206.11K
Category:
industry
Similar presentations:
Основное энергетическое уравнение турбины. Кавитация в гидромашинах
Основное энергетическое уравнение турбины. Кавитация в гидромашинах
Основные типы насосов и гидродвигателей. Основные параметры гидромашин
Турбины, насосы, насосо-турбины, обратимые гидромашины: виды, устройство, принципы работы
Основные режимы работы станков с ЧПУ
Различные системы охлаждения воздуха на входе в компрессор газовых турбин и их влияние на основные энергетические показатели
Грузоподъемные машины, их классификация, основные параметры и режимы работы
Основное энергетическое оборудование. Эксплуатация электрооборудования
Характеристика основных проблем энерго- и ресурсосбережения
Регулирование режима работы установок первичной переработки нефти
Основное энергетическое уравнение турбины. Кавитация в гидромашинах. Режимы работы гидромашин и их регулирование
1.
Лекция 3, а
Основное энергетическое уравнение турбины.
Кавитация в гидромашинах.
Режимы работы гидромашин и их
регулирование. КПД гидромашин.
2.
v0 v0r v0u
D02
D0
3.
4.
5.
6.
7.
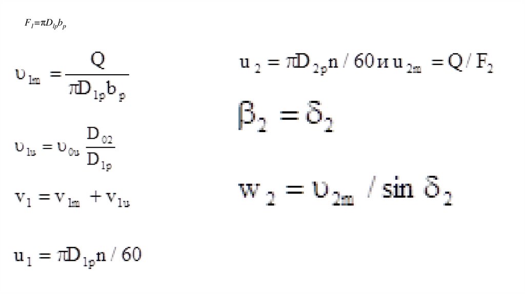
F1=πDlpbp
8.
Dlp = D2p = D p
English
Русский
Rules