939.68K
Category:
chemistry
Similar presentations:
Алкены. Реакции электрофильного присоединения
Электрофильные реакции
Реакции электрофильного замещения
Алкены
Алкены
Реакции электрофильного замещения в ароматическом ряду Se
Алкены. Строение алкенов, характерные типы химических реакций
Углеводороды. Алкены
Лекция 7. Электрофильное замещение в ароматических системах
Алкены
Алкены-2 (электрофильные реакции)
1.
Алкены-2
(электрофильные реакции)
2.
3.
4.
5.
6.
7.
8.
9.
10.
11.
12.
13.
14.
15.
16.
Написать реакции с: бромом, бромоводородом, водой, HOCl
17.
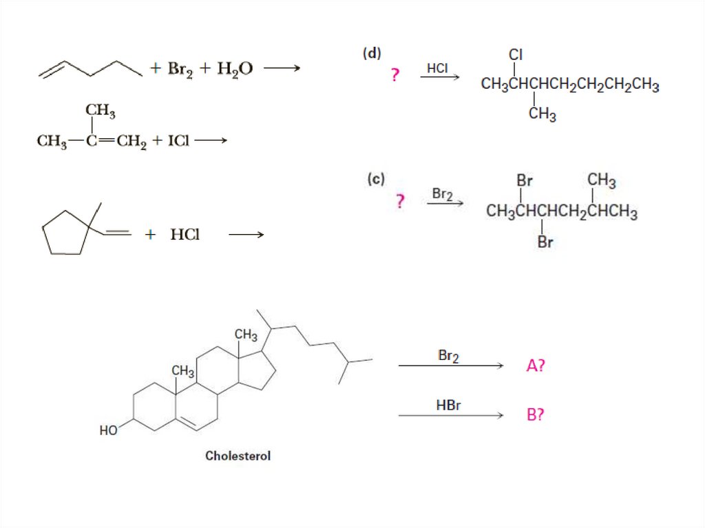
Установить структуры исходных алкенов по продуктам реакций:
Установить структуры исходных алкенов по продуктам реакций:
English
Русский
Rules