110.31K
Category:
mathematics
Similar presentations:
Неопределенный интеграл
Неопределенный интеграл
Неопределенный интеграл. Неопределенный интеграл и его свойства
Неопределенный интеграл
Неопределенный интеграл
Неопределенный интеграл
Неопределенный интеграл
Неопределенный интеграл Ч2, свойства неопределенного интеграла
Неопределенный интеграл
Неопределенный интеграл
Неопределенный интеграл
1.
Уравнения математической физики в экологии и
теплоэнергетике
Задание 10
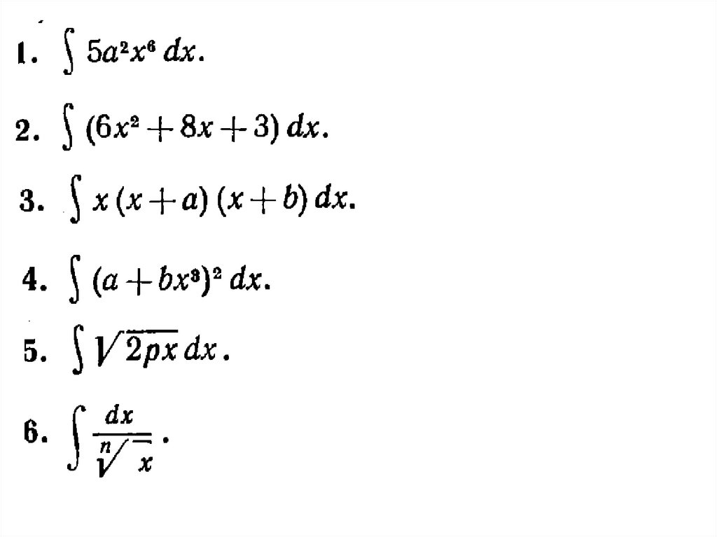
НЕОПРЕДЕЛЕННЫЙ ИНТЕГРАЛ
1. Непосредственное интегрирование
(15.04.2021. 09:00-10:20. ХТП-119 и ХТБ-119)
English
Русский
Rules