Лекция: флуоресценция
189.00K
Category: physicsphysics

Флуоресценция. Теория рассеяния. (Тема 14)

1. Лекция: флуоресценция

2.

Вывод из теории рассеяния
Теория рассеяния предсказывает
типичные значения остаточной
интенсивности для ядер линий
на уровне r ~0.001-0.0001.
1,0
0,8
0,6
r
0,4
0,2
Теория
чистого
рассеяния
наблюдения
Наблюдения
Наблюдения же дают типичные
значения r ~0.001-0.1
0,0
Вывод: Наша теория не учитывает какие то механизмы, которые поставляют дополнительные кванты
в ядра линий из какого то резервуара излучения.

3.

Возникла проблема:
какой механизм
может поставлять
дополнительные кванты
в линию, чтобы
повысить ее остаточную
интенсивность?
Ответ - есть два возможных механизма (см. рис.) :
1) кванты, поглощенные в одной линии, могут переизлучаться
в другой, повышая остаточную интенсивность. Но этот механизм
- без перспективы. Почему?
2) кванты, поглощенные в континууме, могут перизлучаться в
линии. Этот механизм имеет перспективу. Почему?

4.

континуум
3
Трехуровенный атом
Возможные переходы:
2
1-3-2-1 фотоионизация
фоторекомбинация
излучение в линии
1
1-2-3-1
поглощение в линии
фотоионизация
рекомбинация
При этом процессе происходит
полное исчезновение (поглощение) квантов в линии
1-2-1
поглощение в линии
излучение в линии
Это процесс чистого рассеяния
Как видно, дополнительное появление квантов
в линии происходит за счет процессов 1-3-2-1.
Но являются ли эти процессы доминирующими,
например, по сравнению с процессами 1-2-3-1?

5.

3
континуум
Трехуровенный атом
Сравним роль переходов
(1-3-2-1) и (1-2-3-1)
2
N (1 3 2 1)
z
N (1 2 3 1)
1
1-2-3-1 - число этих процессов
определяется населенностью
уровня 1 и плотностью излучения в частотах перехода 1-2 и
2-3
13 , 23
N (1 2 3 1) ~ N1 12 23
1-3-2-1 - число таких переходов
определяется населенностью
уровня 1 и плотностью излучения в частотах континуума 1-3
N (1 3 2 1) ~ N1 13
12
к поверхности
13
z~
1
12 23

6.

3
Трехуровенный атом
континуум
Коэффициенты излучения
в линии
1-2-1
2
l (1 2 1) l J
1
1-2-3-1
l (1 2 3 1) l J
γ учитывает, что не все атомы со второго уровня
переходят вниз
1-3-2-1
l (1 3 2 1) '
С учетом всех процессов
(1 ) J
l
l
'

7.

3
континуум
2
Трехуровенный атом
'
Как определить ?
1) Возьмем случай глубоких
слоев, где выполняется ЛТР.
Тогда согласно принципу
детального баланса
1
N (1 2 3 1) N (1 3 2 1)
2) Тогда
(1 3 2 1)
'
l
l
l
(1 2 3 1) J J
'
l
Но при ЛТР J B (T )
B (T )
l
'
3)
4) В поверхностных слоях ЛТР может не соблюдаться.
Поэтому введем поправочный множитель Q:
' Q l B (T )
5) В итоге:
(1 ) J Q B
l
l
l
l

8.

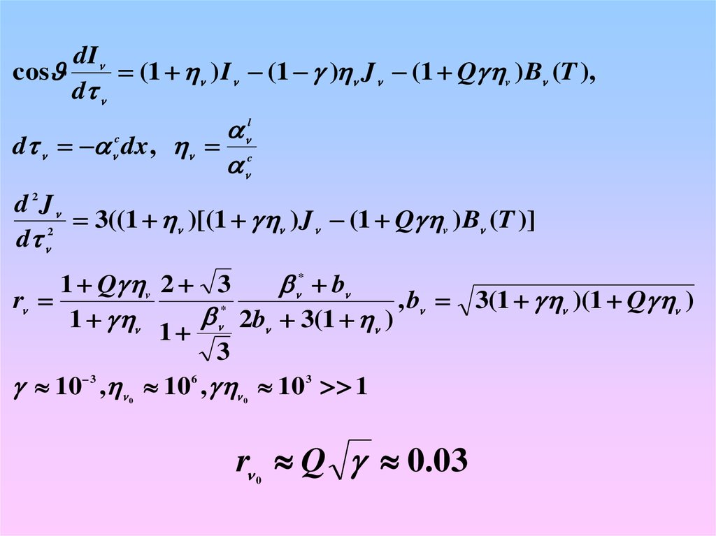
dI
cos
(1 ) I (1 ) J (1 Q v ) B (T ),
d
l
d c dx , c
d 2 J
3((1 )[(1 )J (1 Q v ) B (T )]
2
d
1 Q v 2 3
* b
r
, b
*
2b 3(1 )
1
1
3
10 3 , 106 , 103 1
0
0
r Q 0.03
0
3(1 )(1 Q )
English     Русский Rules