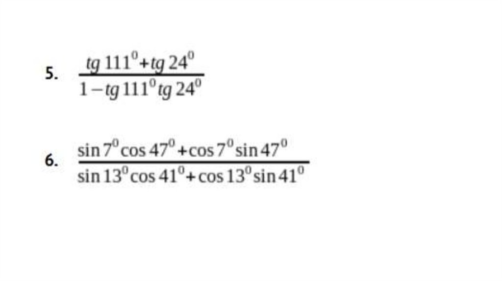
Формулы для суммы и разности элементов
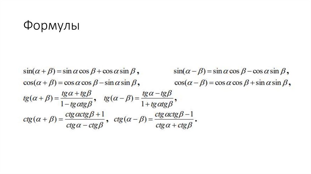
Формулы
339.88K

6.4

1. Формулы для суммы и разности элементов

2. Формулы

English     Русский Rules