Электростатика
Точечный электрический заряд
Система электрически изолирована
Закон кратности электрического заряда
Закон сохранения электрического заряда
Основное свойство электрического поля
Электростатическое поле
Закон Кулона
Закон Кулона
Направления сил
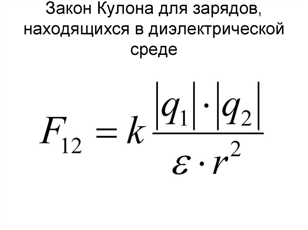
Закон Кулона для зарядов, находящихся в диэлектрической среде
Относительная диэлектрическая проницаемость
Линейная плотность заряда
Поверхностная плотность заряда
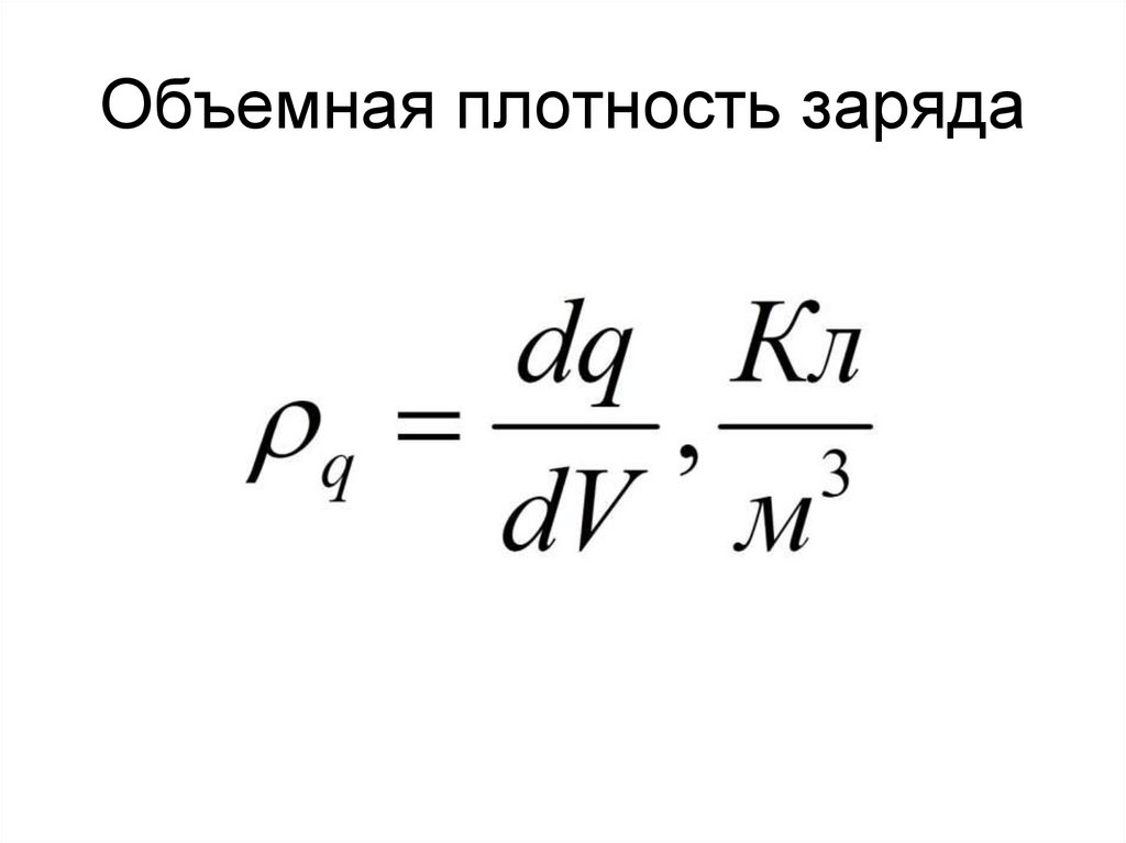
Объемная плотность заряда
Напряженность электрического поля
Сила, действующая на заряд
Напряженность поля точечного заряда
Напряженность поля точечного заряда
Суперпозиция электрических полей
Принцип суперпозиции электрических полей
Принцип суперпозиции электрических полей
Принцип суперпозиции электрических полей
Силовые линии (определение)
Силовые линии
Силовые линии точечного заряда
Силовые линии диполя
Поле однородное,
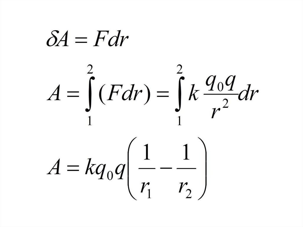
Работа сил электростатического поля
Элементарная работа
Потенциальная энергия
Потенциал электростатического поля
Потенциал электростатического поля
Разность потенциалов
Потенциал поля точечного заряда
Потенциал системы точечных зарядов
Работа электростатического поля при переносе заряда
Эквипотенциальные поверхности
Эквипотенциальные поверхности
Связь потенциала и напряженности поля
Взаимосвязь потенциала и напряженности
Взаимосвязь потенциала и напряженности
Принцип суперпозиции для потенциала
Взаимное расположение силовых линий и эквипотенциальных поверхностей
Свойства силовых линий
Образец рисунка к лабораторной работе 3.2
Поле электрического диполя
Электрический диполь
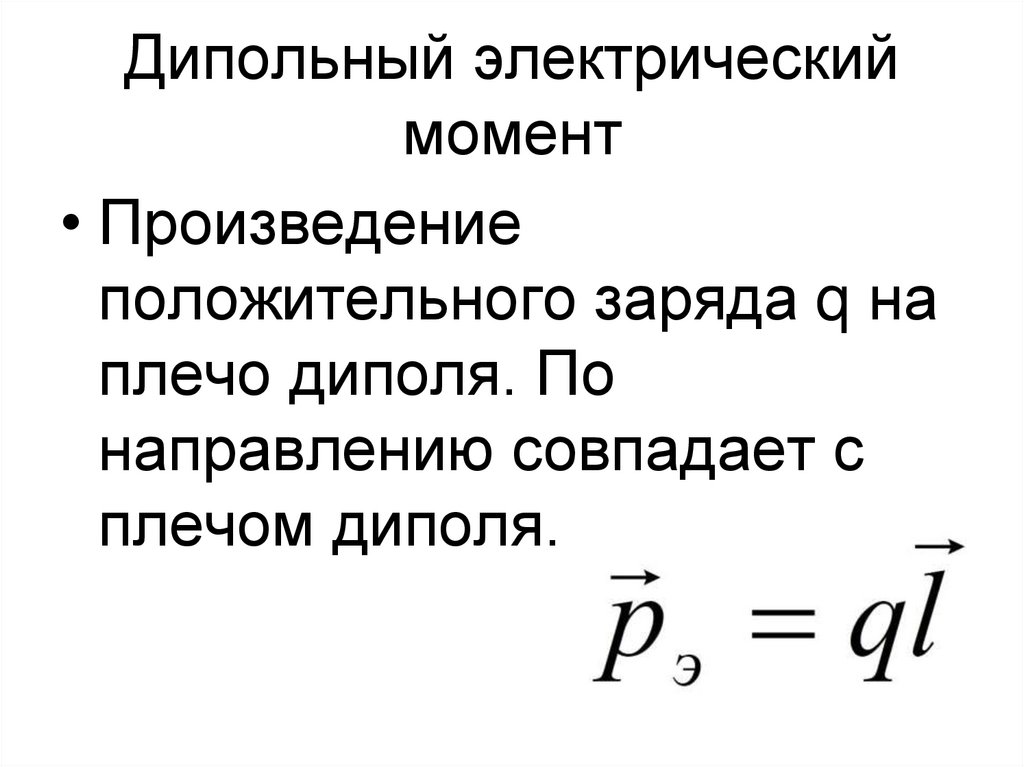
Дипольный электрический момент
Расчет электрического поля диполя
1. В точке на оси диполя.
2. Перпендикулярно оси диполя
3. В произвольной точке
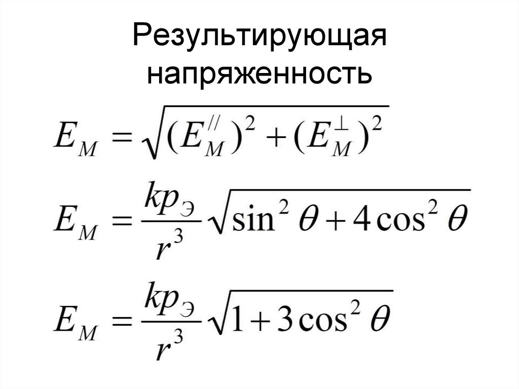
Для перпендикулярного диполя
Результирующая напряженность
Результирующий потенциал (создается «параллельным» диполем)
Поле диполя
Поведение диполя в электрическом поле
Вращающий момент
Вращающий момент
4.72M
Category: physicsphysics

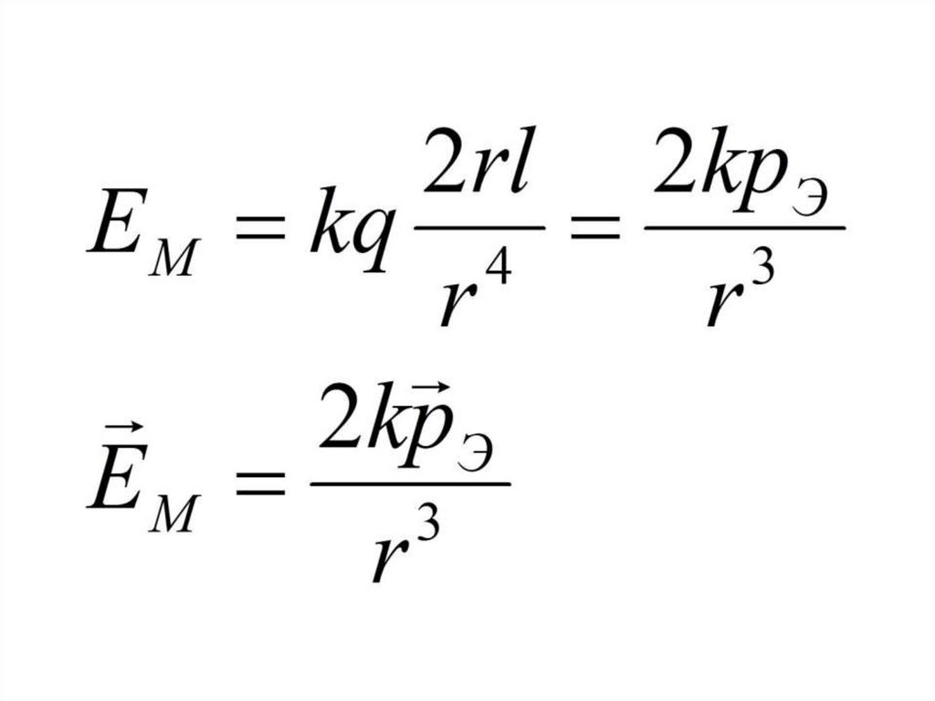
Точечные заряды 2024

1. Электростатика

2. Точечный электрический заряд

• Заряженное тело, размерами и
формой которого в условиях
данной задачи можно
пренебречь.

3. Система электрически изолирована

• Если между системой и
окружающей средой нет обмена
электрическими зарядами

4. Закон кратности электрического заряда

• Электрический заряд любой
системы состоит из целого
числа элементарных зарядов

5. Закон сохранения электрического заряда

• Суммарный заряд электрически
изолированной системы
остается постоянным при
любых процессах,
происходящих в системе.

6. Основное свойство электрического поля

• Действует на заряженную
частицу с силой, не зависящей
от скорости движения частицы.

7. Электростатическое поле

• Поле, созданное системой
неподвижных зарядов.

8. Закон Кулона

9. Закон Кулона

• Сила электрического
взаимодействия двух точечных
зарядов, находящихся в вакууме,
прямо пропорциональна
произведению этих зарядов,
обратно пропорциональна
квадрату расстояния между ними и
направлена вдоль прямой,
соединяющей заряды

10. Направления сил

11. Закон Кулона для зарядов, находящихся в диэлектрической среде

12. Относительная диэлектрическая проницаемость

• показывает, во сколько раз
сила взаимодействия между
зарядами в вакууме больше
силы в среде.

13. Линейная плотность заряда

14. Поверхностная плотность заряда

15. Объемная плотность заряда

16. Напряженность электрического поля

17. Сила, действующая на заряд

F
F
E
E

18. Напряженность поля точечного заряда

19. Напряженность поля точечного заряда

20. Суперпозиция электрических полей

21. Принцип суперпозиции электрических полей

• Рассмотрим
электростатическое
поле системы зарядов
q2
q1
qN
qпр

22.

23.

24.

25. Принцип суперпозиции электрических полей

• Напряженность системы
точечных зарядов равна
векторной сумме
напряженностей полей
каждого из этих зарядов.

26. Принцип суперпозиции электрических полей

27. Силовые линии (определение)

28. Силовые линии

• Линии, проведенные в
электрическом поле так, что
касательная к ним в любой
точке совпадает с вектором
напряженности
электрического поля в этой
точке.

29.

• В тех областях, где силовые
линии расположены более
густо, величина напряженности
электрического поля больше.
• Силовые линии начинаются на
положительных зарядах и
заканчиваются на
отрицательных

30. Силовые линии точечного заряда

31. Силовые линии диполя

32. Поле однородное,

• Если во всех точках вектор
напряженности одинаков и по
модулю и по направлению.
• Его силовые линии
представляют собой
параллельные прямые,
расположенные на одинаковых
расстояниях друг от друга

33. Работа сил электростатического поля

34. Элементарная работа

dr
q
1
q0
F
dl
2

35.

36.

• Работа электростатического
поля не зависит от формы
траектории. Следовательно,
сила Кулона – консервативная,
электростатическое поле –
потенциальное.
• Работа по замкнутой
траектории равна нулю.

37.

• Силовые линии
электростатического поля не
могут быть замкнутыми: они
начинаются и заканчиваются на
электрических зарядах или
уходят в бесконечность

38. Потенциальная энергия

39. Потенциал электростатического поля

• Потенциал электростатического
поля – энергетическая
характеристика
электростатического поля,
равна отношению
потенциальной энергии заряда
к его величине. Измеряют в
Вольтах (В).

40. Потенциал электростатического поля

41. Разность потенциалов

42. Потенциал поля точечного заряда

43. Потенциал системы точечных зарядов

44. Работа электростатического поля при переносе заряда

45. Эквипотенциальные поверхности

• Для любых точек которых
потенциалы одинаковы
(разность потенциалов между
любыми точками поверхности
равна нулю)

46. Эквипотенциальные поверхности

47.

48.

49. Связь потенциала и напряженности поля

50. Взаимосвязь потенциала и напряженности

51. Взаимосвязь потенциала и напряженности

52. Принцип суперпозиции для потенциала

φ = φ1 + φ2 + φ3 + ...

53. Взаимное расположение силовых линий и эквипотенциальных поверхностей

ВЗАИМНОЕ РАСПОЛОЖЕНИЕ
СИЛОВЫХ ЛИНИЙ И
ЭКВИПОТЕНЦИАЛЬНЫХ
ПОВЕРХНОСТЕЙ

54.

При перемещении вдоль
эквипотенциальной
поверхности работа не
совершается
Эквипотенциальные
поверхности
перпендикулярны
силовым линиям

55. Свойства силовых линий

Начинаются на положительных зарядах,
заканчиваются на отрицательных зарядах
Перпендикулярны эквипотенциальным
поверхностям
В тех областях поля, где силовые линии
расположены ближе друг к другу,
величина напряженности поля больше.
Направлены в сторону наиболее
быстрого убывания потенциала.

56. Образец рисунка к лабораторной работе 3.2

1в 2в






A1
A2
A3

1в 2в





57. Поле электрического диполя

58. Электрический диполь

• Два равных по величине и
противоположных по знаку
точечных заряда q,
находящихся на расстоянии l
друг от друга.
q
l
q

59.

Плечо диполя – вектор l,
направленный по оси диполя
от отрицательного заряда к
положительному и равный
по длине расстоянию между
зарядами.

60. Дипольный электрический момент

• Произведение
положительного заряда q на
плечо диполя. По
направлению совпадает с
плечом диполя.

61. Расчет электрического поля диполя

62. 1. В точке на оси диполя.

r
q

q
M

63.

64.

65.

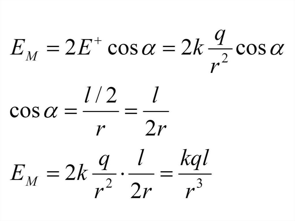
66. 2. Перпендикулярно оси диполя

E
q
l
q

67.

68.

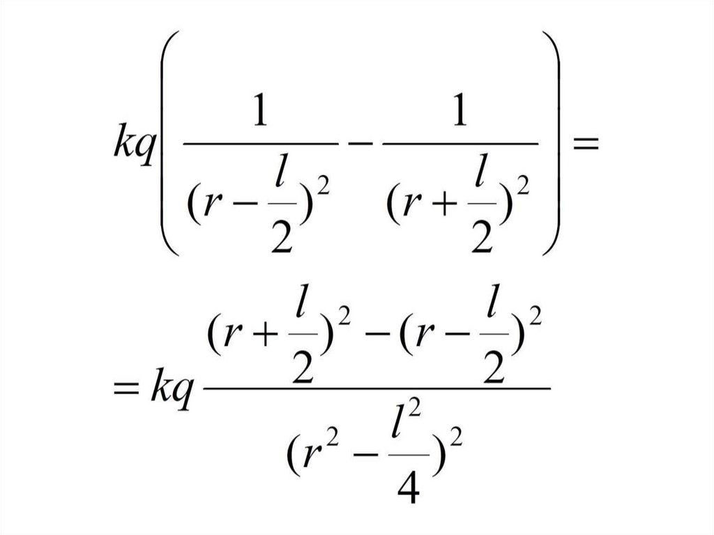
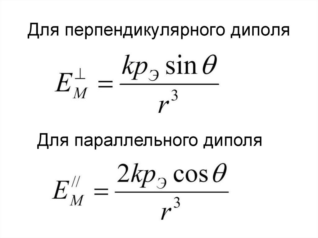
69. 3. В произвольной точке

M
r
q
l
q

70. Для перпендикулярного диполя

Для параллельного диполя

71. Результирующая напряженность

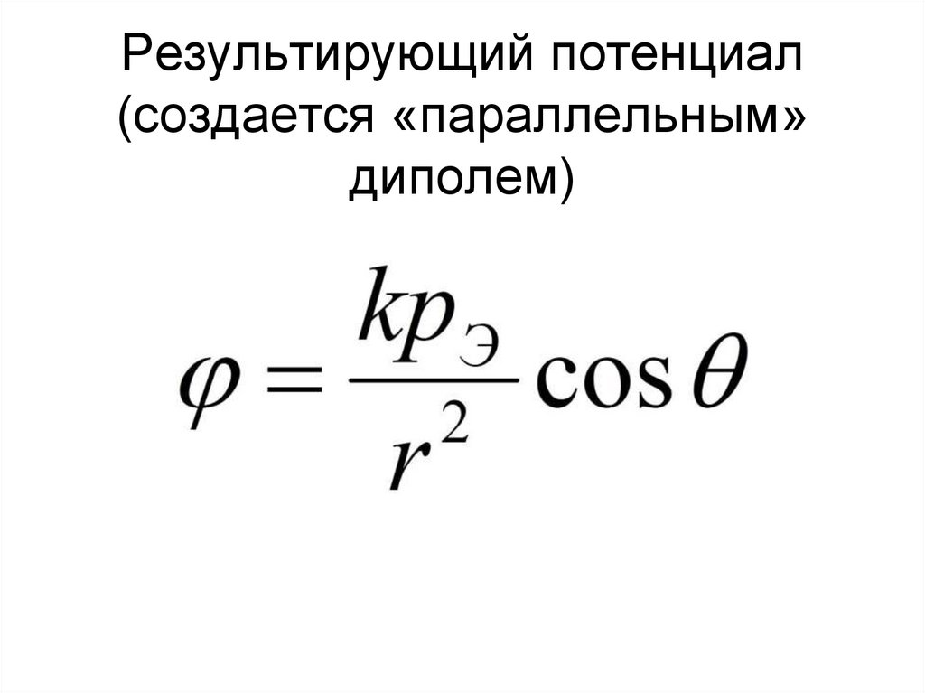
72. Результирующий потенциал (создается «параллельным» диполем)

73. Поле диполя

74. Поведение диполя в электрическом поле

75. Вращающий момент

F-
q r-
Е
r+
l
q
F+

76. Вращающий момент

English     Русский Rules