281.27K
Category: industryindustry

Основное энергетическое уравнение турбины. Кавитация в гидромашинах

1.

Лекция 3, б
Основное энергетическое уравнение турбины.
Кавитация в гидромашинах.
Режимы работы гидромашин и их
регулирование. КПД гидромашин.

2.

Г2=0, α2= 90 град
1 1
β1 = δ1 Безударный вход
Нормальный выход

3.

Основное энергетическое уравнение турбин
d (υur)=
υ1ur1 - υ2ur2
m=ρQdt

4.

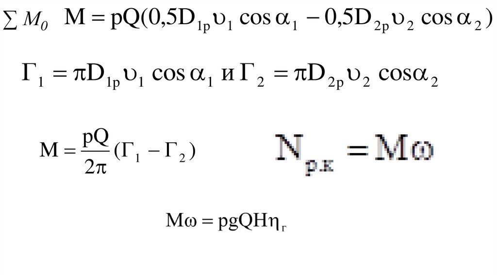
∑ М0 M pQ(0,5D1p 1 cos 1 0,5D 2 p 2 cos 2 )
Г 1 D1p 1 cos 1 и Г 2 D 2 p 2 cos 2
pQ
M
(Г1 Г 2 )
2

5.

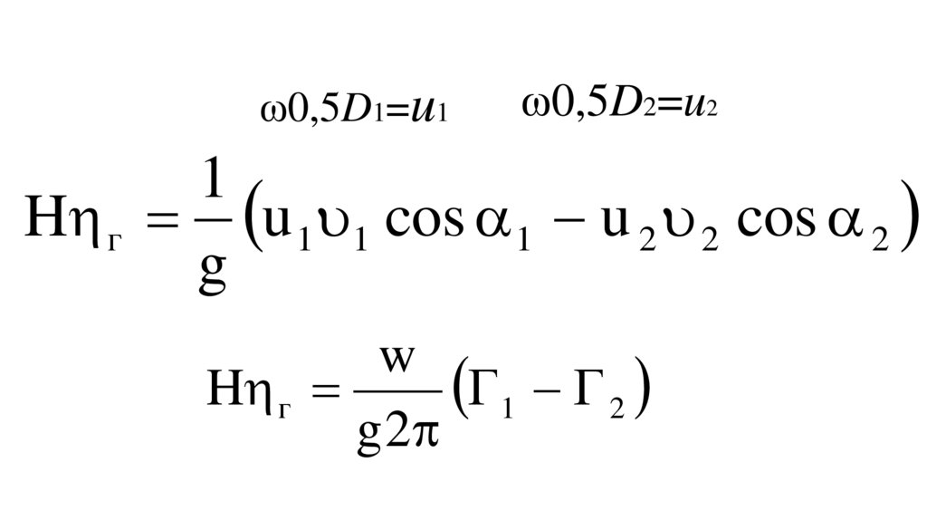
ω0,5D1=u1
ω0,5D2=u2
1
H г u 1 1 cos 1 u 2 2 cos 2
g
w
Г1 Г 2
H г
g 2

6.

Таким образом, основное уравнение дает связь между
энергетическими и кинематическими параметрами в турбине.
1. Наиболее благоприятный по КПД режим
работы близок к условиям нормального выхода, когда
циркуляция Г2 = 0 или мала. Г1 = Г0 — циркуляции, создаваемые
направляющим аппаратом. Отсюда можно определить
требуемое значение Г0 в зависимости от H и ω.
2. В процессе прохождения воды через рабочее колесо турбины
циркуляция потока должна убывать. Следовательно, рабочее колесо
«срабатывает» циркуляцию, созданную направляющим аппаратом.
Г1=Г0
Г2=0

7.

Турбины одного типа и законы подобия режимов их работы
11 12 , 21 22 , i1 i 2
D11 D 21 b 01
D12 D 22 b 92
a i1 a i 2 ; 1i i 2
i1 u i1 w i 2
const
i 2 u i 2 w i 2

8.

Задача
u 11 D1 n 1 D1 n 1
u 12 D 2 n 2 D 2 n 2
1m1
Q1 D 2 b 02
1m 2 D1 b 01 Q 2
1m1 Q1 D
1m 2 Q 2 D
2
2
2
1

9.

D1 n 1 Q1 D 22
Q1
Q2
или
2
3
3
D 2 n 1 Q 2 D1
n 1 D1 n 3 D 2
Q
const
3
nD
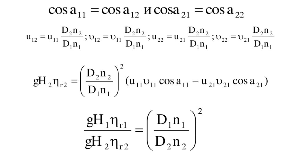
gH 1 г1 u 11 11 cos a 11 u 21 21 cos a 21
gH 2 г 2 u 12 12 cos a 12 u 22 22 cos a 22
a 11 a 12 ; a 21 a 22
u 11 11 u 21 21 D1 n 1
и
u 12 12 u 22 22 D 2 n 2

10.

cos a 11 cos a 12 и cosa 21 cos a 22
u 12
D2n 2
D2n 2
D2n 2
D2n 2
u 11
; 12 11
; u 22 u 21
; 22 21
D1 n 1
D1 n 1
D1 n 1
D1 n 1
gH 2 г 2
D2n 2
D1 n 1
2
(u 11 11 cos a 11 u 21 21 cos a 21 )
gH 1 г1 D1 n 1
gH 2 г 2 D 2 n 2
2

11.

n1 D 2
n 2 D1
H1
H2
г1
г 2
Q1
Q2
3
3
n 1 D1 n 2 D 2
Q1 D1
Q2 D2
2
H1
H2
г1
г 2

12.

2
N 1 D1 H 1
N2 D2 H2
H 1 г1
H 2 г 2
г1
г 2

13.

Приведённые параметры турбин
H=1м и D=1м
n I D 1
n
1 H
Q I 1
Q D
2
nD
n I
H
1
H
Q I
Q
D
2
H

14.

n I H
n
D
Q Q I D
2
H

15.

Реальная форма движения жидкости в рабочем колесе турбины

16.

РО турбина
R
O
P=ρv∞Г
Mi=PiR

17.

Осевая турбина (ПЛ, капсульная)
Pcosα
English     Русский Rules