х(t0+∆t)
x x t0 t x t0 1 0,6 0,4
vср t
2
t
t
0,2
0,2
• Ответ: 2.
English     Русский Rules